Abstract
Prefabricated buildings have the characteristics of being energy saving, protecting the environment, being labor saving and having a fast construction speed, which meet the requirement for the sustainable development of the construction industry and are been strongly supported by the country. However, the promotion of prefabricated buildings in China is still in its infancy, with numerous barriers, and the correlation between these factors is not well tested. Therefore, the objective of this study was to identify the main obstacles to the promotion of prefabricated buildings, clarify the correlation between the main barriers and classify them, so as to propose targeted promotion strategies. Combined with the PEST theory and the technology–organization–environment framework, this study has established a list of 27 barriers including policy, the economy, society, technology and management, through a literature review. Experts were invited to complete a questionnaire survey to assess the relative importance of barriers, and 15 major barriers were identified based on the analytic hierarchy process method. We conducted semi-structured interviews, determined the direct relationship between various barriers, established the adjacency matrix and calculated the reachability matrix, established the multi-level hierarchical structure model based on interpretative structural modeling, used Matrices Impacts Croises–Multiplication Appliance Classement to classify factors, and then proposed the industry–organization–project three-level promotion strategy according to the classification results. The results showed that technical factors accounted for the largest proportion in the list of barriers, followed by society, the economy, political factors and, finally, management factors. The main obstacles to the popularization of prefabricated buildings can be divided into three categories: autonomous variables, dependent variables and driver variables. It is necessary to put forward countermeasures from different dimensions to promote the application of prefabricated buildings. This study provides a practical reference for future research, attempts to provide solutions to promote the popularization of prefabricated buildings and also provides methodological guidance for similar research.
1. Introduction
In the construction industry, due to the extensive production and management modes, the traditional cast-in-place operation has caused a lot of environmental pollution and resource waste, and the construction industry is in urgent need of transformation. As a modern industrial production mode, prefabricated construction transfers the production work from the construction site to the prefabrication factory, which improves the degree of standardization and mechanization compared with traditional on-site construction [1]. This not only saves water, energy, materials and other resources, but also reduces waste and noise pollution at construction sites, alleviating labor shortages [2,3]. The research shows that prefabricated building are environmentally friendly because of their low energy consumption and carbon emissions in the construction stage [4]. Prefabricated buildings have been widely recognized and applied around the world due to their advantages, and are considered an important means of achieving lean construction [5,6,7,8].
With the continuous improvement of social and economic development, China is vigorously promoting ecological civilization, energy conservation and emission reduction. In 2020, at the 75th session of the United Nations General Assembly, the Chinese government put forward the goal of “achieving a carbon peak by 2030 and carbon neutrality by 2060”. With the continuous development of the national economy and urbanization reform, the construction industry has gradually changed from the traditional extensive type to the scale-intensive type. In recent years, the central and regional governments have issued a series of policies related to prefabricated buildings to promote their development. In 2016, the Chinese State Council issued a series of documents, including “Guidelines on the Development of Prefabricated Buildings”, which proposed that prefabricated buildings should account for 30% of new buildings nationwide within a decade, with some city clusters acting as key promotion areas. In March 2017, the Ministry of Housing and Urban–Rural Development issued the Action Plan for Prefabricated Buildings in the 13th Five-Year Plan period, which clearly stated that prefabricated buildings should account for more than 15% of new buildings nationwide by 2020. In this context, many provinces and cities in China have issued implementation opinions on promoting prefabricated buildings. The promotion and application of prefabricated buildings has risen to the national strategic level, and a number of demonstration cities and industrial demonstration bases have been established.
At present, prefabricated buildings have been well-used in developed countries, such as the United States, Japan, Sweden, Singapore and so on. However, despite a series of concerns and policy support, the development of Chinese prefabricated building is still at a low level and there is still a big gap compared with developed countries. A series of complex factors restrict the development of Chinese prefabricated buildings [9]. Although prefabricated construction has many advantages, off-site construction aggravates the fragmented characteristics of the construction industry, which also brings a series of new problems [10], including the dispersion of working space, work flow change, etc. [11,12]. Some scholars have studied the application barriers of prefabricated buildings in China, including, but not limited to poor structural quality, a lack of professional construction personnel, secondary design mismatch with standards and specifications, etc. Two problems, however, have not been well-addressed. On the one hand, previous studies on the barriers to the promotion of prefabricated buildings on the Chinese background are limited; On the other hand, the barriers to the promotion of prefabricated buildings do not exist independently, and there is a complex correlation between them. Therefore, from the existing studies, it is difficult to determine the priority of barriers in terms of the promotion of prefabricated buildings, and it is not possible to develop reasonable and effective strategies to promote the application of prefabricated buildings.
Therefore, the purpose of this study was to identify the barriers to the promotion of prefabricated buildings on the Chinese background, determine the priority of obstacles with regard to the promotion of prefabricated buildings, explore the correlation between various factors and classify them, and put forward specific countermeasures, so as to provide a reference for the wide application of prefabricated buildings. This study has also provided research ideas for developing countries where the application of prefabricated buildings is still in its infancy. The structure of this paper is as follows: The first part puts forward the background and existing problems associated with this research topic. The second part summarizes the development history of prefabricated buildings and the literature regarding the barriers to the promotion of prefabricated buildings, and puts forward the initial list of barriers to the promotion of prefabricated buildings in China. The third part describes the research methods and framework adopted in this research. The fourth part analyzes the research data; The fifth part expounds the research results and the promotion strategies. The sixth part summarizes the research and puts forward the research limitations and future research directions.
2. Literature Review
2.1. Overview of Prefabricated Building Development
In the 1920 s, a new building form involving the modular production of components and on-site assembly construction appeared in Western countries, which was the early prototype of prefabricated buildings. After World War II, in order to meet the basic needs of housing, Japan explored new construction methods and issued a series of laws and regulations such as the Japan Housing Corporation Law. The Japanese government began to vigorously support the technical standards and construction system of public housing, and prefabricated buildings sprouted in Japan. Similarly, in order to solve the housing shortage problem after World War II, Sweden increased the study of standardized parts, greatly improved the standardized parts system, and in 1967, promulgated the “Housing Standard Law” [13]. In the 1930s, due to the economic depression and the accelerated industrialization process in the United States, the demand for housing increased, and the government directly funded the establishment of modular affordable housing, and formulated a series of laws and regulations such as the United States Housing Act. After World War II, the motorhome became the prototype of industrial housing in the United States. Italy also vigorously developed prefabricated buildings after World War II, and some scholars have studied their mechanical properties, especially in terms of fragility curves [14]. At present, the application and promotion of prefabricated buildings in the United States, Sweden and other developed countries has decades or even hundreds of years of history. Furthermore, remarkable achievements have been made, and the relevant policy system and management mode are relatively mature [15,16].
In China, the development of prefabricated buildings has been relatively slow. The concept and technology of prefabricated building was introduced into China in the 1950s, and the policy of standardized design, prefabrication and mechanized construction was formally put forward in 1978. Subsequently, China entered an exploratory period of prefabricated building, in which technology and policies were explored based on the construction experience of developed countries, and industries and enterprises were encouraged to practice prefabricated building application. In the 21st century, with the acceleration of urbanization, prefabricated buildings have been gradually promoted and applied as a resource-saving construction method. In 2016, The State Council of China issued the “Guideline on Vigorously Developing Prefabricated Buildings”, and local governments have also issued a series of development policy documents. Chinese prefabricated buildings have entered a stage of vigorous development.
2.2. Research on the Barriers to the Promotion of Prefabricated Buildings
At present, there are still many problems associated with the promotion and application of prefabricated buildings around the world. Some scholars have studied the barriers to the promotion of prefabricated buildings. Wu et al. divided these barriers into five categories, including industry, company, technology, government and market, and built an interpretative structural model. The results showed that technical factors are the main factors affecting the promotion of prefabricated buildings [17]. Pan conducted a survey of 100 real estate developers in the UK, and the results showed that the slow development of prefabricated buildings is mainly due to cost and technical issues [18]. Through a literature review, Wuni identified 25 successful factors for modular integrated construction (MIC), divided the success factors into four categories through exploratory factor analysis, and determined the priority of success factors [19]. Sri reviewed the development of prefabricated buildings in the United States and believed that standardized construction had significant advantages in schedule management, and combined with specific cases, studied the cost constraints encountered in the design and construction stages of prefabricated buildings [20]. Rahimian analyzed the factors affecting the development of prefabricated buildings in Nigeria through a literature review, and the study showed that low consumer recognition, lack of infrastructure and technical defects were the main barriers; suggestions on promotion were provided from the perspective of government, industry and enterprise [21]. Zakari studied the application of prefabricated buildings in Kano, Nigeria, and SPSS26.0 software was used to conduct a factor analysis on the results of a questionnaire survey. The study showed that increasing construction costs, insufficient government support and low social recognition were the main barriers to progress [22]. Navaratnam reviewed the Australian literature on the structural performance, benefits, constraints and challenges of prefabricated buildings and concluded that the main barrier was information asymmetry, with limited public cases. In addition, the promotion of prefabricated buildings has also been shown to be affected by the government, construction units and other aspects [23]. Through a literature review and interviews, Zhang identified the factors influencing the significant changes in prefabricated buildings in Australia from the benefits and challenges [24]. El-Abidi extracted the success factors of prefabricated building application in Malaysia through a literature review and identified the key factors through practical cases. There is a lack of a standard contract form in the application of prefabricated buildings in Malaysia, which leads to a series of problems in project management [25]. Fateh analyzed the application problems of prefabricated buildings in terms of contracts [26]. The above studies were not scientific enough in identifying and exploring the obstacles and related factors. Some scholars directly provided an initial list of factors without the source of the list, and some scholars failed to take into account a global perspective in their research on barriers, limiting themselves to aspects such as contracts, costs and so on.
Xue et al. constructed a collaborative innovation relationship model of prefabricated buildings to analyze the interactive influences among stakeholders; Through SNA, a series of hypotheses were proposed, and SEM was used to determine the influence of relevant factors on collaborative innovation. The results showed that the main reason hindering the development of prefabricated buildings in China is insufficient innovation ability [27]. Based on principal component analysis, Bian determined the barriers to the promotion of prefabricated buildings, including 16 constraints in six types: technology, market environment, industrial organization, cost, policy and talent [28]. From the perspective of construction units, Li used the binary logistic regression method to analyze the results and found that the main driving factors for Chinese construction units to actively adopt prefabricated buildings are the supply capacity of component factories, building height and prefabrication rate, while the main barriers are the construction period and construction and installation cost [29]. Zhai et al. conducted a factor analysis on the barriers of prefabricated buildings in China through a questionnaire survey and divided 21 barriers into six categories. The results showed that an incomplete supply chain, a high construction cost, lack of policy support, and imperfect related standards and specifications were the main factors restricting the development of prefabricated buildings in China [30]. Zhang et al. used the fuzzy analytic hierarchy process to analyze the barriers to the application of prefabricated buildings and determine the priority order of the barriers. It has been shown that the lack of professional talent is the most important barrier [31]. Hong et al. studied the cost composition of prefabricated buildings from actual cases, established a cost–benefit analysis model, and showed that the reason for the high comprehensive cost of prefabricated buildings was the transportation and installation costs of prefabricated components [6]. Wu et al. explored the influencing factors of prefabricated buildings from the aspects of technology and cleaner production, extracted 21 influencing factors through a literature review. In addition, they divided the factors into five types: industry, company, technology, market and government through factor analysis, and determined the importance of influencing factors with the relative importance index. It has been shown that technology locking and incentive policies are the two most important factors to promote the development of prefabricated buildings in China [17]. Zhang et al. identified 27 factors affecting the interface management of prefabricated buildings through a questionnaire survey and literature review, determined the importance of the factors through quantitative analysis, and divided the influencing factors into seven types by exploratory factor analysis [32]. Shang built a data enveloping analysis model to evaluate the industry efficiency of Chinese prefabricated buildings from the perspective of input–output. The empirical analysis results show that the industry efficiency of Chinese prefabricated buildings is low and there are a series of barriers to the development of prefabricated buildings. Shang also put forward corresponding countermeasures and suggestions [33]. Zhao et al. constructed the comprehensive benefit evaluation index system of prefabricated buildings from the four aspects of the economy, the environment, society and safety, and took Hefei as an example to verify this [34]. Qi et al. believe that the coordination and communication ability between different participants in prefabricated buildings projects is poor, there is disconnection in each link and the control of project objectives is insufficient [35]. Li et al. combined the method of DEMATEL and ISM to build a combination model of barriers to the development of prefabricated buildings, and clarified the logical relationship among various barriers. The results showed that the fundamental reason restricting the development of prefabricated buildings in China is the lack of professional talent [36]. Qin et al. conducted a study on the hierarchical structure relationship of influencing factors of building industrialization promotion based on ISM, and the results showed that the lack of professional talent was the most profound unfavorable factor, while imperfect relevant standards, insufficient R&D investment and a lack of innovation were the top influencing factors [37]. With Yancheng City as the background, Sun et al. identified 15 barriers to the promotion of prefabricated buildings through a literature review. Based on the DEMATEL-ISM method, a hierarchical structure model of barriers to the promotion of prefabricated buildings was established, and relevant parameters of each factor were analyzed, including the influence degree, affected degree, centrality degree, cause degree, etc. The key barriers to the popularization of prefabricated buildings were identified and corresponding countermeasures and suggestions were provided [38]. Luo carried out a SWOT analysis on the development of prefabricated buildings in Chongqing, summed up the barriers to the promotion of prefabricated buildings from the four aspects of policy, the economy, technology and industry, used AHP to calculate the weight of each barrier, and put forward specific suggestions [39]. Dou conducted a study on 31 provinces in China, using the PEST theory to determine the index system, counting data through web crawlers and evaluating using cloud models to propose a new media-driven measurement method at the development level of a personal computer (PC) [40]. The research showed that developers have a greater impact on construction units than the government, and the purchasing intention of residents also has a significant influence. Therefore, government, construction units, developers and the public must be analyzed as a whole [41,42,43,44]. Although there have been studies on the relationship between the barriers for the promotion of prefabricated buildings, there have been relatively few studies based on the Chinese context, and some studies have failed to provide a reasonable explanation for the selection of barriers.
2.3. Identification of Initial Barriers
For the adoption and promotion of new technologies, the TOE framework and PEST analysis are widely used. TOE theory holds that the adoption and promotion of new technologies are influenced by technical, organizational and environmental factors [41]. PEST theory believes that the application of new technology in the industry is affected by macro conditions such as policy, the economy, the social market and technology [28]. Through a literature review, taking China as the background and combining TOE and PEST, this study identified 27 barriers to the promotion of prefabricated buildings from the five aspects of policy, the economy, society, technology and management, as shown in Table 1:
Table 1.
Initial list of barriers to the promotion of prefabricated buildings.
3. Results
The purpose of this study was to determine the main barriers to the promotion of prefabricated buildings, and explore the correlation between these factors, so as to deeply understand the promotion path of prefabricated buildings. In order to achieve the research objectives, this study used a literature review, AHP and ISM to identify and analyze the barriers to the promotion of prefabricated buildings. Firstly, the list of barriers to the promotion of prefabricated buildings was determined through a literature review. Next, the AHP method was used to determine the main barriers as the basis for the subsequent system modeling. Then, ISM was used to establish the structural model of the promotion barriers of prefabricated buildings. Finally, MICMAC was used to analyze the dependence and driving force of the main barriers to the promotion of prefabricated buildings, and the barriers were classified, so as to propose corresponding management countermeasures for different types of barriers. The research path of this paper is shown in Figure 1.
Figure 1.
Research framework.
3.1. Analytic Hierarchy Process (AHP)
The analytic hierarchy process (AHP) is a theoretical method of operational research proposed by the American scholar T.L. Stayer in 1971 [45]. The core idea of AHP is the hierarchical and structured index decomposition of complex multi-objective decision-making problems, to compare the importance degree of the decomposed indicators in pairs, and then to determine the relative importance weight of each factor through the qualitative fuzzy quantization method. The application of AHP consists of the following four steps:
(1) Decompose the research question and determine the hierarchy of the research object. Generally, it is divided into the target layer, criterion layer and index layer, with the top layer representing the research purpose and the bottom layer representing specific barriers.
(2) Design a questionnaire, invite industry experts to carry out pairwise comparison of the indicators under the same criterion layer by using the nine-level scale method, and carry out a pairwise comparison of the elements of each criterion layer. The questionnaire results were collected and the judgment matrix was established by calculating the mean value.
(3) Weight calculation. The maximum eigenvalue and eigenvector of the judgment matrix are calculated and the weight of each factor is obtained. First, a judgment matrix C is established according to the results:
where cij represents the average value of the importance degree of the ith factor compared with the jth factor.
Next, the judgment matrix C is normalized by column, and the standard matrix D is obtained:
Then, the standard matrix D is summed by rows to obtain the weight matrix V:
Finally, the weight matrix W is normalized to obtain the weight matrix V of barriers:
(4) Consistency check. In order to avoid the error of the calculation result caused by the consistency index of the judgment matrix out of the range, the study of the analytic hierarchy process needs to carry out the consistency check of the judgment matrix. Firstly, the maximum eigenvalue of the judgment matrix C was calculated, and the consistency index CI was obtained according to Equation (5). In combination with the order of the judgment matrix, the consistency ratio CR was calculated according to Equation (6):
The value of RI is related to the order of matrix.
(5) Actual weight calculation of the index layer. Each judgment matrix is calculated to obtain the factor weight of the criterion layer and the relative weight of the factor of the indicator layer. The actual weight of the factor of each indicator layer is calculated according to Equation (7):
where vi represents the factor weight of the ith criterion layer, vij represents the relative weight of the jth indicator under the ith criterion layer, and wij represents the actual weight of the jth indicator under the ith criterion layer.
3.2. Interpretative Structural Modeling
Interpretative structural modeling (ISM) is a method of analyzing complex systems developed by American scholar John N. Warfield in 1973, which can transform ambiguous thoughts and opinions into intuitive models with good structural relations [46]. The core idea of ISM is to decompose the complex system into several subsystems or elements, make use of people’s practical cognition and express the system as a multi-level hierarchical structure model with the aid of a computer. The ISM application consists of the following six steps:
(1) Determine system elements. The determination of system elements is based on the specific objectives of the research object. In this study, the system elements are determined according to the results of AHP analysis and screening.
(2) Establish the adjacency matrix A. The semi-structured interview method was used to invite experts to judge the direct relationships between each factor. After unifying the expert opinions, the adjacency matrix A was established. The value of aij in the adjacency matrix will be either 0 or 1. Zero indicates that there is no direct relationship between the two factors, while 1 indicates that there is a direct relationship between the two factors.
(3) Calculate the reachability matrix. The reachability matrix represents the extent to which each element of the system can be reached through paths of a certain length. The reachability matrix R is obtained by performing Boolean algebra operations (0 + 0 = 0, 0 + 1 = 1, 1 + 0 = 0, 1 + 1 = 1, 0 × 0 = 0, 0 × 1 = 0, 1 × 0 = 0, 1 × 1 = 1) on the adjacency matrix A plus the identity matrix I.
(4) Regional division. First, find out the reachability set, antecedent set, and the intersection of the reachability set and antecedent set of each factor; determine the set of fundamental constraint factors according to Equation (6); and judge whether the system is in the same connected domain according to whether the intersection of reachability sets of fundamental factors is empty. If the intersection of reachability sets of fundamental factors is not empty, then all elements of the system are in the same connected domain.
(5) Level partitions. Using the reachable matrix as a criterion, all elements in the system are divided into different levels based on the definition of the highest set, and each factor is assigned to a specific level; that is:
where Lk represents the level of the factor, N represents the set of system elements, R(Si) is the reachable set of factor Si, and A(Si) is the antecedent set of factor Si.
(6) Establish the hierarchical structure model. Based on the hierarchical division results, establish a reduced reachable matrix R’, and the sorted reduced reachable matrix is a lower triangular matrix. Draw each factor according to its hierarchical level, and use directed line segments to represent the relevant relationships between adjacent factors. If there is already a directed line segment representing the relationship between adjacent factors, there is no need to draw a new line segment between cross-level factors.
4. Analysis
4.1. Identify the Main Barriers
According to the calculation requirements of AHP, we designed a questionnaire and invited seven experts from government departments, universities, investment units, design units, construction units, supply manufacturers, research institutions and other departments to complete a survey. The questionnaire was divided into two parts. The first part was used to collect basic information such as experts’ educational background, work experience, job title and professional type. The second part was a survey on the importance of barriers to the promotion of prefabricated buildings in China. Experts use the nine-point scale method to compare the importance of each factor. This study was conducted jointly by two professors and five students from Wuhan University of Technology, who collected the results of the importance survey of barriers to the promotion of prefabricated buildings in China from seven experts. The specific basic information relating to the seven experts is shown in Table 2. It is worth mentioning that all experts had more than three years of work experience, which helps to improve the accuracy of the results.
Table 2.
Expert basic information.
Regarding the collected opinions of the seven experts, the average was calculated to obtain one criterion layer judgment matrix and five indicator layer judgment matrices. Then, using Equations (1)–(4), the weight of each factor was calculated, and consistency was checked using Equations (5) and (6). Taking the criterion layer as an example, the calculation results of the judgment matrix operation are shown in Table 3. Based on the results of the questionnaire survey, the actual weight of each indicator layer factor was calculated for each judgment matrix using Equation (7). Finally, the criterion layer weight, the relative weight and the actual weight of the indicator layer are shown in Table 4.
Table 3.
Criterion layer judgment matrix and operation result.
Table 4.
Analysis results of barriers to promotion of prefabricated buildings based on AHP.
The ABC classification method considers factors whose weight rankings cumulatively reach 80% as the main factors; according to the 2/8 principle (Pareto principle), factors whose weight rankings cumulatively reach 80% are to be considered key factors [33]. At the same time, it is generally not advisable to use the ISM for excessive systematic analysis. Therefore, after comprehensive consideration, this study selected barriers whose cumulative weight rankings reached 80% as the main barriers to the promotion of prefabricated buildings. This is shown in Figure 2 and Table 5.
Figure 2.
AHP analysis result.
Table 5.
Weight and rank of barriers to the promotion of prefabricated buildings.
According to the AHP analysis results, it can be seen that, among the barriers to the promotion of prefabricated buildings, the most important criterion layer was the technology factor, with a weight percentage of 35.34%, followed by society, the economy, policy, and finally, management factors. Among them, the weight of “immature key technologies” was 11.52%, which was the largest weight among the barriers to the promotion of prefabricated buildings. However, considering only the weight of the barriers was not comprehensive, as there were correlations between the barriers. Therefore, this study used the ISM to explore the relationships between the main barriers.
4.2. Identify the Relationship between the Main Barriers
According to the results of the AHP, 15 main barriers to the promotion of prefabricated buildings were identified, as shown in Table 6. However, after determining the ranking of the obstacles to promoting prefabricated buildings, it was not enough to judge whether they were important barriers based solely on their weights. It was necessary to further explore the relationship between the various barriers. After determining the main barriers, semi-structured interviews were conducted with experts to determine the interrelationships between each pair of barriers. There were differences in opinion among the experts, and after several rounds of interviews, this study finally unified the expert opinions and obtained an adjacency matrix A containing the direct relationships of the barriers, as shown in Table 7.
Table 6.
Main barriers and serial numbers.
Table 7.
Adjacency matrix.
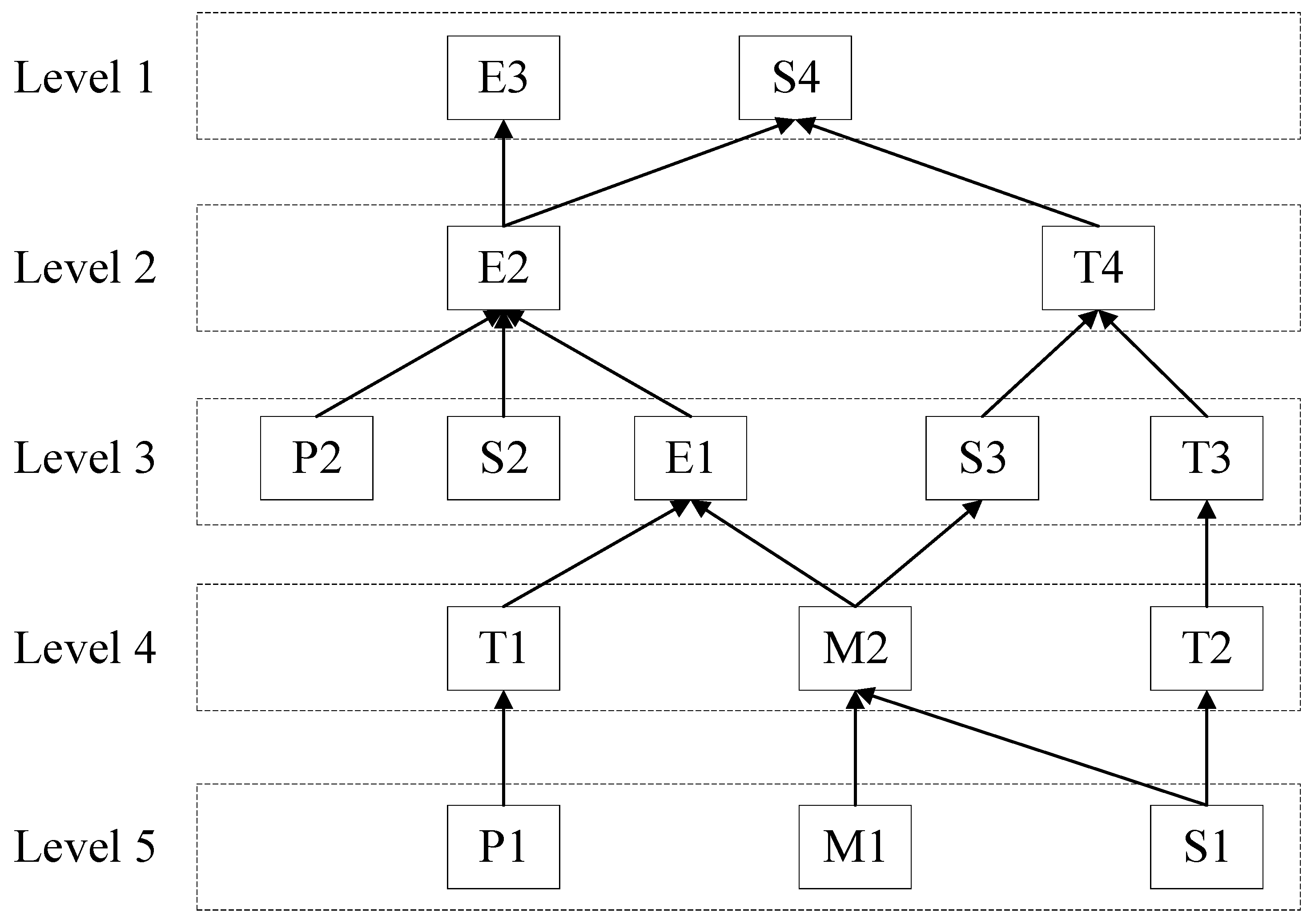
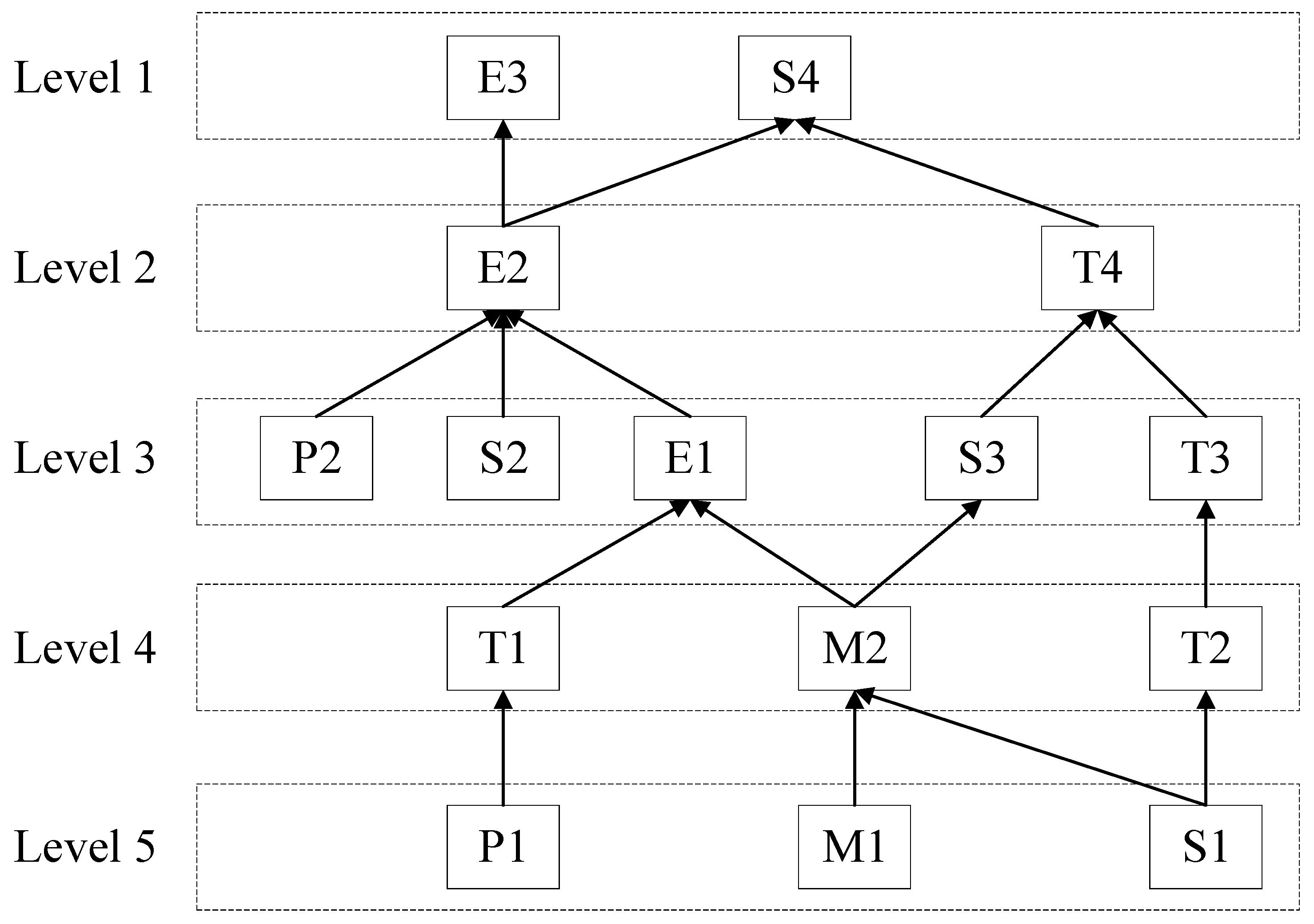
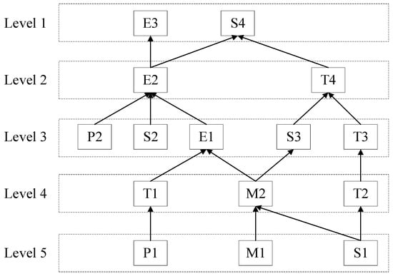
After obtaining the adjacency matrix, the reachable matrix was obtained through Boolean algebraic operations, as shown in Table 8, with specific operations carried out in MATLAB. Subsequently, the system’s connectivity was determined based on whether the intersection of reachable sets of the fundamental elements was an empty set. The different barriers were divided into different levels based on the definition of the highest set. The hierarchical division of barriers is shown in Table 9. Using the reachable matrix and the hierarchical division of barriers, a multi-level hierarchical model of barriers to the promotion of prefabricated buildings was constructed, as shown in Figure 3.
Table 8.
Reachable matrix.
Table 9.
Set operation and level partition.
Figure 3.
ISM model of barriers to the promotion of prefabricated buildings.
According to Table 9 and Figure 3, the 15 barriers to the promotion of prefabricated buildings form a system through interaction, and the ISM model reflects the relationships between the various factors. The system was divided into five levels through structural analysis of the model, with Level 1 being the direct factors, Levels 2–4 being the intermediate factors and Level 5 being the bottom factors. There were three basic factors at the bottom level, namely “Lack of enterprise management experience M1”, “Imperfect industry standards and norms P1” and “Lack of professional talent S1”. The bottom barriers can affect other barriers in the system and play a more important role. They are key barriers that urgently need to be addressed in the process of promoting prefabricated buildings. Management ability, standards and specifications, and talent are the foundation of the application of prefabricated building technology. When decision-makers are preparing to apply prefabricated building technology, a lack of basic conditions may lead to various operational problems in the implementation process. The fundamental way to promote prefabricated buildings is to establish standards and specifications, cultivate professional talent, and improve enterprise management capabilities through continuous participation in projects.
“Poor return on investment E3” and “Low market recognition S4” were top-level factors in the model and were the most direct reasons for the slow promotion of prefabricated buildings. Investment return is the most important factor for enterprises to decide whether to invest in a project or not. In order to survive and develop, enterprises must ensure that the projects they invest in have certain benefits. Studies have shown that cost is a key issue that every technology or product promotion must face. The public’s recognition of prefabricated buildings also has an important impact on their promotion. Currently, the public generally considers the quality of prefabricated buildings to be average and their tolerance for new products is limited. Therefore, they are generally unwilling to actively purchase prefabricated buildings. These two factors are the direct reasons affecting the promotion of prefabricated buildings. Moreover, they are also important factors in the process of promoting prefabricated buildings.
Levels 2–4 were intermediate factors, mainly including “High comprehensive cost of construction E2”, “Quality control of key nodes is difficult T4”, “Incomplete industrial chain S2”, “Design, production, construction and decoration are disconnected S3”, “Immature key technologies T3”, “Low degree of standardization and integration of prefabricated components T1”, “Immature management mode M2”, and “Insufficient capacity for basic research and innovation T2”. These barriers are influenced by the bottom barriers and also affect the top-level barriers. Intermediate factors have a transmission function. Intermediate-level factors involve multiple aspects such as policy, the economy, society, technology and management.
In addition, although “Insufficient government support and incentive measures P2” and “Incomplete industrial chain S2” in Levels 2–4 are not bottom factors, they are fundamental factors of the system that are not affected by other factors. Together with the three bottom factors, they constitute the fundamental reasons for the slow promotion of prefabricated buildings, and these five factors are barriers that need to be independently addressed.
4.3. Analysis and Classification of Barriers
MICMAC analysis is based on the reachable matrix to calculate the driving power and dependence power. The driving power is the sum of the row values where the barrier is located, and the dependence power is the sum of the column values where the barrier is located. Through MICMAC analysis, barriers in prefabricated buildings were classified into four categories: autonomous factors, driving factors, linking factors and dependent factors, as shown in Figure 4.
Figure 4.
Results of MICMAC analysis.
The factors in the first quadrant are autonomous factors, mainly technical and society barriers, including “Insufficient government support and incentive measures (P2)”, “High initial investment (E1)”, “Incomplete industrial chain (S2)”, “Design, production, construction and decoration are disconnected (S3)”, “Low degree of standardization and integration of prefabricated components (T1)”, “Insufficient capacity for basic research and innovation (T2)”, and “Immature key technologies (T3)”. These factors are less influenced by driving and dependence, and their interrelationships with other factors are simple, playing a role of connecting the upper and lower layers of shallow and deep factors. It can be seen that these factors are intermediate factors in the structural model.
The factors in the second quadrant are driving factors, including “Imperfect industry standards and norms P1”, “Lack of professional talent S1”, “Lack of enterprise management experience M1” and “Immature management mode M2”. The driving factors have a high driving power and low dependence power, among which, P1 had the highest driving power, indicating its stronger ability to influence other factors. These factors are deep-seated factors of the model, which are the fundamental and critical factors leading to the slow promotion of prefabricated buildings. Controlling these factors can effectively reduce the probability of other factors occurring. It can be seen that these factors were basically located at the bottom or second to last level of the model and need to be addressed with emphasis. These four factors are key barriers in the process of promoting prefabricated buildings.
The factors in the third quadrant are linking factors. According to the results of the MICMAC analysis, there were no linking factors in the model, which means that there were no factors with both high driving and dependence power. It is difficult to effectively promote prefabricated buildings by only dealing with a single factor.
The fourth quadrant consists of dependent factors, including “High comprehensive cost of construction E2”, “Poor return on investment E3”, “Low market recognition S4” and “Quality control of key nodes is difficult T4”. Dependent factors have high dependence power and low driving power, among which S4 had the highest dependence power, indicating a higher possibility of being influenced by other factors. These types of factors generally exist at the top level of the model and are susceptible to the influence of other factors. They are mostly direct influencing factors that slow down the promotion of prefabricated construction and need to be addressed as a priority.
In the process of promoting prefabricated buildings, there are three important barriers: the driving factors with high driving power and low dependence power, the basic barriers located at the bottom level, and the direct barriers located at the top of the model. According to the results of AHP, the key barriers to promoting prefabricated buildings include: “Imperfect industry standards and norms P1”, “Poor return on investment E3”, “Lack of professional talent S1”, “Low market recognition S4”, “Lack of enterprise management experience M1” and “Immature management mode M2”.
5. Discussion and Recommendations
5.1. Discussion
This study established a list of barriers to the promotion of prefabricated buildings through a literature review. The importance of the barriers was ranked using the analytic hierarchy process (AHP), and the main barriers were identified as those with a cumulative ranking weight of 80%. Subsequently, interpreted structural modeling (ISM) was used to construct a relationship model between the main barriers. The study aimed to identify and classify the barriers to the promotion of prefabricated buildings at the system level, and extract the key obstacles barriers.
Compared to policy, economic, and management issues, respondents were more concerned about the influence of technology and society factors on prefabricated buildings. Among them, technological barriers represented the biggest factor affecting the promotion of prefabricated buildings, accounting for 35.34% of the weight. This is consistent with the current situation in China. For example, due to technical difficulties, prefabrication is difficult to apply to high-rise buildings. In addition, the market also has a significant impact on the promotion of prefabricated buildings. If there is demand, there is a market. If the social recognition of prefabricated buildings is not high, then companies lack the motivation to promote them. The government and relevant departments should focus on these two issues and formulate corresponding measures to promote the application of prefabricated buildings.
Combined with the ISM model, it was observed that the most direct factors affecting the promotion of prefabricated buildings were cost and social issues. For enterprises, a poor return on investment will lead to a negative attitude toward the application of technology and products, and when the demand for technology and products in the market is not strong, such technologies and products will gradually be abandoned. Therefore, for the promotion of prefabricated buildings, government policy support is needed in the early stages. When the application reaches a certain level, the complete industrial chain and cost issues will be resolved, and the return on investment will naturally reach a satisfactory level. At the same time, technological research and development are also crucial for the promotion of prefabricated buildings. When technological problems are solved and the quality of prefabricated buildings meets the application requirements, social recognition of prefabricated buildings will naturally increase. At the bottom of the model, it was found that there were three fundamental problems in the promotion and application of prefabricated buildings, namely “Imperfect industry standards and norms”, “Lack of enterprise management experience”, and “Lack of professional talent”. For areas with fewer applications of prefabricated buildings, it is essential to learn and accumulate project experience. On the one hand, enterprises need to absorb relevant professional talent to improve their management and technical capabilities. On the other hand, enterprises can organize training to cultivate professional talent. Regarding standard specification issues, government and research departments need to contribute to the formulation of standards and specifications. This is not only crucial for the promotion of prefabricated buildings, but also a key issue that limits the application and promotion of emerging technologies such as BIM technology.
5.2. Promotion Strategy
To promote the application of prefabricated buildings in China, this study proposed a three-level strategy for promoting prefabricated buildings at the industry, organization and project levels, as shown in Figure 5. At the industry level, emphasis should be placed on addressing bottom-level barriers and fundamental barriers. The academic community should strengthen the research on prefabricated buildings, focusing on how to promote the adaptation of prefabricated buildings to the local construction industry. Government departments can collaborate with scientific research departments to develop relevant standards, regulations, and laws to provide guidance for stakeholders in the industry. In addition, the government can provide certain policy support and subsidies to companies applying prefabricated construction.
Figure 5.
Three-level promotion strategy for prefabricated buildings.
At the organizational level, intermediate barriers to the promotion of prefabricated buildings should be addressed. On the one hand, companies need to establish long-term cooperative relationships with various enterprises in the supply chain to ensure the integrity of the industrial chain. At the same time, a reasonable resource allocation mechanism should be established to ensure sufficient prefabricated components for multi-project construction. On the other hand, companies should carry out technological development to overcome key technical problems and minimize production input. Considering that the barriers at the intermediate level are related to those at the top and bottom levels, overcoming these barriers will help to solve top-level barriers if successful.
At the project level, the cost-effectiveness of prefabricated construction projects should be improved by applying lean construction thinking and utilizing information technology such as BIM and IoT to enhance the management level of prefabricated buildings, thus effectively reducing costs, shortening construction periods and improving quality.
6. Conclusions
Prefabricated buildings have the characteristics of being energy conserving, providing environmental protection, being labor-saving, and facilitating fast construction, which meet the requirement for the sustainable development of the Chinese construction industry on the background of “double carbon”. The promotion of prefabricated buildings has achieved some achievements. However, the development of prefabricated buildings in China is still in its infancy, and there are many barriers that hinder their development. This article established a list of barriers to the promotion of prefabricated buildings in China through a literature review, identified the main barriers based on AHP according to cumulative weight, clarified the interrelationships between factors using ISM, and finally, classified the barriers according to driving and dependence power through MICMAC analysis. Based on this, this article proposes promotion strategies for prefabricated buildings in China at the industry, organization and project levels. The main findings of this article are as follows:
(1) This article established a list of barriers to the promotion of prefabricated buildings in China through a literature review, divided into five categories: policy, the economy, society, technology and management, with a total of 27 barriers. In order to determine the main barriers, seven experts were invited to compare the importance of the barriers, and the AHP method was used for analysis. Based on the weights, the barriers were ranked in terms of their order of importance, and those with a cumulative ranking weight reaching 80% were identified as the main barriers. Finally, 15 main barriers were identified. This study demonstrated that technology has the greatest impact on the promotion of prefabricated buildings, followed by society, the economy, policy, and finally management factors. Among them, the weight of “immature key technologies” accounted for 11.52%, which was the largest barrier to the promotion of prefabricated buildings.
(2) Based on identifying the main barriers to promoting Chinese prefabricated buildings, the ISM method was applied to analyze the relationships between various barriers and divide them into five levels. Finally, MICMAC analysis was used to classify the barriers according to driving and dependence power, including seven autonomous factors, four driving factors and four dependent factors. This study showed that “Lack of enterprise management experience (M1)”, “Imperfect industry standards and norms (P1)”, and “Lack of professional talent (S1)” are the barriers that affect the promotion of prefabricated buildings at the lowest level. Together with “Insufficient government support and incentive measures (P2)” and “Incomplete industrial chain (S2)”, they constitute the fundamental factors that affect the promotion of prefabricated buildings, which should be addressed as a priority. For the dependence factors at the upper level of the model, these factors have the most direct impact on the promotion of prefabricated buildings and should be addressed first.
(3) The research results indicate that the promotion of prefabricated buildings in China requires strategies at multiple levels. At the industry level, emphasis should be placed on addressing basic and fundamental barriers. The development of laws, regulations and standards is crucial for countries and regions where the application of prefabricated buildings is still in its infancy. At the organizational level, emphasis should be placed on enterprise strategy and technological research and development. At the project level, emphasis should be placed on the application of information technology and the improvement of project target management.
This study provides guidance for countries and regions, represented by China, where the application of prefabricated buildings is in its infancy. The main barrier factors identified through the literature review and the AHP method were more scientific, and further analysis combined with the ISM method enhanced the reliability of the research results; this is also the novelty of this study. At the same time, the survey subjects came from various units in the supply chain, which also provided a guarantee of the validity of the results. Although the depth of application varies in different countries and regions, the methods used in this study provide a reference for identifying the main barriers and their interrelationships, and promoting the development of prefabricated buildings in other countries and regions. However, there are still some limitations to this study. On the one hand, this study was based on the main barriers and did not consider lower-level barriers to avoid the complexity of the ISM method, but this does not mean that these barriers do not need to be addressed. On the other hand, the number of experts participating in the survey research was relatively small, and the data sources were relatively narrow, which lead to some subjectivity in the research results. Subsequent research can consider expanding the scope of the study and improving the objectivity of the data. In addition, there were also combined effects among different factors, and the influence coefficients among these factors also requires further study.
Author Contributions
Conceptualization, Q.W. and C.S.; methodology, C.S. and M.H.; validation, C.S. and Z.G.; formal analysis, M.H.; investigation, K.Z. and J.Z.; resources, Z.G.; data curation, C.S.; writing—original draft preparation, C.S.; writing—review and editing, M.H.; visualization, C.S.; supervision, Q.W.; project administration, Z.G.; funding acquisition, Q.W. All authors have read and agreed to the published version of the manuscript.
Funding
This research was funded by the Hainan Province Science and Technology Special Fund, grant number ZDKJ2021024.
Data Availability Statement
All data generated or analyzed during the study are available from the corresponding author by request.
Acknowledgments
This research was supported by the Hainan Province Science and Technology Special Fund (ZDKJ2021024). The authors would express their thanks to everyone who assisted with this research.
Conflicts of Interest
The authors declare no conflict of interest.
References
- Kamali, M.; Hewage, K. Life Cycle Performance of Modular Buildings: A Critical Review. Renew. Sustain. Energy Rev. 2016, 62, 1171–1183. [Google Scholar]
- Li, L.; Li, Z.; Li, X.; Zhang, S.; Luo, X. A New Framework of Industrialized Construction in China: Towards on-Site Industrialization. J. Clean. Prod. 2020, 244, 118469. [Google Scholar] [CrossRef]
- Wu, Z.; Luo, L.; Li, H.; Wang, Y.; Bi, G.; Antwi-Afari, M.F. An Analysis on Promoting Prefabrication Implementation in Construction Industry towards Sustainability. Int. J. Environ. Res. Public Health 2021, 18, 11493. [Google Scholar] [CrossRef] [PubMed]
- Wang, H.; Zhang, Y.; Gao, W.; Kuroki, S. Life Cycle Environmental and Cost Performance of Prefabricated Buildings. Sustainability 2020, 12, 2609. [Google Scholar] [CrossRef]
- Cao, X.; Li, X.; Zhu, Y.; Zhang, Z. A comparative study of environmental performance between prefabricated and traditional residential buildings in China. J. Clean. Prod. 2015, 109, 131–143. [Google Scholar] [CrossRef]
- Hong, J.; Shen, G.Q.; Li, Z.; Zhang, B.; Zhang, W. Barriers to promoting prefabricated construction in China: A cost–benefit analysis. J. Clean. Prod. 2018, 172, 649–660. [Google Scholar] [CrossRef]
- El-Abidi, K.M.A.; Ofori, G.; Zakaria, S.A.S.; Aziz, A.R.A. Using Prefabricated Building to Address Housing Needs in Libya: A Study based on Local Expert Perspectives. Arab. J. Sci. Eng. 2019, 44, 8289–8304. [Google Scholar] [CrossRef]
- Tam, V.W.; Tam, C.M.; Zeng, S.; Ng, W.C. Towards adoption of prefabrication in construction. Build. Environ. 2007, 42, 3642–3654. [Google Scholar] [CrossRef]
- Wang, J.; Zhao, J.; Hu, Z. Review and thinking on development of building industrialization in China. J. China Civ. Eng. 2016, 49, 18. (In Chinese) [Google Scholar]
- Yu, T.; Man, Q.; Wang, Y.; Shen, G.Q.; Hong, J.; Zhang, J.; Zhong, J. Evaluating Different Stakeholder Impacts on the Occurrence of Quality Defects in Offsite Construction Projects: A Bayesian-Network-Based Model. J. Clean. Prod. 2019, 241, 118390. [Google Scholar] [CrossRef]
- Teng, Y.; Mao, C.; Liu, G.; Wang, X. Analysis of Stakeholder Relationships in the Industry Chain of Industrialized Building in China. J. Clean. Prod. 2017, 152, 387–398. [Google Scholar] [CrossRef]
- Wang, Z.; Wang, T.; Hu, H.; Gong, J.; Ren, X.; Xiao, Q. Blockchain-Based Framework for Improving Supply Chain Traceability and Information Sharing in Precast Construction. Autom. Constr. 2020, 111, 103063. [Google Scholar] [CrossRef]
- Hedman, E.A. History of the Swedish System of Nonprofit Municipal Housing. Boverket–Swedish Board of Housing, Building and Planning. Available online: https://www.boverket.se/globalassets/publikationer/dokument/2008/history_of_the_swedish_system_of_non-profit_municipal_housing.pdf (accessed on 29 April 2021).
- Cavalieri, F.; Bellotti, D.; Nascimbene, R. Seismic vulnerability of existing precast buildings with frictional beam-to-column connections, including treatment of epistemic uncertainty. Bull. Earthq. Eng. 2023, 21, 1117–1138. [Google Scholar] [CrossRef]
- Xu, Z.; Zayed, T.; Niu, Y. Comparative analysis of modular construction practices in mainland China, Hong Kong and Singapore. J. Clean. Prod. 2020, 245, 118861. [Google Scholar] [CrossRef]
- Zhang, R.; Zhou, A.S.J.; Tahmasebi, S.; Whyte, J. Long-standing themes and new developments in offsite construction: The case of UK housing. Proc. Inst. Civ. Eng. Civ. Eng. 2019, 172, 29–35. [Google Scholar] [CrossRef]
- Wu, G.; Yang, R.; Li, L. Factors influencing the application of prefabricated construction in China: From perspectives of technology promotion and cleaner production. J. Clean. Prod. 2019, 219, 753–762. [Google Scholar] [CrossRef]
- Pan, W.; Gibb, A.F.; Dainty, A.R.J. Leading UK housebuilders’ utilization of offsite construction methods. Build. Res. Inf. 2008, 36, 56–67. [Google Scholar] [CrossRef]
- Wuni, I.Y.; Shen, G.Q. Critical success factors for modular integrated construction projects: A review. Build. Res. Inf. 2020, 48, 763–784. [Google Scholar] [CrossRef]
- Velamati, S. Feasibility, Benefits and Challenges of Modular Construction in High Rise Development in the United States: A Developer’s Perspective. Ph.D. Thesis, Massachusetts Institute of Technology, Cambridge, MA, USA, 2012; pp. 23–26. [Google Scholar]
- Rahimian, F.P.; Goulding, J.; Akintoye, A. Review of motivations, success factors, and barriers to the adoption of offsite manufacturing in Nigeria. Procedia Eng. 2017, 196, 512–519. [Google Scholar] [CrossRef]
- Zakari, I.; Awal, A.; Zakaria, R. Application of Industrialized Building System: A Case Study in Kano State, Nigeria. Int J Geomate 2017, 13, 80–86. [Google Scholar] [CrossRef]
- Navaratnam, S.; Ngo, T.; Gunawardena, T. Performance Review of Prefabricated Building Systems and Future Research in Australia. Buildings 2019, 2, 38. [Google Scholar] [CrossRef]
- Zhang, Z.; Tan, Y.; Shi, L.; Hou, L.; Zhang, G. Current State of Using Prefabricated Construction in Australia. Buildings 2022, 12, 1355. [Google Scholar] [CrossRef]
- El-Abidi, K.M.A.; Ofori, G.; Zakaria, S.A.S.; Mannan, M.A.; Abas, N.F. Identifying and Evaluating Critical Success Factors for Industrialized Building Systems Implementation: Malaysia Study. Arba. J. Sci. Eng. 2019, 44, 8761–8777. [Google Scholar] [CrossRef]
- Fateh, M.; Mohammad, M.F.; Shukor, A. Review in formulating the standard form of contract for Industrialized Building System (IBS) construction approach in Malaysia. In Proceedings of the 6th Creative Construction Conference, Kuching, MA, USA, 26–28 June 2016. [Google Scholar]
- Xue, X.; Zhang, X.; Wang, L. Analyzing collaborative relationships among industrialized construction technology innovation organizations: A combined SNA and SEM approach. J. Clean. Prod. 2018, 173, 265–277. [Google Scholar] [CrossRef]
- Bian, J.; Wang, Z.; Liu, X. Research on Restrictive Factors of Assembly Building Development based on Principal Components Analysis Method. Constr. Econ. J. 2021, 42, 76–80. (In Chinese) [Google Scholar]
- Li, D.; Wang, Y. Driving and Obstacle Factors Affecting Construction Units’Initiative Adoption of Prefabricated Buildings. J. Civ. Eng. Manag. 2019, 36, 7–11. (In Chinese) [Google Scholar]
- Zhai, X.; Reed, R.; Mills, A. Factors impeding the offsite production of housing construction in China: An investigation of current practice. Constr. Manag. Econ. 2014, 32, 40–52. [Google Scholar] [CrossRef]
- Zhang, X.; Skitmore, M.; Yi, P. Exploring the challenges to industrialized residential building in China. Habitat Int. 2014, 41, 176–184. [Google Scholar] [CrossRef]
- Zhang, S.; Li, Z.; Ma, S.; Li, L.; Yuan, M. Critical Factors Influencing Interface Management of Prefabricated Building Projects: Evidence from China. Sustainability 2022, 14, 5418. [Google Scholar] [CrossRef]
- Shang, Z.; Wang, F.; Yang, X. The Efficiency of the Chinese Prefabricated Building Industry and Its Influencing Factors: An Empirical Study. J. Sustain. 2022, 14, 10695. [Google Scholar] [CrossRef]
- Zhao, W.; Zhang, B.; Yang, Y. Empirical study of comprehensive benefits for prefabricated buildings: A case study of Hefei city. Int. J. Electr. Eng. Educ. 2020, 0020720920928465. [Google Scholar]
- Qi, B.; Razkenari, M.; Li, J.; Costin, A.; Kibert, C.; Qian, S. Investigating U.S. Industry Practitioners’ Perspectives towards the Adoption of Emerging Technologies in Industrialized Construction. Buildings 2020, 10, 85. [Google Scholar] [CrossRef]
- Li, Q.; Chen, R.; Ma, M. Research on the Constraints of the Development of Prefabricated Buildings Based on DEMATEL-ISM. J. Eng. Manag. 2020, 34, 30–43. (In Chinese) [Google Scholar]
- Qin, X.; Li, A.; Zhang, R. Research on the relationship between the influencing factors of construction industrialization based on ISM: Survey from Xiamen. J. Chongq. Uni. 2017, 6, 30–40. (In Chinese) [Google Scholar]
- Sun, H.; Fang, Y.; Yin, M.; Shi, F. Research on the Restrictive Factors of Vigorous Promotion of Prefabricated Buildings in Yancheng under the Background of “Double Carbon”. Sustainability 2023, 15, 1737. [Google Scholar] [CrossRef]
- Luo, W.; Lei, L.; Guo, Y.; Ren, Y. Research on Development Countermeasures of Prefabricated Buildings in Chongqing Based on SWOT Analysis. IOP Conf. Ser. Earth Environ. Sci. 2021, 702, 012014. [Google Scholar] [CrossRef]
- Dou, Y.; Xue, X.; Wang, Y.; Luo, X.; Shang, S. New media data-driven measurement for the development level of prefabricated construction in China. J. Clean. Prod. 2019, 241, 118353. [Google Scholar] [CrossRef]
- Wang, T.; Wang, X.; Wang, L.; Au-Yong, C.P.; Ali, A.S. Assessment of the development level of regional industrialized building based on cloud model: A case study in Guangzhou, China. J. Build. Eng. 2021, 44, 102547. [Google Scholar] [CrossRef]
- Luo, T.; Xue, X.; Wang, Y.; Xue, W.; Tan, Y. A systematic overview of prefabricated construction policies in China. J. Clean. Prod. 2021, 280, 124371. [Google Scholar] [CrossRef]
- Zhou, J.; Ren, D. A hybrid model of external environmental benefits compensation to practitioners for the application of prefabricated construction. Environ. Impact Asses. Rev. 2020, 81, 106358. [Google Scholar] [CrossRef]
- Wu, H.; Qian, Q.K.; Straub, A.; Visscher, H. Stakeholder Perceptions of Transaction Costs in Prefabricated Housing Projects in China. J. Constr. Eng. Manag. 2021, 147, 04020145. [Google Scholar] [CrossRef]
- Sd, A.; Ma, B.; Sc, A. Barriers to the implementation of Building Information Modelling (BIM) for facility management. J. Build. Eng. 2021, 46, 103736. [Google Scholar]
- Tan, T.; Chen, K.; Xue, F.; Lu, W.S. Barriers to Building Information Modeling (BIM) implementation in China’s prefabricated construction: An interpretive structural modeling (ISM) approach. J. Clean. Prod. 2019, 219, 949–959. [Google Scholar] [CrossRef]
Disclaimer/Publisher’s Note: The statements, opinions and data contained in all publications are solely those of the individual author(s) and contributor(s) and not of MDPI and/or the editor(s). MDPI and/or the editor(s) disclaim responsibility for any injury to people or property resulting from any ideas, methods, instructions or products referred to in the content. |
© 2023 by the authors. Licensee MDPI, Basel, Switzerland. This article is an open access article distributed under the terms and conditions of the Creative Commons Attribution (CC BY) license (https://creativecommons.org/licenses/by/4.0/).




