Earthquake Analysis of an Old RC Minaret Retrofitting with Shape Memory Alloy
Abstract
1. Introduction
2. Shape Memory Alloys Overview
2.1. Superelastic Effect
2.2. Shape Memory Effect
2.3. Mechanical Proprieties of Shape Memory Alloy
2.4. Strain Rate Effect
2.5. Temperature Effect
2.6. Shape Memory Alloy Application as Connection
3. Presentation of the Case Study
4. Numerical Model of the Minaret
Modal Analysis
5. Minaret Transient Analysis
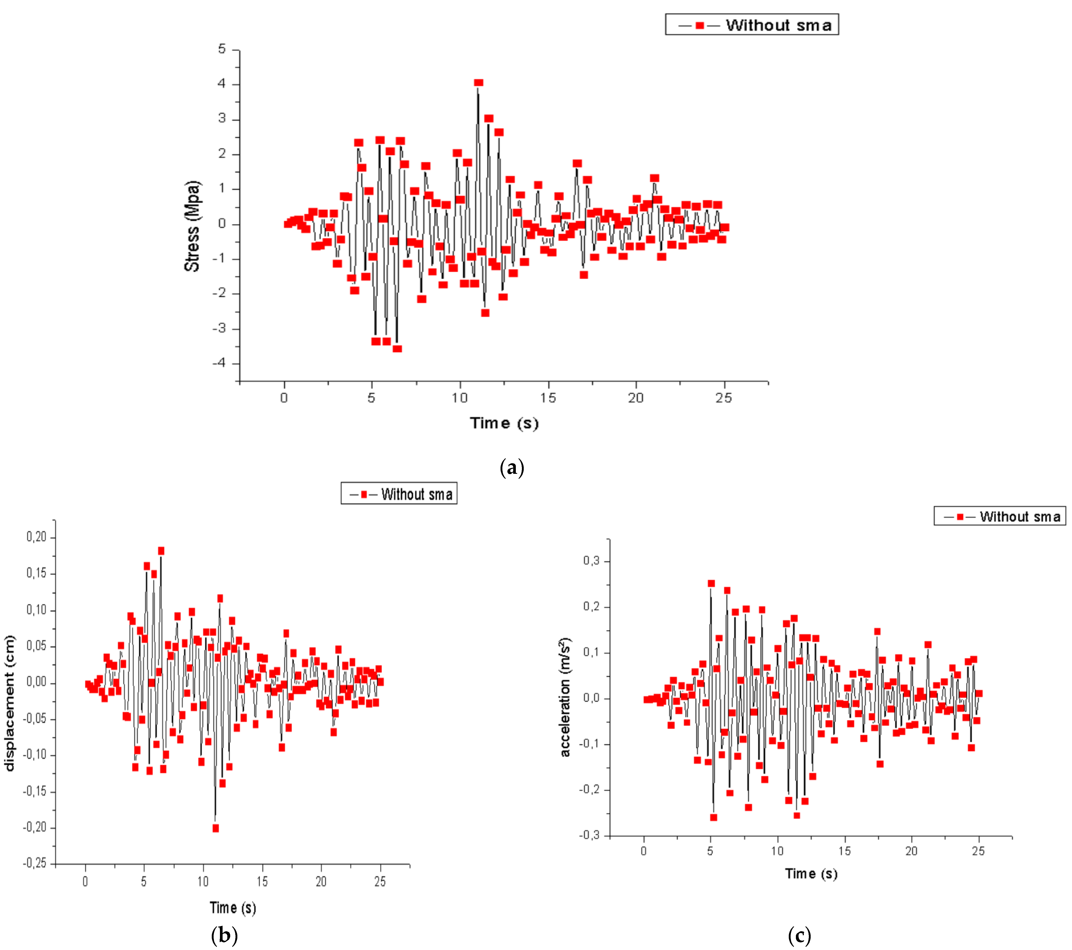
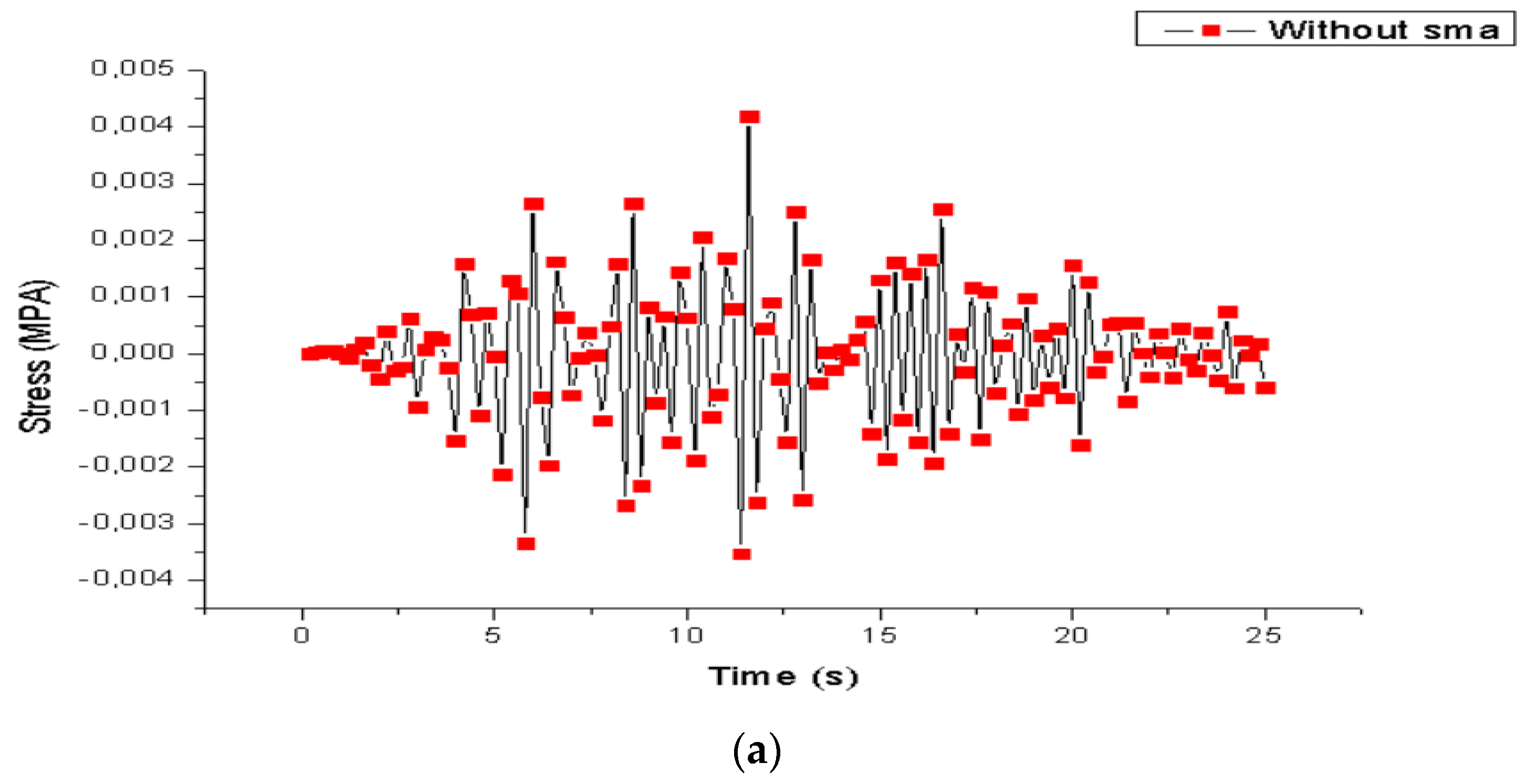
5.1. Without SMA
5.2. With SMA
6. Conclusions
Author Contributions
Funding
Data Availability Statement
Acknowledgments
Conflicts of Interest
References
- Dal, Z.L.; Ampuero, L. Earthquake Doublet In Turkey and Syria. Commun. Earth Environ. 2023, 4, 71. [Google Scholar]
 - Djeddi, M. Seisme En Algerie Et Leur Origines. Alger. Equip. 2004, 37, 42–43. [Google Scholar]
 - Sabeur, B.; Bourdim, S.M.E.A.; Rodrigues, H. Seismic Damage Scenarios for Existing Masonry Buildings for Educational Use in the Mostaganem City. KSCE J. Civ. Eng. 2023, 27, 1–15. [Google Scholar] [CrossRef]
 - Rodrigues, H.; Duvnjak, I. Advanced Structural Health Monitoring: From Theory to Applications. Appl. Sci. 2021, 11, 11401. [Google Scholar] [CrossRef]
 - Xu-Yang, C.; Dejian, S.; De-Cheng, F.; Chun-Lin, W.; Zhe, Q. Seismic Retrofitting of Existing Frame Buildings through Externally Attached Sub-structures: State of the Art Review and Future Perspectives. J. Build. Eng. 2022, 57, 104904. [Google Scholar]
 - Krishnanunni, A.; Bhalla, S. A Efficacy of Singly Curved Thin Piezo Transducers for Structural Health Monitoring and Energy Harvesting for RC Structures. Energy Rep. 2023, 9, 2506–2524. [Google Scholar] [CrossRef]
 - Xu, L.; Zhang, L. Performance-based Piezoelectric Material Applied in Health Inspection of Civil Engineering Structures. Mater. Sci. Eng. 2019, 631, 022071. [Google Scholar] [CrossRef]
 - Andrawes, B.; DesRoches, R. Comparison Between Shape Memory Alloy Seismic Restrainers and Other Bridge Retrofit Devices. J. Bridge Eng. 2007, 12, 700–709. [Google Scholar] [CrossRef]
 - Casciati, F.; Faravelli, L.; Hamdaoui, K. Performance of A Base Isolator with Shape Memory Alloy Bars. Earthq. Eng. Eng. Vib. 2007, 6, 401–408. [Google Scholar] [CrossRef]
 - Cao, X.; Feng, D.; Beer, M. Consistent Seismic Hazard And Fragility Analysis Considering Combined Capacity-demand Uncertainties Via Probability Density Evolution Method. Struct. Saf. 2023, 103, 102330. [Google Scholar] [CrossRef]
 - Hothifa, R. Innovative Near-Surface Mounted Iron-Based Shape Memory Alloy for Strengthening Structure. Ph.D. Thesis, University of Calgary, Calgary, AB, Canada, 2017. [Google Scholar]
 - Hamdaoui, K.; Benadla, Z.; Chitaoui, H.; Benallal, A. Dynamic Behavior of A Seven Century Historical Monument Reinforced by Shape Memory Alloy Wires. Smart Struct. Syst. 2019, 23, 337–345. [Google Scholar]
 - Hardeep, S.R.; Pearcel, G.; Hepton, R.; Wong, J.; Zidane, I.; Ma, X. An investigation Into the Design of A Device to Treat Haemorrhagic. Stroke Sage J. 2019, 234, 323–336. [Google Scholar]
 - Kenneth, K.A.; Eloho, A.O.; Justus, U.A. Structural Vibration Mitigation—A Concise Review of the Capabilities and Applications of Cu and Fe Based Shape Memory Alloys In Civil Structures. J. Build. Eng. 2018, 22, 22–32. [Google Scholar]
 - Peyman, N.; Farnaz, H. Practical Earthquake Protection of Multi-Story Buildings Using Shape Memory Alloy (SMA) Braces. Int. J. Sci. Res. Civ. Eng. 2018, 2, 1–11. [Google Scholar]
 - Raj, S.; Mccurm, D.; Giuseppina, A.; Iian-Fei, C. Testing Of Reinforced Concrete External Beam Column Joints Retrofitted With Shape Memory Alloys. In Proceedings of the 16th European Conference on Earthquake Thessaloniki Engineering, Thessaloníki, Greece, 18–21 June 2018. [Google Scholar]
 - Jiawei, C.; Dong, L.; Xin, Y.; Hao, Y. Performance-Based Assessment Of Bridges With Novel SMA-Washer-Based Self-Centering Rocking Piers. Materials 2022, 15, 6589. [Google Scholar] [CrossRef]
 - Alireza, T.; Mieczysław, K. Magdalena Out-of-Plane Behavior of Masonry Prisms Retrofitted with Shape Memory Alloy Stripes: Numerical and Parametric Analysis. Sensors 2022, 22, 8004. [Google Scholar]
 - Hamdaoui, K.; Benadla, Z. Dynamic analysis of a historical monument: Retrofit using shape memory alloy wires. Smart Struct. Syst. 2014, 13, 3. [Google Scholar] [CrossRef]
 - Bourdim, S.M.A.; Zelmate, Y. Earthquake Analysis of an Old Minaret Under Real And Synthetic Accelerograms. In Proceedings of the Cinpar2016: XII International Conference on Structural Repair and rehabilitation, Porto, Portugal, 26–29 October 2016. [Google Scholar]
 - Bourdim, S.M.A.; Hamdaoui, K.; Marcellini, A. Diagnosis and Seismic Analysis of the Mansourah Minaret in Tlemcen, Algeria. Int. J. Civil Eng. Res. 2013, 4, 153–175. [Google Scholar]
 - Waibaye, A. Création de Structures Actives à L’aide D’alliages à Mémoire de Forme. Ph.D. Thesis, Universite Blaise Pascal-Clermont II, Clermont-Ferrand, France, 2016. [Google Scholar]
 - Desroches, R.; Smith, B. Shape Memory Alloys In Seismic Resistant Design And Retrofit: A Critical Review of Their Potential and Limitations. J. Earthq. Eng. 2008, 8, 415–429. [Google Scholar] [CrossRef]
 - Fereidooni, D. Seismic Hazard Assessment of the City of Khoy and Its Vicinity, NW of Iran. Int. J. Geotech. Earthq. Eng. 2015, 6, 15–27. [Google Scholar] [CrossRef]
 - Cheng, F.; Wang, W. Shape Memory Alloys for Seismic Resilience; Springer: Berlin/Heidelberg, Germany, 2020; pp. 97–135. [Google Scholar]
 - Hamdaoui, K. Experimental Applications on Cu-based Shape Memory Alloys: Retrofitting of Historical Monuments and Base Isolation. Ph.D. Thesis, University of Pavia, Pavia, Italy, 2009. [Google Scholar]
 - Bouhadad, Y.; Slimani, A.; Laouami, N. Predicted and Observed PGA Values in the Boumerdes (Algeria) Area. In Proceedings of the First European Conference on Earthquake Engineering and Seismology, Geneva, Switzerland, 3–8 September 2006. [Google Scholar]
 


















| Young’s Module  (MPa)  | Volume Weight  (kN/m3)  | Poisson Ratio | Compressive Strength (MPa) | 
|---|---|---|---|
| 13.000 | 23 | 0.2 | 25 | 
| Mode | Frequency (Hz) | Period (s) | Mode Type | 
|---|---|---|---|
| 1 | 3.019 | 0.331 | Translation x | 
| 2 | 3.049 | 0.327 | Translation y | 
| 3 | 16.698 | 0.059 | Translation x | 
| 4 | 16.919 | 0.059 | Translation y | 
| 5 | 21.293 | 0.046 | Torsion | 
| 6 | 24.529 | 0.040 | Translation z | 
| 7 | 29.517 | 0.033 | Translation x | 
| 8 | 29.851 | 0.0219 | Translation y | 
| Mode | Period  Without SMA (s)  | Period  4 SMA (s)  | Period  6 SMA (s)  | 
|---|---|---|---|
| 1 | 0.331 | 0.348 | 0.348 | 
| 2 | 0.327 | 0.33 | 0.338 | 
| 3 | 0.059 | 0.326 | 0.336 | 
| 4 | 0.059 | 0.315 | 0.315 | 
| 5 | 0.046 | 0.305 | 0.305 | 
| 6 | 0.040 | 0.283 | 0.283 | 
| 7 | 0.033 | 0.283 | 0.268 | 
| 8 | 0.0219 | 0.243 | 0.243 | 
| Position | Sizes | Value | 
|---|---|---|
| Point A | Uxmax (cm) | 0.19907 | 
| Axmax (m/s²) | 0.3531 | |
| σxmax (MPa) | 4.0814 | |
| Point B | Uxmax (cm) | 17.1712 | 
| Axmax (m/s²) | 23.4494 | |
| σxmax (MPa) | 0.00418 | 
| Property | Value | Units | 
|---|---|---|
| Nitinol | ||
| Density | 6450 | kg/m3 | 
| Young’s modulus | 90,000 | MPa | 
| Poisson’s ratio | 0.3 | |
| Tensile yield strength | 1000 | MPa | 
| Tensile ultimate strength | 1400 | MPa | 
| Superelasticity | ||
| Sigma SAS | 520 | MPa | 
| Sigma FAS | 600 | MPa | 
| Sigma SSA | 300 | MPa | 
| Sigma FSA | 200 | MPa | 
| Epsilon | 0.063 | mm−1 | 
| A | 0.09 | 
| Position | Sizes | Without SMA (1) | 4 SMA (2)  | 6 SMA (3)  | Difference (1 and 2)  | Difference (1 and 3)  | Difference (2 and 3)  | 
|---|---|---|---|---|---|---|---|
| Point A | Uxmax (cm) | 0.19907 | 0.19936 | 0.20134 | −0.00029 | −0.00227 | −0.0019 | 
| Axmax (m/s²) | 0.3531 | 0.2530 | 0.250016 | 0.1001 | 0.103084 | 0..0029 | |
| σxmax (MPa) | 4.0814 | 2.5152 | 2.1836 | 1.5662 | 1.8978 | 0.3316 | |
| Point B | Uxmax (cm) | 17.1712 | 17.1431 | 18.2512 | +0.0281 | −1.08 | −1.1081 | 
| Axmax (m/s²) | 23.4494 | 23.2067 | 25.922 | 0.2427 | −2.4726 | −2.7153 | |
| σxmax (MPa) | 0.00418 | 0.00425 | 0.004316 | 0 | −0.00013 | 0 | 
| Position | Sizes | 4 SMA | 4 + 2 SMA | Difference | 
|---|---|---|---|---|
| Point A | Uxmax (cm) | 0.19936 | 0.19957 | −0.00021 | 
| Axmax (m/s²) | 0.2530 | 0.2642 | −0.0112 | |
| σxmax (MPa) | 2.5152 | 2.1884 | 0.3268 | |
| Point B | Uxmax (cm) | 17.1431 | 17.1901 | −0.047 | 
| Axmax (m/s²) | 23.2067 | 25.437 | −2.2303 | |
| σxmax (MPa) | 0.003591 | 0.00066 | 
| Position | Sizes | 4 SMA (4M)  | 4 SMA  (24 M)  | Difference | 
|---|---|---|---|---|
| Point A | Uxmax (cm) | 0.19936 | 0.1878 | 0.01156 | 
| Axmax (m/s²) | 0.2530 | 0.284 | −0.031 | |
| σxmax (MPa) | 2.5152 | 2.148 | 0.3672 | |
| Point B | Uxmax (cm) | 17.1431 | 13.034 | 4.109 | 
| Axmax (m/s²) | 23.2067 | 20.611 | −2.595 | |
| σxmax (MPa) | 0.00425 | 0.00323 | 0.00102 | 
Disclaimer/Publisher’s Note: The statements, opinions and data contained in all publications are solely those of the individual author(s) and contributor(s) and not of MDPI and/or the editor(s). MDPI and/or the editor(s) disclaim responsibility for any injury to people or property resulting from any ideas, methods, instructions or products referred to in the content.  | 
© 2023 by the authors. Licensee MDPI, Basel, Switzerland. This article is an open access article distributed under the terms and conditions of the Creative Commons Attribution (CC BY) license (https://creativecommons.org/licenses/by/4.0/).
Share and Cite
Matari, Z.; Bourdim, S.M.E.-A.; Rodrigues, H.; Kadri, T. Earthquake Analysis of an Old RC Minaret Retrofitting with Shape Memory Alloy. Buildings 2023, 13, 1121. https://doi.org/10.3390/buildings13051121
Matari Z, Bourdim SME-A, Rodrigues H, Kadri T. Earthquake Analysis of an Old RC Minaret Retrofitting with Shape Memory Alloy. Buildings. 2023; 13(5):1121. https://doi.org/10.3390/buildings13051121
Chicago/Turabian StyleMatari, Zakaria, Sidi Mohammed El-Amine Bourdim, Hugo Rodrigues, and Tahar Kadri. 2023. "Earthquake Analysis of an Old RC Minaret Retrofitting with Shape Memory Alloy" Buildings 13, no. 5: 1121. https://doi.org/10.3390/buildings13051121
APA StyleMatari, Z., Bourdim, S. M. E.-A., Rodrigues, H., & Kadri, T. (2023). Earthquake Analysis of an Old RC Minaret Retrofitting with Shape Memory Alloy. Buildings, 13(5), 1121. https://doi.org/10.3390/buildings13051121
        
                                                
