Influence of Complex Hydraulic Environments on the Mechanical Properties of Pile-Soil Composite Foundation in the Coastal Soft Soil Area of Zhuhai
Abstract
1. Introduction
2. Engineering Geological Conditions
3. Parameter Calibration and Model Setting
3.1. Model Analysis
3.2. Simulation of the Complex Hydraulic Load Process
- (1)
- Balance the ground stress, select gravity loading for the calculation type, and select the phreatic level for the pore pressure calculation type;
- (2)
- Activate the plain concrete piles, select the plasticity calculation for the calculation type and the phreatic water level for the pore pressure calculation type;
- (3)
- Activate the subgrade and pavement, select the plastic calculation for the calculation type, and select the phreatic level for the pore pressure calculation type;
- (4)
- Eliminate excess pore pressure generated by pile formation, choose the consolidation calculation for the calculation type, and use the previous stage pressure for the pore pressure calculation type. This fourth step aims to eliminate the influence of self-settlement of the pile and soil in the subsequent simulation process. After this calculation, the displacement is cleared to zero; that is, the subsequent excess pore pressure, displacement, and deformation are the net excess pore pressure, net displacement, and net deformation caused by changes in external conditions, respectively;
- (5)
- Apply tidal water-level changes (tidal action, maintained level after the water level rises sharply, and maintain level after the water level falls sharply). Select fluid–solid coupling for calculation type to analyze the simultaneous development of deformation and pore pressure in the soil. The method takes the vertical boundary of the land area on the left side of the model as a fixed water head that is consistent with the mean sea level (0.5 m). The right side of the model is the initial water level of 0.5 m, and three groups of time-related variable head groundwater seepage boundaries are considered.
4. Results and Discussion
4.1. Model Validation
4.2. Deformation Law of Foundation Soft Soil
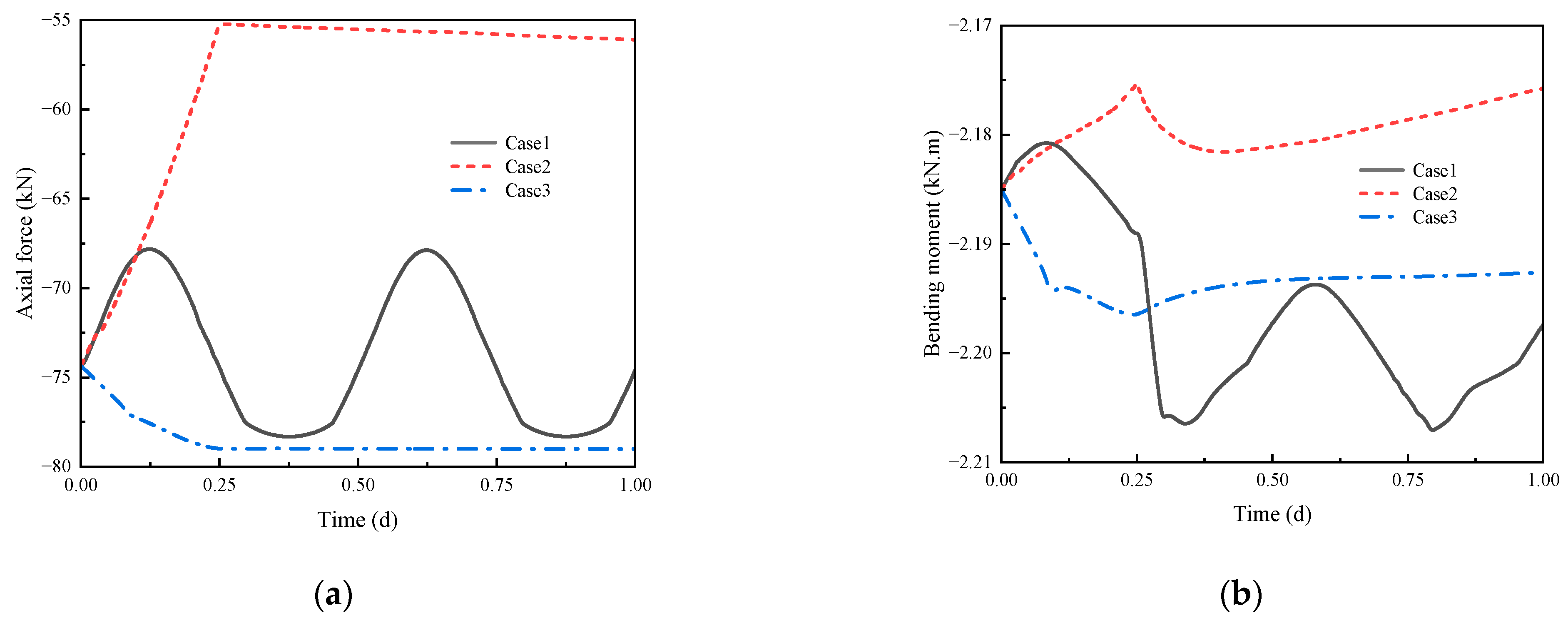
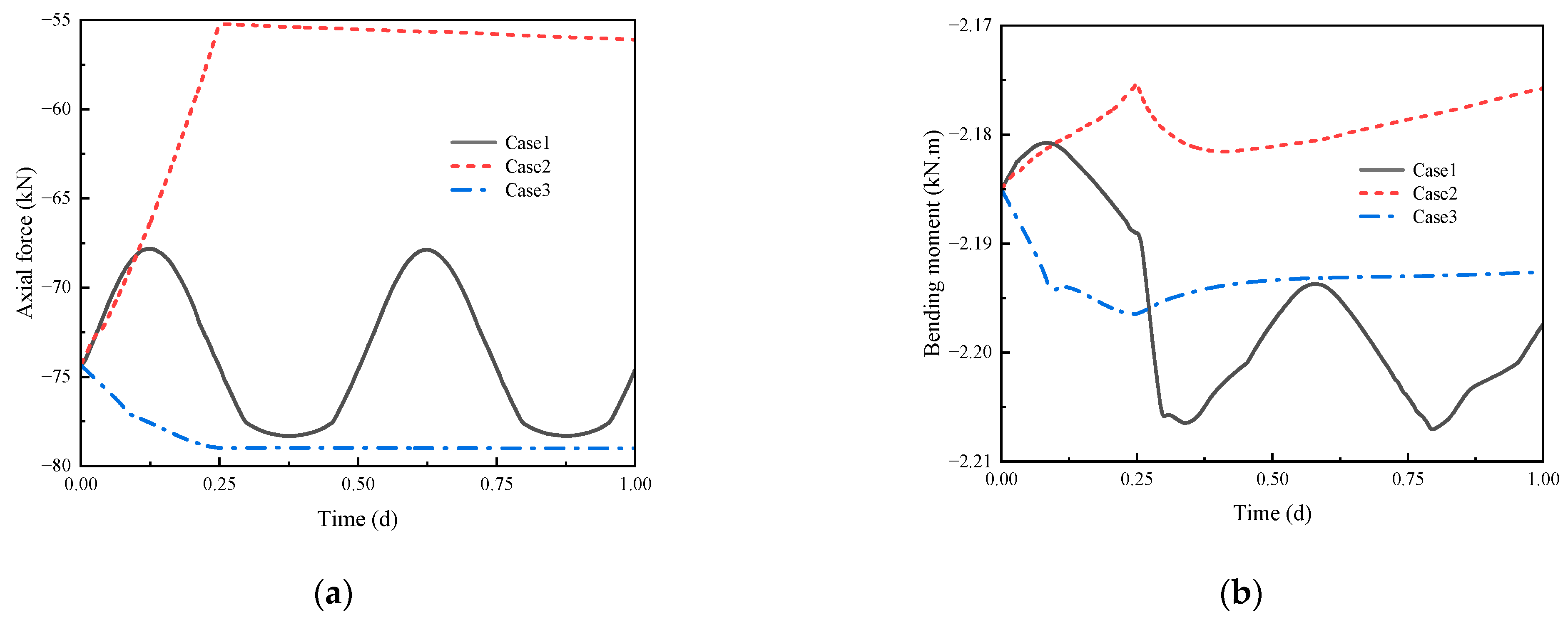
4.3. Pile Axial Force and Bending Moment
4.4. Pore Water Pressure and Mean Effective Stress
5. Conclusions
- (1)
- Based on the resonance column, triaxial consolidation drainage shear, triaxial consolidation drainage loading and unloading shear, and basic physical property tests, the HSS model parameters of typical silt and silty soil layers in the construction area were calibrated. Reliable parameters of the Zhuhai soft soil HSS model were determined. Compared with the soft soil in coastal areas, such as the Yangtze River Delta and Bohai Bay, Zhuhai soft soil exhibits worse engineering properties, including smaller dynamic shear modulus, cohesion, and internal friction angle.
- (2)
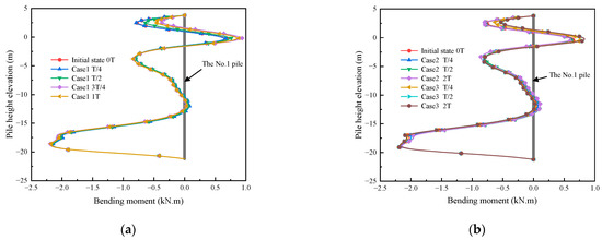
- Through numerical simulations, the deformation laws of the composite foundation under three cases of cyclic tidal action, water-level maintenance after sudden rise and drop are explored. Since the sea level rises the most under the condition of a sudden water-level rise and the rightmost side of the composite foundation is closest to the dike, the deformation of the pile foundation near the sea of the composite foundation is the largest, which is the most unfavorable condition among the three cases.
- (3)
- Under the three cases, the relative displacement of the No. 1 pile on the offshore side and the No. 21 pile on the far seaside in the composite foundation is small. The risk of problems, such as inclination, extrusion, and cracking of the composite foundation superstructure, is relatively small. The maximum deformation of the pile occurs at the No. 1 pile on the offshore side and its upper part passes through the dredger fill layer with a large permeability coefficient. Under the influence of groundwater seepage, the pile may cause a large horizontal displacement and tilt. After checking the calculation, deformation and force are less than the standard design value, so no additional protective measures were taken in the construction process.
- (4)
- The hydraulic load increases the axial force and bending moment of the pile, which needs to be considered for actual engineering. The average effective stress in the composite foundation corresponds to the changing trend in the pore water pressure, showing a changing law of ebb and flow.
Author Contributions
Funding
Institutional Review Board Statement
Informed Consent Statement
Data Availability Statement
Conflicts of Interest
References
- Lin, D.F.; Lin, K.L.; Hung, M.J.; Luo, H.L. Sludge Ash/Hydrated Lime on the Geotechnical Properties of Soft Soil. J. Hazard. Mater. 2007, 145, 58–64. [Google Scholar] [CrossRef]
- Burland, J.B. On the Compressibility and Shear Strength of Natural Clays. Geotechnique 1990, 40, 329–378. [Google Scholar] [CrossRef]
- Tavenas, F.; Leroueil, S. The Behaviour of Embankments on Clay Foundations. Can. Geotech. J. 1980, 17, 236–260. [Google Scholar] [CrossRef]
- Jean, P.; Leblond, P. The Permeability of Natural Soft Clays. Part Ⅱ: Permeability Characteristics. Can. Geotech. J. 1983, 20, 645–660. [Google Scholar]
- Lin, Y.; Ai, K.; Huang, L. Issues of Engineering Characteristics and Engineering Construction of Soft Clay in Zhuhai Region. Chinese J. Rock Mech. Eng. 2006, 25, 3372–3376. [Google Scholar]
- Peng, L.C.; Lin, Y.X.; Huang, L.J. Analysis and Treatment of Quality Accident of Pipe Piles in Soft Clay Area of Zhuhai. Chinese J. Geotech. Eng. 2011, 33, 169–173. [Google Scholar]
- Wang, Y.; Chen, Y.; Qiao, W.; Zuo, D.; Hu, Z.; Feng, Q. Road Engineering Field Tests on an Artificial Crust Layer Combined with Pre-Stressed Pipe Piles over Soft Ground. Soil Mech. Found. Eng. 2018, 54, 402–408. [Google Scholar] [CrossRef]
- Chen, K.; Gan, G. Flexural Test and Numerical Simulation of a New Combination Splice for Prestressed, Precast Concrete Piles Using High-Strength Steel Strands. Buildings 2022, 12, 1371. [Google Scholar] [CrossRef]
- Wang, Y.; Sang, S.; Zhang, M.; Bai, X.; Su, L. Investigation on In-Situ Test of Penetration Characteristics of Open and Closed PHC Pipe Piles. Soils Found. 2021, 61, 960–973. [Google Scholar] [CrossRef]
- Umravia, N.B.; Solanki, C.H. Comparative Study of Existing Cement Fly Ash Gravel Pile and Encased Stone Column Composite Foundation. IOP Conf. Ser. Mater. Sci. Eng. 2021, 1197, 1–9. [Google Scholar] [CrossRef]
- Zou, X.J.; Zhao, Z.M.; Xu, D.B. Consolidation Analysis of Composite Foundation with Partially Penetrated Cement Fly-Ash Gravel (CFG) Piles under Changing Permeable Boundary Conditions. J. Cent. South Univ. 2015, 22, 4019–4026. [Google Scholar] [CrossRef]
- Wang, D.F.; Wang, X.Q.; Zhang, N.T.; Chen, Y. Numerical Simulation of Reinforcement Effect and Settlement of Concrete Pile Composite Foundation. Adv. Mater. Res. 2013, 779, 434–438. [Google Scholar] [CrossRef]
- Wang, L.; Zhao, Q.; Mao, J.; Wu, J.; Guo, F. Bearing Capacity and Simplified Calculation Approach for Large-Diameter Plain-Concrete Piles. Arab. J. Geosci. 2021, 14, 1–13. [Google Scholar] [CrossRef]
- Zhu, Q.; Zuo, W.; Xu, P.; Wang, H. Research and Application of Stress and Strain Testing Method for Plain Concrete Pile. E3S Web Conf. 2021, 233, 3–6. [Google Scholar] [CrossRef]
- Li, S.C.; Xie, C.; Liang, Y.H.; Yan, Q. Seepage Flow Model and Deformation Properties of Coastal Deep Foundation Pit under Tidal Influence. Math. Probl. Eng. 2018, 2018, 1–11. [Google Scholar] [CrossRef]
- Zhang, L.; Wei, X. Responses of Excavation Base under Influences of Confined Aquifer: An Analytical Approach. Mar. Georesources Geotechnol. 2021, 39, 241–254. [Google Scholar] [CrossRef]
- Ying, H.W.; Sun, W.; Zhu, C.W. Experiment Research on Response of Excess Pore Pressure to Wave around Near-Sea Excavation. Rock Soil Mech. 2016, 37, 187–194. [Google Scholar]
- Hong, Y.; Ng, C.W.W. Base Stability of Multi-Propped Excavations in Soft Clay Subjected to Hydraulic Uplift. Can. Geotech. J. 2013, 50, 153–164. [Google Scholar] [CrossRef]
- Xiang, X.C.; Hou, J.S.; Zhu, C.Q. Consolidation Deformation Properties of Silt Roadbed under Effect of Tide. Rock Soil Mech. 2009, 7598, 1142–1146. [Google Scholar]
- Ying, H.W.; Nie, W.F.; Huang, D.Z. Semi-Analytical Solution of Pore Pressure Response around Excavations to Groundwater Level Fluctuation. Chinese J. Geotech. Eng. 2014, 36, 1012–1019. [Google Scholar]
- Ying, H.; Nie, W.; Huang, D. Influences of Groundwater Level Fluctuation on the Stability of Gravity Retaining Wall of Pits. Chinese J. Rock Mech. Eng. 2014, 33, 2370–2376. [Google Scholar]
- Li, L.; Barry, D.A.; Pattiaratchi, C.B. Numerical Modelling of Tide-Induced Beach Water Table Fluctuations. Coast. Eng. 1997, 30, 105–123. [Google Scholar] [CrossRef]
- Liu, R.; Yuan, Y.; Fu, D.; Sun, G. Numerical Investigation to the Cyclic Loading Effect on Capacities of the Offshore Embedded Circular Foundation in Clay. Appl. Ocean Res. 2022, 119, 103022. [Google Scholar] [CrossRef]
- Chen, J.; Lin, C.; Liu, S.; Mo, H. Study on Supporting Structure Performance of Deep Soft Soil Foundation Pit near Sea under Waves, Tides, Vibration, and Unbalanced Loads. Adv. Civ. Eng. 2020, 2020, 1–18. [Google Scholar] [CrossRef]
- Hsieh, P.G.; Ou, C.Y. Shape of Ground Surface Settlement Profiles Caused by Excavation. Can. Geotech. J. 1998, 35, 1004–1017. [Google Scholar] [CrossRef]
- Samanta, M.; Bhowmik, R. 3D Numerical Analysis of Piled Raft Foundation in Stone Column Improved Soft Soil. Int. J. Geotech. Eng. 2019, 13, 474–483. [Google Scholar] [CrossRef]
- Gu, X.Q.; Wu, R.T.; Liang, F.Y.; Gao, G.Y. On HSS Model Parameters for Shanghai Soils with Engineering Verification. Rock Soil Mech. 2021, 42, 833–845. [Google Scholar]
- Cudny, M.; Truty, A. Refinement of the Hardening Soil Model within the Small Strain Range. Acta Geotech. 2020, 15, 2031–2051. [Google Scholar] [CrossRef]
- Clayton, C.R.I. Stiffness at Small Strain: Research and Practice. Geotechnique 2011, 61, 5–37. [Google Scholar] [CrossRef]
- Huang, X.; Schweiger, H.F.; Huang, H. Influence of Deep Excavations on Nearby Existing Tunnels. Int. J. Geomech. 2013, 13, 170–180. [Google Scholar] [CrossRef]
- Yin, J. Application of Hardening Soil Model with Small Strain Stiffness in Deep Foundation Pits in Shanghai. J. Geotech. Eng. 2010, 32, 166–172. [Google Scholar]
- Liu, R.; Basu, P.; Xiong, H. Laboratory Tests and Thermal Buckling Analysis for Pipes Buried in Bohai Soft Clay. Mar. Struct. 2015, 43, 44–60. [Google Scholar] [CrossRef]
- Liu, R.; Yan, S.; Wu, X. Model Test Studies on Soil Restraint to Pipeline Buriedin Bohai Soft Clay. J. Pipeline Syst. Eng. Pract. 2013, 4, 49–56. [Google Scholar] [CrossRef]














| Structure Type | Material Model | Elastic Modulus/MPa | Poisson’s Ratio | Permeability Coefficient m/d |
|---|---|---|---|---|
| Dike | Linear elasticity | 103 | 0.1 | 0 |
| Dike stone | Linear elasticity | 103 | 0.15 | 100 |
| Dry block stone | Linear elasticity | 103 | 0.2 | 100 |
| Two pieces of stone | Linear elasticity | 103 | 0.2 | 100 |
| Filter layer | Linear elasticity | 103 | 0.25 | 50 |
| Fence board | Linear elasticity | 103 | 0.25 | 100 |
| Masonry stone | Linear elasticity | 103 | 0.18 | 10−3 |
| C30 concrete | Linear elasticity | 103 | 0.2 | 0.026 10−3 |
| Confining Pressure /kPa | a /MPa−1 | /MPa | /MPa | /MPa | |
|---|---|---|---|---|---|
| 1 | 50 | 0.10 | 9.33 | 13.32 | 15.5 |
| 2 | 100 | 0.068 | 14.78 | 14.78 | |
| 3 | 150 | 0.047 | 21.32 | 16.40 | |
| 4 | 200 | 0.036 | 27.79 | 17.37 |
| Soil Type | Material Model | m | k | ||||||||||
|---|---|---|---|---|---|---|---|---|---|---|---|---|---|
| /(kN/m3) | /(kN/m3) | /MPa | /MPa | /MPa | /kPa | /° | /(m/d) | /MPa | |||||
| Dredging Fill | M–C | 18 | 20 | 50 | 2 | 32 | 0.3 | ||||||
| Silt | HSS | 15 | 15.4 | 3 | 3 | 10 | 0.75 | 11 | 9 | 0.810−3 | 16 | 210−4 | |
| Muddy soil | HSS | 16.5 | 16.8 | 3.5 | 3.5 | 14 | 0.7 | 16.4 | 10 | 3.310−3 | 20 | 10−4 | |
| Soft Soil HSS Model Parameters |
/Kpa | /° | /MPa | /MPa | |
|---|---|---|---|---|---|
| Zhuhai area (this test) | 11 | 9 | 3 | 16 | 2 × 10−4 |
| Yangtze River Delta Region (Shanghai) | 12 | 23.3 | 3.3 | 38.8 | 3.2 × 10−4 |
| Bohai rim (Tianjin) | 20 | 25 | 6 | 50 | 3.6 × 10−4 |
Disclaimer/Publisher’s Note: The statements, opinions and data contained in all publications are solely those of the individual author(s) and contributor(s) and not of MDPI and/or the editor(s). MDPI and/or the editor(s) disclaim responsibility for any injury to people or property resulting from any ideas, methods, instructions or products referred to in the content. |
© 2023 by the authors. Licensee MDPI, Basel, Switzerland. This article is an open access article distributed under the terms and conditions of the Creative Commons Attribution (CC BY) license (https://creativecommons.org/licenses/by/4.0/).
Share and Cite
Fu, X.; Li, J.; Liu, J.; Hu, Z.; Tang, C. Influence of Complex Hydraulic Environments on the Mechanical Properties of Pile-Soil Composite Foundation in the Coastal Soft Soil Area of Zhuhai. Buildings 2023, 13, 563. https://doi.org/10.3390/buildings13020563
Fu X, Li J, Liu J, Hu Z, Tang C. Influence of Complex Hydraulic Environments on the Mechanical Properties of Pile-Soil Composite Foundation in the Coastal Soft Soil Area of Zhuhai. Buildings. 2023; 13(2):563. https://doi.org/10.3390/buildings13020563
Chicago/Turabian StyleFu, Xiaohai, Jinze Li, Jiankun Liu, Zheng Hu, and Changyi Tang. 2023. "Influence of Complex Hydraulic Environments on the Mechanical Properties of Pile-Soil Composite Foundation in the Coastal Soft Soil Area of Zhuhai" Buildings 13, no. 2: 563. https://doi.org/10.3390/buildings13020563
APA StyleFu, X., Li, J., Liu, J., Hu, Z., & Tang, C. (2023). Influence of Complex Hydraulic Environments on the Mechanical Properties of Pile-Soil Composite Foundation in the Coastal Soft Soil Area of Zhuhai. Buildings, 13(2), 563. https://doi.org/10.3390/buildings13020563
