Unsteady Heat Flux Measurement and Predictions Using Long Short-Term Memory Networks
Abstract
1. Introduction
2. Data and Methods
2.1. Data Acquisition
2.2. Overall Heat Transfer Coefficient
2.3. Deep Learning Model
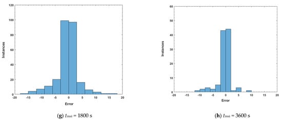
3. Results and Discussion
3.1. Measurement Data and Analysis
3.2. LSTM Neural Networks
4. Conclusions
Supplementary Materials
Author Contributions
Funding
Data Availability Statement
Conflicts of Interest
References
- International Energy Agency. Buildings, Energy. Available online: https://www.iea.org/reports/buildings (accessed on 19 January 2023).
- Tafakkori, R.; Fattahi, A. Introducing novel configurations for double-glazed windows with lower energy loss. Sustain. Energy Technol. Assess. 2021, 43, 100919. [Google Scholar] [CrossRef]
- ASHRAE. Handbook Fundamentals, SI, International Edition, 1997; ASHRAE Handbook—HVAC Applications; ASHRAE Parsons: Peachtree Corners, GA, USA, 2007. [Google Scholar]
- Lu, C.; Li, S.; Lu, Z. Building energy prediction using artificial neural networks: A literature survey. Energy Build. 2022, 262, 111718. [Google Scholar] [CrossRef]
- Wang, Z.; Chen, Y. Data-driven modeling of building thermal dynamics: Methodology and state of the art. Energy Build. 2019, 203, 109405. [Google Scholar] [CrossRef]
- Rouchier, S. Solving inverse problems in building physics: An overview of guidelines for a careful and optimal use of data. Energy Build. 2018, 166, 178–195. [Google Scholar] [CrossRef]
- Bourdeaua, M.; Zhaia, X.Q.; Nefzaouib, E.; Guo, X.; Chatellier, P. Modeling and forecasting building energy consumption: A review of data-driven techniques. Sustain. Cities Soc. 2019, 48, 101533. [Google Scholar] [CrossRef]
- Kirubakaran, V.; Sahu, C.; Radhakrishnan, T.K.; Sivakumaran, N. Energy efficient model based algorithm for control of building HVAC systems. Ecotoxicol. Environ. Saf. 2015, 121, 236–243. [Google Scholar] [CrossRef]
- Ming, W.; Sun, P.; Zhang, Z.; Qiu, W.; Du, J.; Li, X.; Zhang, Y.; Zhang, G.; Liu, K.; Wang, Y.; et al. A systematic review of machine learning methods applied to fuel cells in performance evaluation, durability prediction, and application monitoring A systematic review of machine learning methods applied to fuel cells in performance evaluation, durability prediction, and application monitoring. Int. J. Hydrogen Energy 2023, 48, 5197–5228. [Google Scholar]
- Brunton, S.L.; Kutz, J.N. Data-Driven Science and Engineering—Machine Learning, Dynamical Systems, and Control, 2nd ed.; Cambridge University Press: Cambridge, UK, 2022. [Google Scholar]
- Roman, N.D.; Bre, F.; Fachinotti, V.D.; Lamberts, R. Application and characterization of metamodels based on artificial neural networks for building performance simulation: A systematic review. Energy Build. 2020, 217, 109972. [Google Scholar] [CrossRef]
- Tien, P.W.; Wei, S.; Darkwa, J.; Wood, C.; Calautit, J.K. Machine Learning and Deep Learning Methods for Enhancing Building Energy Efficiency and Indoor Environmental Quality—A Review. Energy AI 2022, 10, 100198. [Google Scholar] [CrossRef]
- Chen, Z.; Xiao, F.; Guo, F.; Yan, J. Interpretable machine learning for building energy management: A state-of-the-art review. Adv. Appl. Energy 2023, 9, 100123. [Google Scholar] [CrossRef]
- Noye, S.; Martinez, R.M.; Carnieletto, L.; DeCarli, M.; Aguirre, A.C. A review of advanced ground source heat pump control: Artificial intelligence for autonomous and adaptive control. Renew. Sustain. Energy Rev. 2022, 153, 111685. [Google Scholar] [CrossRef]
- Mohanraj, M.; Jayaraj, S.; Muraleedharan, C. Applications of artificial neural networks for refrigeration, air-conditioning and heat pump systems—A review. Renew. Sustain. Energy Rev. 2012, 16, 1340–1358. [Google Scholar] [CrossRef]
- Attoue, N.; Shahrour, I.; Younes, R. Smart building: Use of the artificial neural network approach for indoor temperature forecasting. Energies 2018, 11, 395. [Google Scholar] [CrossRef]
- Kreuzer, D.; Munz, M.; Schlüter, S. Short-term temperature forecasts using a convolutional neural network—An application to different weather stations in Germany. Mach. Learn. Appl. 2020, 2, 100007. [Google Scholar] [CrossRef]
- Elmaz, F.; Eyckerman, R.; Casteels, W.; Latré, S.; Hellinckx, P. CNN-LSTM architecture for predictive indoor temperature modeling. Build. Environ. 2021, 206, 108327. [Google Scholar] [CrossRef]
- Rouchier, S.; Rabouille, M.; Oberlé, P. Calibration of simplified building energy models for parameter estimation and forecasting: Stochastic versus deterministic modelling. Build. Environ. 2018, 134, 181–190. [Google Scholar] [CrossRef]
- Wu, W.; Wang, J.; Huang, Y.; Zhao, H.; Wang, X. A novel way to determine transient heat flux based on GBDT machine learning algorithm. Int. J. Heat Mass Transf. 2021, 179, 121746. [Google Scholar] [CrossRef]
- Biddulph, P.; Gori, V.; Elwell, C.A.; Scott, C.; Rye, C.; Lowea, R.; Oreszczyn, T. Inferring the thermal resistance and effective thermal mass of a wall using frequent temperature and heat flux measurements. Energy Build. 2014, 78, 10–16. [Google Scholar] [CrossRef]
- Park, B.K.; Cho, D.W.; Shin, H.J. Energy Analysis for Variable Air Volume System. Mag. Soc. Air-Cond. Refrig. Eng. Korea 1988, 17, 575–582. [Google Scholar]
- ISO 9869-1; Thermal Insulation—Building Elements—In-Situ Measurement of Thermal Resistance and Thermal Transmittance. International Standard: Brussels, Belgium, 2014.
- Makridakis, S.; Spiliotis, E.; Assimakopoulos, V. Statistical and Machine Learning forecasting methods: Concerns and ways forward. PLoS ONE 2018, 13, e0194889. [Google Scholar] [CrossRef]
- Ibrahim, B.; Rabelo, L.; Gutierrez-Franco, E.; Clavijo-Buritica, N. Machine Learning for Short-Term Load Forecasting in Smart Grids. Energies 2022, 15, 8079. [Google Scholar] [CrossRef]
- Mtibaa, F.; Nguyen, K.-K.; Azam, M.; Papachristou, A.; Venne, J.-S.; Cheriet, M. LSTM-Based indoor air temperature prediction framework for HVAC systems in smart buildings. Neural. Comput. Appl. 2020, 32, 17569–17585. [Google Scholar] [CrossRef]
- Lavine, A.S.; Bergman, T.L.; Incropera, F.P.; DeWitt, D.P. Fundamentals of Heat and Mass Transfer, 8th ed.; Wiley: Hoboken, NJ, USA, 2019. [Google Scholar]
- Mathlab. Deep Learning Toolbox; Mathoworks: Natick, MA, USA, 2022. [Google Scholar]
- Chapra, S.C.; Canale, R.P. Numerical Method for Engineers, 4th ed.; McGraw Hill: New York, NY, USA, 2002. [Google Scholar]
- Brownlee, J. Deep Learning for Time Series Forecasting—Predict the Future with MLPs, CNNs, and LSTMs in Python; Machine Learning Mastery: San Juan, PR, USA, 2020. [Google Scholar]













| Minimum | Maximum | Mean | Standard Dev. | |
|---|---|---|---|---|
| Heat_Flux | −3.16 | 58.50 | 22.45 | 8.18 |
| T1 | 17.00 | 27.00 | 21.23 | 1.86 |
| T2 | 2.75 | 18.88 | 8.84 | 3.39 |
| T3_1 | 16.00 | 48.75 | 23.36 | 7.38 |
| T3_2 | 15.00 | 27.00 | 18.80 | 2.35 |
| T3_3 | 6.75 | 23.00 | 11.84 | 3.32 |
| T3_4 | 16.00 | 26.00 | 20.42 | 1.83 |
| Ev_Flex72 | 0.09 | 201.60 | 30.92 | 41.99 |
| tmsi | Rank Correlation | Error-Mean | Error-Std | R-Squared | Rank Correlation | Error-Mean | Error-Std | R-Squared |
|---|---|---|---|---|---|---|---|---|
| all | all | all | all | test | test | test | test | |
| 1 | 0.99625 | −0.06409 | 0.6771 | 0.99329 | 0.99503 | −0.0592 | 0.5158 | 0.9936 |
| 60 | 0.96881 | 0.21859 | 1.8321 | 0.94761 | 0.94232 | 0.1082 | 1.9528 | 0.9018 |
| 180 | 0.97433 | −0.21160 | 1.7245 | 0.95580 | 0.87300 | −0.6096 | 3.1914 | 0.7571 |
| 300 | 0.95255 | −0.13889 | 2.2913 | 0.92355 | 0.78438 | −0.7541 | 4.1731 | 0.5557 |
| 600 | 0.94454 | −0.08921 | 2.4118 | 0.91843 | 0.76105 | −0.1466 | 4.0779 | 0.6046 |
| 900 | 0.90634 | −0.53380 | 3.1776 | 0.86069 | 0.75344 | −1.9784 | 4.7284 | 0.5914 |
| 1800 | 0.83488 | −0.86957 | 4.8497 | 0.69665 | 0.73051 | −2.8145 | 4.6613 | 0.4865 |
| 3600 | 0.92751 | −0.47679 | 2.5883 | 0.88362 | 0.54675 | −2.3841 | 5.4823 | - |
| tmsi | MAE | MAPE | MSE | CVRMSE | SSE | MBE | NMBE | MRE |
|---|---|---|---|---|---|---|---|---|
| 1 | 0.397973 | 2.079677 | 0.269544 | 11.591301 | 31917.574 | −0.059168 | 0.294933 | 0.002949 |
| 60 | 1.279373 | 6.910730 | 3.823162 | 43.899478 | 7531.630 | 0.108167 | 0.545243 | 0.005452 |
| 180 | 2.276929 | 11.972710 | 10.540832 | 71.542785 | 6809.377 | −0.609629 | 2.960212 | 0.029602 |
| 300 | 2.444384 | 13.095413 | 12.267932 | 77.330986 | 7925.084 | −0.530171 | 2.584353 | 0.025843 |
| 600 | 2.912069 | 15.002258 | 17.937658 | 93.062156 | 6870.123 | −0.754123 | 3.641018 | 0.036410 |
| 900 | 3.089057 | 16.366962 | 16.561100 | 90.113342 | 3063.803 | −0.146656 | 0.719103 | 0.007191 |
| 1800 | 3.922452 | 16.595949 | 26.085100 | 107.81336 | 3130.211 | −1.978366 | −8.815754 | 0.088157 |
| 3600 | 4.254764 | 18.244894 | 29.246843 | 110.98442 | 1579.329 | −2.814484 | 11.853427 | 0.118534 |
| (tmsi = 60 s) | Rsquared | RMSE | MAE | MAPE | MSE | CVRMSE | SSE | MBE | NMBE | MRE |
|---|---|---|---|---|---|---|---|---|---|---|
| MLP | 0.9203 | 1.800 | 1.206 | 6.52 | 3.243 | 40.246 | 6363.3 | −0.061 | −0.302 | 0.003 |
| CNN-LSTM | 0.9046 | 2.027 | 1.435 | 7.56 | 4.110 | 44.996 | 8063.8 | −0.337 | −1.658 | 0.017 |
| Rsquared | RMSE | MAE | MAPE | MSE | CVRMSE | SSE | MBE | NMBE | MRE | |
|---|---|---|---|---|---|---|---|---|---|---|
| BiLSTM (univariate) | 0.9018 | 1.955 | 1.279 | 6.91 | 3.823 | 43.899 | 7531.6 | 0.108 | 0.545 | 0.005 |
| BiLSTM (multivariate) | 0.888 | 2.263 | 1.642 | 8.34 | 5.121 | 47.921 | 14,717.6 | 0.147 | 0.659 | 0.007 |
Disclaimer/Publisher’s Note: The statements, opinions and data contained in all publications are solely those of the individual author(s) and contributor(s) and not of MDPI and/or the editor(s). MDPI and/or the editor(s) disclaim responsibility for any injury to people or property resulting from any ideas, methods, instructions or products referred to in the content. |
© 2023 by the authors. Licensee MDPI, Basel, Switzerland. This article is an open access article distributed under the terms and conditions of the Creative Commons Attribution (CC BY) license (https://creativecommons.org/licenses/by/4.0/).
Share and Cite
Park, B.K.; Kim, C.-J. Unsteady Heat Flux Measurement and Predictions Using Long Short-Term Memory Networks. Buildings 2023, 13, 707. https://doi.org/10.3390/buildings13030707
Park BK, Kim C-J. Unsteady Heat Flux Measurement and Predictions Using Long Short-Term Memory Networks. Buildings. 2023; 13(3):707. https://doi.org/10.3390/buildings13030707
Chicago/Turabian StylePark, Byung Kyu, and Charn-Jung Kim. 2023. "Unsteady Heat Flux Measurement and Predictions Using Long Short-Term Memory Networks" Buildings 13, no. 3: 707. https://doi.org/10.3390/buildings13030707
APA StylePark, B. K., & Kim, C.-J. (2023). Unsteady Heat Flux Measurement and Predictions Using Long Short-Term Memory Networks. Buildings, 13(3), 707. https://doi.org/10.3390/buildings13030707

