An Efficient Model for the Coupling Beam Using Damping Devices in Coupled Shear Wall Structures under Earthquake Loads
Abstract
1. Introduction
2. Constitutive Modeling
3. Beams and Columns Modeling
3.1. Energy-Dissipating Coupling Beam Element Stiffness Matrix
- Axial loading:
- Bending moments and shear:
- -
- Case 1: Now impose a unit displacement at the i-end of the member while holding all other displacements to zero (Δi = 1) (Figure 8).
- -
- Case 2: unit rotation at i (θi = 1) (Figure 9)
3.2. Beam–Column Element Stiffness Matrix
4. Solution Algorithm
4.1. Static Analysis
4.2. Dynamic Analysis
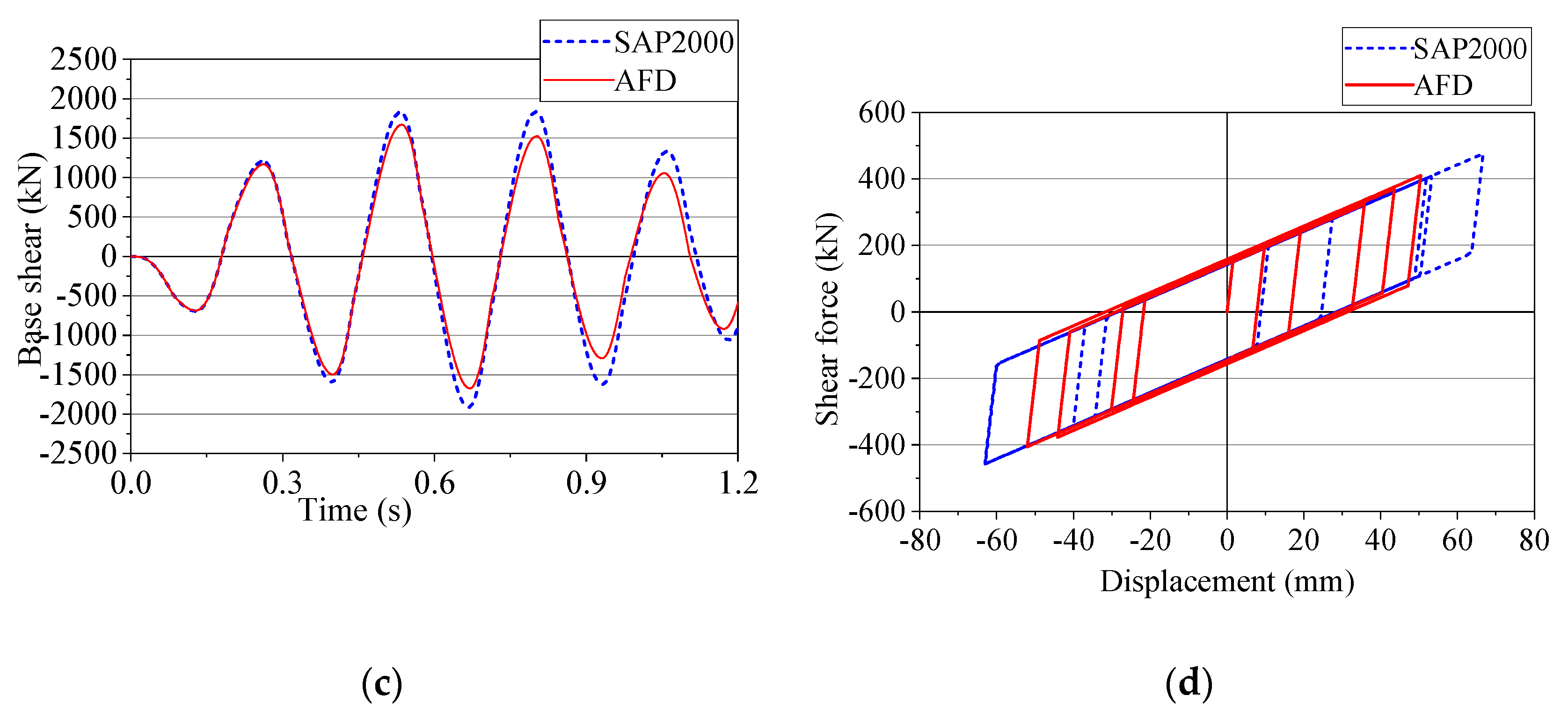
5. Comparison to Commercial Software
5.1. One-Story Frame
5.2. Ten-Story Coupled Shear Wall
6. Case Study
6.1. One Device Assign in Coupled Shear Wall Structure
6.2. Ten Devices Assigned in Coupled Shear Wall Structure
6.3. Devices Assigned on Each Floor of the Coupled Shear Wall Structure
6.4. Discussions
7. Conclusions
- (1)
- The coupling beam assigned with the energy dissipation device in coupled shear wall structure can be modeled as 1 element (EDCB element), using the proposed stiffness matrix.
- (2)
- The AFD program demonstrates the accuracy and computational efficiency in analyzing the hysteretic behavior of coupling beams as well as static and dynamic analysis of structures.
- (3)
- The good results obtained from the analyses of the 1-story frame and 10-story coupled shear wall showed that the proposed software proves to be reliable and valuable for application.
- (4)
- By adopting the EDCB element and AFD program, considering the 30-story coupled shear wall in seismic analysis, the use of an energy dissipation device could bring an obvious effect to decrease the probability of damage to the structure, especially when the energy dissipation device is located in the region from the 5th floor to the 15th floor and all floors.
- (5)
- Using the AFD program could help to cut down significantly survey time due to the decrease in the number of elements, especially when many energy dissipation devices are assigned to the building.
Author Contributions
Funding
Data Availability Statement
Conflicts of Interest
References
- Cao, X.-Y.; Shen, D.; Feng, D.-C.; Wang, C.-L.; Qu, Z.; Wu, G. Seismic Retrofitting of Existing Frame Buildings through Externally Attached Sub-Structures: State of the Art Review and Future Perspectives. J. Build. Eng. 2022, 57, 104904. [Google Scholar] [CrossRef]
- Park, P.; Paulay, T. Reinforced Concrete Structures; Wiley-Interscience: Hoboken, NJ, USA, 1974. [Google Scholar]
- Pham, D.; Chou, C. Strong-Axis Instability of Sandwiched Buckling Restrained Braces in a Two-Story Steel X-BRBF: Seismic Tests and Finite Element Analyses. Thin Walled Struct. 2020, 157, 107011. [Google Scholar] [CrossRef]
- Soong, T.T.; Spencer, B.F. Supplemental Energy Dissipation: State-of-the-Art and State-of-the-Practice. Eng. Struct. 2002, 24, 243–259. [Google Scholar] [CrossRef]
- Spencer, B.F.; Nagarajaiah, S. State of the Art of Structural Control. J. Struct. Eng. 2003, 129, 845–856. [Google Scholar] [CrossRef]
- Aiken, I.D.; Kelly, J.M.; Hall, A.S. Seismic Response of a Nine-Story Steel Frame with Friction-Damped Cross-Bracing; Report No. UCB/EERC-88/17; Pacific Earthquake Engineering Research Center, University of California: Berkeley, CA, USA, 1988; pp. 1–7. [Google Scholar]
- Symans, M.D.; Charney, F.A.; Whittaker, A.S.; Constantinou, M.C.; Kircher, C.A.; Johnson, M.W.; McNamara, R.J. Energy Dissipation Systems for Seismic Applications: Current Practice and Recent Developments. J. Struct. Eng. 2008, 134, 3–21. [Google Scholar] [CrossRef]
- Stafford-Smith, B.; Coull, A. Tall Building Structure—Analysis and Design, 1st ed.; Wiley-Interscience: Hoboken, NJ, USA, 1991. [Google Scholar]
- Shiva Prathap, H.K.; Somesh, P.; DeviPrasad; Bharath, V.B. Comparative Study of Multi-Storey Building with Coupled Shear Wall and Multi-Storey Building with Conventional Shear Wall. Int. Res. J. Eng. Technol. 2019, 6, 190–195. [Google Scholar]
- Cao, X.-Y.; Feng, D.-C.; Li, Y. Assessment of Various Seismic Fragility Analysis Approaches for Structures Excited by Non-Stationary Stochastic Ground Motions. Mech. Syst. Signal Process 2023, 186, 109838. [Google Scholar] [CrossRef]
- Cao, X.-Y.; Feng, D.-C.; Beer, M. Consistent Seismic Hazard and Fragility Analysis Considering Combined Capacity-Demand Uncertainties via Probability Density Evolution Method. Struct. Saf. 2023, 103, 102330. [Google Scholar] [CrossRef]
- Hosseini, R.; Rashidi, M.; Bulajić, B.Đ.; Arani, K.K. Multi-Objective Optimization of Three Different SMA-LRBs for Seismic Protection of a Benchmark Highway Bridge against Real and Synthetic Ground Motions. Appl. Sci. 2020, 10, 4076. [Google Scholar] [CrossRef]
- Choi, K.-S.; Kim, H.-J. Strength Demand of Hysteretic Energy Dissipating Devices Alternative to Coupling Beams in High-Rise Buildings. Int. J. High Rise Build. 2014, 3, 107–120. [Google Scholar]
- Ahn, T.-S.; Kim, Y.-J.; Kim, S.-D. Large-Scale Testing of Coupled Shear Wall Structures with Damping Devices. Adv. Struct. Eng. 2013, 16, 1943–1955. [Google Scholar] [CrossRef]
- Hu, X.; Lu, Q.; Xu, Z.; Zhang, S. Seismic Performance of Reinforced Concrete Coupled Walls with Segmental Coupling Beams. Adv. Civ. Eng. 2019, 2019, 1520375. [Google Scholar] [CrossRef]
- Paulay, T. The Coupling of Shear Walls; University of Canterbury: Christchurch, New Zealand, 1969. [Google Scholar]
- Paulay, T.; Binney, J.R. Diagonally Reinforced Coupling Beams of Shear Walls. Symp. Pap. 1974, 42, 579–598. [Google Scholar]
- Tassios, T.; Moretti, M.; Bezas, A. On the Behavior and Ductility of Reinforced Concrete Coupling Beams of Shear Walls. Struct. J. 1996, 93, 711–720. [Google Scholar]
- Galano, L.; Vignoli, A. Seismic Behavior of Short Coupling Beams with Different Reinforcement Layouts. Struct. J. 2000, 97, 876–885. [Google Scholar] [CrossRef]
- Harries, K.A.; Mitchell, D.; Cook, W.D.; Redwood, R.G. Seismic Response of Steel Beams Coupling Concrete Walls. J. Struct. Eng. 1993, 119, 3611–3629. [Google Scholar] [CrossRef]
- Gong, B.; Shahrooz, B.M. Steel—Concrete Composite Coupling Beams—Behavior and Design. Eng. Struct. 2001, 23, 1480–1490. [Google Scholar] [CrossRef]
- Fortney, P.J.; Shahrooz, B.M.; Rassati, G.A. Large—Scale Testing of a Replaceable “Fuse” Steel Coupling Beam. J. Struct. Eng. 2007, 133, 1801–1807. [Google Scholar] [CrossRef]
- Pan, C.; Weng, D.G. Study on Seismic Performance of Coupled Shear Walls with Vertical Dampers. Adv. Mater. Res. 2010, 163–167, 4185–4193. [Google Scholar] [CrossRef]
- Montgomery, M.; Christopoulos, C. Experimental Validation of Viscoelastic Coupling Dampers for Enhanced Dynamic Performance of High-Rise Buildings. J. Struct. Eng. 2015, 141, 04014145. [Google Scholar] [CrossRef]
- Li, Y.; Xu, J.; Ma, K.; Yu, H. Seismic Behavior of Coupled Wall Structure with Steel and Viscous Damping Composite Coupling Beams. J. Build. Eng. 2022, 52, 104510. [Google Scholar] [CrossRef]
- Esteghamati, M.Z.; Farzampour, A. Probabilistic Seismic Performance and Loss Evaluation of a Multi-Story Steel Building Equipped with Butterfly-Shaped Fuses. J. Constr. Steel Res. 2020, 172, 106187. [Google Scholar] [CrossRef]
- Jiang, H.; Li, S.; He, L. Experimental Study on a New Damper Using Combinations of Viscoelastic Material and Low-Yield-Point Steel Plates. Front Mater. 2019, 6, 100. [Google Scholar] [CrossRef]
- Oh, S.H.; Choi, K.Y.; Kim, H.-J.; Kang, C.H. Experimental Validation on Dynamic Response of RC Shear Wall Systems Coupled with Hybrid Energy Dissipative Devices. In Proceedings of the 15 WCEE LISBOA, Lisbon, Portugal, 24–28 September 2012. [Google Scholar]
- Zhao, Y.; Dong, Y. Seismic Response of Reinforced Concrete Frame-Shear Wall Structure with Metal Rubber-Based Damper in Coupling Beam. ACSM 2020, 44, 319–326. [Google Scholar] [CrossRef]
- Beyer, K.; Dazio, A.; Priestley, M.J.N. Inelastic Wide-Column Models for U-Shaped Reinforced Concrete Walls. J. Earthq. Eng. 2008, 12, 1–33. [Google Scholar] [CrossRef]
- Soong, T.T.; Dargush, G.F. Passive Energy Dissipation Systems in Structural Engineering; John Wiley and Sons: Hoboken, NJ, USA, 1997. [Google Scholar]
- Prager, W. A New Method of Analyzing Stresses and Strains in Work-Hardening Plastic Solids. J. Appl. Mech. 1956, 23, 493–496. [Google Scholar] [CrossRef]
- Nakashima, M.; Akazawa, T.; Tsuji, B. Strain-Hardening Behavior of Shear Panels Made of Low-Yield Steel. II: Model. J. Struct. Eng. 1995, 121, 1750–1757. [Google Scholar] [CrossRef]
- Akazawa, T.; Nakashima, M.; Sakaguchi, O. Simple Model for Simulating Hysteretic Behavior Involving Significant Strain Hardening. In Proceedings of the Eleventh World Conference on Earthquake Engineering, Paper, Acapulco, Mexico, 23–28 June 1996. [Google Scholar]
- Mander, J.B.; Priestley, M.J.N.; Park, R. Theoretical Stress–Strain Model for Confined Concrete. J. Struct. Eng. 1988, 114, 1804–1826. [Google Scholar] [CrossRef]
- CSI. SAP2000 Integrated Solution for Structural Analysis and Design. 2019. Available online: http://www.csiamerica.com/ (accessed on 15 October 2022).
- William, B.B. Mechanics of Solids: Concepts and Applications; Irwin: Toronto, ON, Ontario, 1993. [Google Scholar]
- Öchsner, A. Classical Beam Theories of Structural Mechanics; Springer International Publishing: Cham, Switzerland, 2021. [Google Scholar] [CrossRef]
- Gaur, A.; Dhurvey, P. Comparative Study of Beam Theories on the Effect of Span-Depth Ratio for Symmetric and Un-Symmetric Loadings. IOP Conf. Ser. Mater. Sci. Eng. 2020, 936, 012047. [Google Scholar] [CrossRef]
- Chopra, A.K. Dynamics of Structures: Theory and Applications to Earthquake Engineering, 4th ed.; Prentice Hall: Upper Saddle River, NJ, USA, 2012. [Google Scholar]
- The Math Works, Inc. MATLAB. 2017. Available online: https://www.mathworks.com/ (accessed on 15 October 2022).
- Huang, X. Seismic Mitigation Efficiency Study of the Coupling Beam Damper in the Shear Wall Structure. Civ. Eng. J. 2021, 30. [Google Scholar] [CrossRef]
- Thu-Hien, P. Seismic Analyses of Self-Centering Braced Frames and Buckling-Restrained Braced Frames Using the Computer Program SAP2000. Master’s Thesis, Department of Civil Engineering, National Taiwan University, Taipei, Taiwan, 2012. [Google Scholar]
- Wen, W.; Luo, M.; Chen, L.; Ma, Z.; Pan, W. An Equivalent Approach for Modelling Butterfly-Hysteresis Passive Variable Friction Damper. SN Appl. Sci. 2022, 4, 234. [Google Scholar] [CrossRef]
- Wang, T.; Guo, X.; He, X.; Du, Y.; Duan, C. Seismic Behavior of High-Rise Concrete Shear-Wall Buildings with Hybrid Coupling Beams. In Proceedings of the 15 WCEE LISBOA, Lisbon, Portugal, 24–28 September 2012. [Google Scholar]
- Earthquake Engineering Research Center. Preliminary Report on the Seismological and Engineering Aspects of the January 17, 1994 Northridge Earthquake; UCB/EERC-94/01; College of Engineering, University of California at Berkeley: Berkeley, CA, USA, 1994. [Google Scholar]




























| Location of Devices | The Reduction of Inter-Story Drift of Structure Compared to the Structure without the Device (%) |
|---|---|
| Floors 1–10 | 31 (%) |
| Floors 11–20 | 28 (%) |
| Floors 21–30 | 27 (%) |
| Floors 5–14 | 33 (%) |
| Floors 15–24 | 29 (%) |
Disclaimer/Publisher’s Note: The statements, opinions and data contained in all publications are solely those of the individual author(s) and contributor(s) and not of MDPI and/or the editor(s). MDPI and/or the editor(s) disclaim responsibility for any injury to people or property resulting from any ideas, methods, instructions or products referred to in the content. |
© 2023 by the authors. Licensee MDPI, Basel, Switzerland. This article is an open access article distributed under the terms and conditions of the Creative Commons Attribution (CC BY) license (https://creativecommons.org/licenses/by/4.0/).
Share and Cite
Pham, T.-H.; Nguyen, H.-Q.; Nguyen, T.-C.; Nguyen, A.-D. An Efficient Model for the Coupling Beam Using Damping Devices in Coupled Shear Wall Structures under Earthquake Loads. Buildings 2023, 13, 941. https://doi.org/10.3390/buildings13040941
Pham T-H, Nguyen H-Q, Nguyen T-C, Nguyen A-D. An Efficient Model for the Coupling Beam Using Damping Devices in Coupled Shear Wall Structures under Earthquake Loads. Buildings. 2023; 13(4):941. https://doi.org/10.3390/buildings13040941
Chicago/Turabian StylePham, Thu-Hien, Hai-Quang Nguyen, Tien-Chuong Nguyen, and Anh-Dung Nguyen. 2023. "An Efficient Model for the Coupling Beam Using Damping Devices in Coupled Shear Wall Structures under Earthquake Loads" Buildings 13, no. 4: 941. https://doi.org/10.3390/buildings13040941
APA StylePham, T.-H., Nguyen, H.-Q., Nguyen, T.-C., & Nguyen, A.-D. (2023). An Efficient Model for the Coupling Beam Using Damping Devices in Coupled Shear Wall Structures under Earthquake Loads. Buildings, 13(4), 941. https://doi.org/10.3390/buildings13040941
