Laboratory and Field Testbed Evaluation of the Performance of Recycled Asphalt Mixture Using High-Penetration Asphalt
Abstract
1. Introduction
2. Materials and Methods
2.1. Materials
2.1.1. High-Penetration Asphalt Binder
2.1.2. Reclaimed Aggregates
2.1.3. Rejuvenator
2.2. Mixture Composition
2.2.1. Asphalt Binder Blending
2.2.2. Combined Aggregate Grading of the Target Mixtures
2.2.3. Computing the Mixing Proportion of Recycled Asphalt
2.2.4. Asphalt Mixture Laboratory Test
2.3. Performance Test
2.3.1. Hamburg Wheel Tracking Test
2.3.2. Crack Resistance Test
2.3.3. Dynamic Modulus Test
- and are the regression parameters,
- is the measured temp.
- is the defined temp.
- is the reference temp. (20 °C).
3. Field Test
3.1. Field Test Outline
3.2. Falling Weight Deflectometer Test
FWD Analysis
4. Laboratory Test Result
4.1. General Analysis
4.2. Performance Test Result
4.2.1. HWT Test
4.2.2. Crack Resistance Test
4.2.3. Dynamic Modulus Test Results
4.3. FWD Test Result
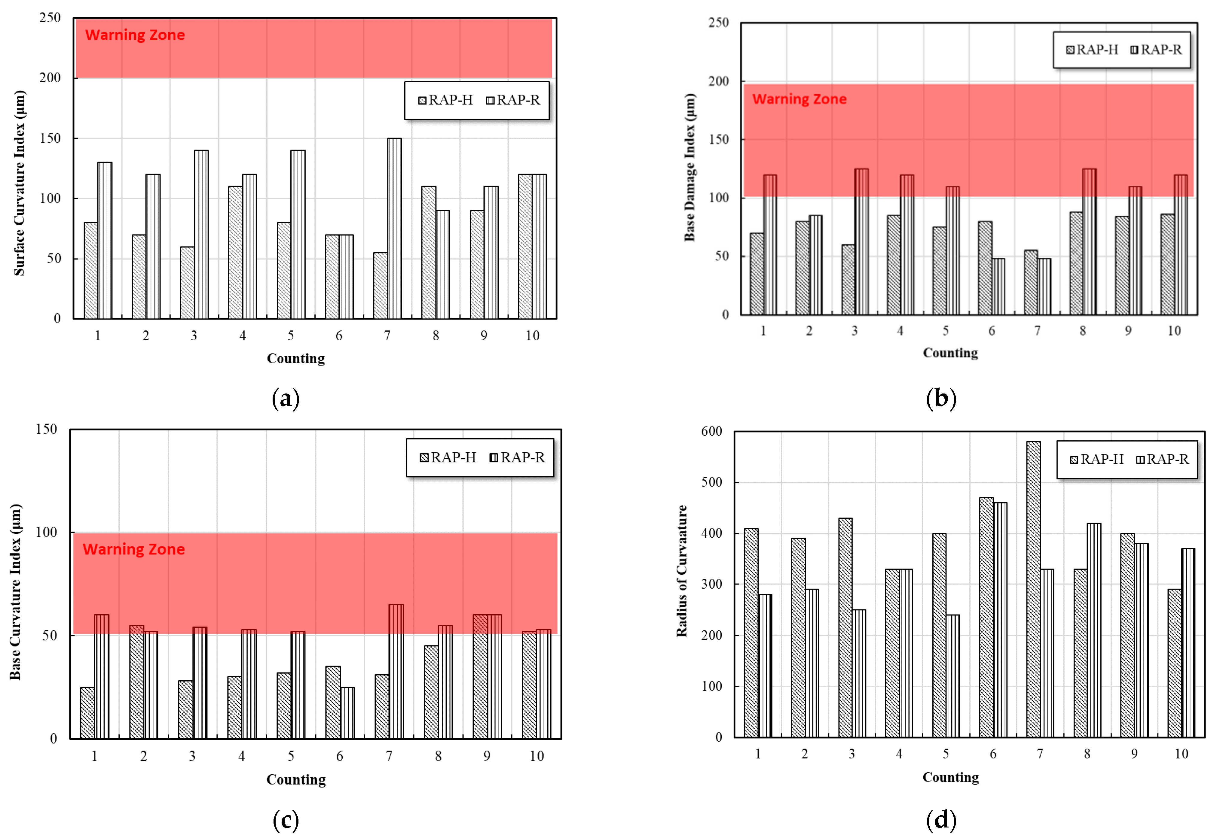
4.3.1. Deflection Basin Analysis (D0/AREA)
4.3.2. Layer Index Result
4.3.3. Back Calculation Result
5. Conclusions
- The laboratory test results showed that RAP-H satisfied South Korean quality standards for recycled asphalt pavement in terms of Marshall stability, flow, porosity, saturation, VMA, and VFA. Moreover, HPAB with relatively more maltenes and fewer asphaltenes presented effectiveness in dispersing existing asphaltenes in aged asphalt binder found in RAP, thus achieving a more stable and durable mixture;
- According to the Hamburg wheel tracking test results, the settlement of RAP-H was 16.2 mm after 20,000 loading cycles, which satisfied the settlement standard of the State Transportation Authority of the USA (20 mm or less). Regarding the fatigue test results, RAP-H satisfied the criteria by only showing a 0.5% difference from the conventional RAP-R;
- The results of the dynamic modulus test indicate that the dynamic modulus of RAP-H was higher than that of RAP-R. Especially, the dynamic modulus was highest in the low-speed traffic load range (from 2.5 to 5.0 Hz), showing excellent durability against wheel load. The usage of RAP mixture having high penetration asphalt may be more effective in intersection zone application;
- There were no difficulties during the construction of the surface layer paved by the RAP-H in the pilot test. According to the FWD test results, the application of RAP-H had affected the increment of the elastic modulus on overall asphalt concrete layers, showing an above-equal effect compared to asphalt concrete layers using RAP-R. It may be attributed to the incorporation of HPAB, which helps restore the performance of the aged asphalt binder by balancing its chemical components namely: maltenes and asphaltenes.
- In summary, the performance of RAP-H satisfied all of the domestic and international quality and performance standards. The field test results confirmed the possibility of field application by showing performance equivalent to or higher than conventional recycled asphalt pavement. However, the usage of high-penetration asphalt binders should be verified through additional curing and production conditions. There are considerable regional and national discrepancies in the preservation conditions of high-penetration asphalt (i.e., temperature). Accordingly, evaluating various characteristics of production and storage settings from various areas functioned as a sub-objective of future work. In addition, future studies need to include long-term monitoring and durability tests through various field applications before conducting large-scale construction in practice.
Author Contributions
Funding
Data Availability Statement
Acknowledgments
Conflicts of Interest
References
- Mandičák, T.; Spišáková, M.; Mésároš, P.; Kozlovská, M. Design of Economic Sustainability Supported by Enterprise Resource Planning Systems in Architecture, Engineering, and Construction. Buildings 2022, 12, 2241. [Google Scholar] [CrossRef]
- Yang, T.; Jia, Y.; Pan, Y.; Zhao, Y. Evaluation of the Low-Temperature Cracking Performance of Recycled Asphalt Mixture: A Development of Equivalent Fracture Temperature. Buildings 2022, 12, 1366. [Google Scholar] [CrossRef]
- Naser, M.; Abdel-Jaber, M.; Al-Shamayleh, R.; Ibrahim, R.; Louzi, N.; AlKhrissat, T. Improving the Mechanical Properties of Recycled Asphalt Pavement Mixtures Using Steel Slag and Silica Fume as a Filler. Buildings 2023, 13, 132. [Google Scholar] [CrossRef]
- Al-Mosawe, H.; Albayati, A.; Wang, Y.; Mashaan, N.S. An Experimental Study of Granular Material Using Recycled Concrete Waste for Pavement Roadbed Construction. Buildings 2022, 12, 1926. [Google Scholar] [CrossRef]
- Qabur, A.; Baaj, H.; El-Hakim, M. Incorporation of the Multi-Layer Plastic Packaging in the Asphalt Binders: Physical, Thermal, Rheological, and Storage Properties Evaluation. Polymers 2022, 14, 5396. [Google Scholar] [CrossRef]
- Hamid, A.; Baaj, H.; El-Hakim, M. Rutting Behaviour of Geopolymer and Styrene Butadiene Styrene-Modified Asphalt Binder. Polymers 2022, 14, 2780. [Google Scholar] [CrossRef]
- Wang, X.; Guo, H.; Yang, B.; Chang, X.; Wan, C.; Wang, Z. Aging Characteristics of Bitumen from Different Bituminous Pavement Structures in Service. Materials 2019, 12, 530. [Google Scholar] [CrossRef]
- Wu, S.-P.; Pang, L.; Mo, L.-T.; Chen, Y.-C.; Zhu, G.-J. Influence of Aging on the Evolution of Structure, Morphology and Rheology of Base and SBS Modified Bitumen. Constr. Build. Mater. 2009, 23, 1005–1010. [Google Scholar] [CrossRef]
- Federal Highway Administration (FHWA). Hot In-Place Recycling (Construction Methods and Equipment), US DOT Reports, Chapter 9; USA, 2015. [Google Scholar]
- Cooper, S.J. Asphalt Pavement Recycling with Reclaimed Asphalt Pavement (RAP). In Proceedings of the NWPMA, 18th Annual Fall Pavement Conference, Portland, OR, USA, 20 October 2011. [Google Scholar]
- Jin, D.; Ge, D.; Zhou, X.; You, Z. Asphalt Mixture with Scrap Tire Rubber and Nylon Fiber from Waste Tires: Laboratory Performance and Preliminary M-E Design Analysis. Buildings 2022, 12, 160. [Google Scholar] [CrossRef]
- Barraj, F.; Khatib, J.; Castro, A.; Elkordi, A. Effect of Chemical Warm Mix Additive on the Properties and Mechanical Performance of Recycled Asphalt Mixtures. Buildings 2022, 12, 874. [Google Scholar] [CrossRef]
- Gao, J.; Yao, Y.; Huang, J.; Yang, J.; Song, L.; Xu, J.; Lu, X. Effect of Hot Mixing Duration on Blending, Performance, and Environmental Impact of Central Plant Recycled Asphalt Mixture. Buildings 2022, 12, 1057. [Google Scholar] [CrossRef]
- Chen, X.; Wang, H. Life Cycle Assessment of Asphalt Pavement Recycling for Greenhouse Gas Emission with Temporal Aspect. J. Clean. Prod. 2018, 187, 148–157. [Google Scholar] [CrossRef]
- Leng, Z.; Sreeram, A.; Padhan, R.K.; Tan, Z. Value-Added Application of Waste PET Based Additives in Bituminous Mixtures Containing High Percentage of Reclaimed Asphalt Pavement (RAP). J. Clean. Prod. 2018, 196, 615–625. [Google Scholar] [CrossRef]
- Lee, S.; Park, J.J.; Cho, B.H. Management of Cavities under Flexible Pavement Road Network in Metropolitan Area: Detection, Evaluation, and Rehabilitation. Dev. Built Environ. 2022, 12, 100091. [Google Scholar] [CrossRef]
- Revilla-Cuesta, V.; Shi, J.-Y.; Skaf, M.; Ortega-López, V.; Manso, J.M. Non-Destructive Density-Corrected Estimation of the Elastic Modulus of Slag-Cement Self-Compacting Concrete Containing Recycled Aggregate. Dev. Built Environ. 2022, 12, 100097. [Google Scholar] [CrossRef]
- Baumgärtel, S.; Schweighofer, J.A.V.; Rohn, J.; Luo, J. The Performance of Geothermal Passive Heating and Cooling for Asphalt and Concrete Pavement. Dev. Built Environ. 2021, 7, 100051. [Google Scholar] [CrossRef]
- Dinh, B.H.; Park, D.W.; Le, T.H.M. Effect of Rejuvenators on the Crack Healing Performance of Recycled Asphalt Pavement by Induction Heating. Constr. Build. Mater. 2018, 164, 246–254. [Google Scholar] [CrossRef]
- Tam, A.B.; Park, D.W.; Le, T.H.M.; Kim, J.S. Evaluation on Fatigue Cracking Resistance of Fiber Grid Reinforced Asphalt Concrete with Reflection Cracking Rate Computation. Constr. Build. Mater. 2020, 239, 117873. [Google Scholar] [CrossRef]
- Xie, Z.; Rizvi, H.; Purdy, C.; Ali, A.; Mehta, Y. Effect of Rejuvenator Types and Mixing Procedures on Volumetric Properties of Asphalt Mixtures with 50% RAP. Constr. Build. Mater. 2019, 218, 457–464. [Google Scholar] [CrossRef]
- Monu, K.; Ransinchung, G.D.; Singh, S. Effect of Long-Term Ageing on Properties of RAP Inclusive WMA Mixes. Constr. Build. Mater. 2019, 206, 483–493. [Google Scholar] [CrossRef]
- Cooper, S.B.; Mohammad, L.N.; Elseifi, M.A. Laboratory Performance of Asphalt Mixtures Containing Recycled Asphalt Shingles. Transp. Res. Rec. 2014, 2445, 94–102. [Google Scholar] [CrossRef]
- Xiao, F.; Hou, X.; Amirkhanian, S.; Kim, K.W. Superpave Evaluation of Higher RAP Contents Using WMA Technologies. Constr. Build. Mater. 2016, 112, 1080–1087. [Google Scholar] [CrossRef]
- Rafiq, W.; Napiah, M.B.; Sutanto, M.H.; Alaloul, W.S.; Zabri, Z.N.B.; Khan, M.I.; Musarat, M.A. Investigation on Hamburg Wheel-Tracking Device Stripping Performance Properties of Recycled Hot-Mix Asphalt Mixtures. Materials 2020, 13, 4704. [Google Scholar] [CrossRef]
- MOLIT (Ministry of Land, Infrastructure & Transport). Quality Standard of Recycled Aggregate; Korean Standards Association: Seoul, Republic of Korea, 2017. [Google Scholar]
- Al-Qadi, I.L.; Qazi, A.; Carpenter, S.H. Impact of High RAP Content on Structural and Performance Properties of Asphalt Mixtures. FHWA-ICT-12-002. Res. Rep. 2012, 1–107. [Google Scholar]
- Schmidt, W.; Commeh, M.; Olonade, K.; Schiewer, G.L.; Dodoo-Arhin, D.; Dauda, R.; Fataei, S.; Tawiah, A.T.; Mohamed, F.; Thiedeitz, M.; et al. Sustainable Circular Value Chains: From Rural Waste to Feasible Urban Construction Materials Solutions. Dev. Built Environ. 2021, 6, 100047. [Google Scholar] [CrossRef]
- Zaumanis, M.; Mallick, R.B. Review of Very High-Content Reclaimed Asphalt Use in Plant-Produced Pavements: State of the Art. Int. J. Pavement Eng. 2015, 16, 39–55. [Google Scholar] [CrossRef]
- Liphardt, A.; Król, J.; Radziszewski, P. Influence of Polymer Modified Binder Content from RAP on Stone Mastic Asphalt Rutting Resistance. Procedia Eng. 2016, 153, 407–413. [Google Scholar] [CrossRef]
- Zhang, J.; Simate, G.S.; Hu, X.; Souliman, M.; Walubita, L.F. Impact of Recycled Asphalt Materials on Asphalt Binder Properties and Rutting and Cracking Performance of Plant-Produced Mixtures. Constr. Build. Mater. 2017, 155, 654–663. [Google Scholar] [CrossRef]
- Al-Qadi, I.L.; Elseifi, M.; Carpenter, S.H. Reclaimed Asphalt Pavement—A Literature Review; FHWA-ICT-07-001, ICT R27-11; Illinois Center for Transportation: Rantoul, IL, USA, 2007. [Google Scholar]
- Hamid, A.; Baaj, H.; El-Hakim, M. Temperature and Aging Effects on the Rheological Properties and Performance of Geopolymer-Modified Asphalt Binder and Mixtures. Materials 2023, 16, 1012. [Google Scholar] [CrossRef]
- KS M 2247; Absolute Viscosity Test Method of Asphalt. Korean Standards Association: Seoul, Republic of Korea, 2015.
- KS F 2502; Standard Test Method for Sieve Analysis of Aggregates. Korean Standards Association: Seoul, Republic of Korea, 2016.
- Ministry of Land, Infrastructure, Transport and Tourism. Asphalt Concrete Pavement Construction Guide; Korean Standards Association: Seoul, Republic of Korea, 2017. [Google Scholar]
- KS F 2337; Standard Test Method for Resistance to Plastic Flow of Bituminous Mixture Using Marshall Appratus. Korean Standards Association: Seoul, Republic of Korea, 2016.
- KS F2364; Test Method for Percent Air Voids in Compacted Dense and Open Bituminous Paving Mixture. Korean Standards Association: Seoul, Republic of Korea, 2016.
- KS F 2398; Test Method for Moisture Resistance of Asphalt Mixture. Korean Standards Association: Seoul, Republic of Korea, 2017.
- KS F 2382; Test Method for Indirect Tensile Strength of Asphalt Mixture. Korean Standards Association: Seoul, Republic of Korea, 2013.
- KSF 2374; Test Method for Dynamic Stability of Asphalt Mixture. Korean Standards Association: Seoul, Republic of Korea, 2017.
- KS F 2381; Test Method for Recovery of Asphalt from Solution by Abson. Korean Standards Association: Seoul, Republic of Korea, 2017.
- AASHTO T324; Standard Method of Test for Hamburg Wheel-Track Testing of Compacted Hot-Mix Asphalt (HMA). American Association of State Highway and Transportation Officials (AASHTO): Washington, DC, USA, 2014.
- Designation, T. Overlay Test (Tex-248-F); Texas Department of Transportation: Austin, TX, USA, 2009. [Google Scholar]
- AASHTO T342-11; Standard Method of Test for Determining Dynamic Modulus of Hot-Mix Asphalt Concrete Mixtures. Stand. Specif. Transp. Mater. Methods Sampl. Test.: Washington, DC, USA, 2011.
- ASTM4694-96; Standard Test Method for Deflections with a Falling Weight-Type Impulse Load Device. ASTM International: West Conshohocken, PA, USA, 1996.
- Dynatest FWD/HWD Test Systems, Owner’s Man. Version 2.3.6; FL, USA, 2007.
- Lai, J.C.; Liu, J.; Huang, C.W. The Application of Frequency-Temperature Superposition Principle for Back-Calculation of Falling Weight Deflectometer. Appl. Sci. 2020, 10, 132. [Google Scholar] [CrossRef]
- Elseifi, M.A.; Abdel-Khalek, A.M.; Gaspard, K.; Zhang, Z.; Ismail, S. Evaluation of Continuous Deflection Testing Using the Rolling Wheel Deflectometer in Louisiana. J. Transp. Eng. 2012, 138, 414–422. [Google Scholar] [CrossRef]
- Talvik, O.; Aavik, A. Use of FWD Deflection Basin Parameters (SCI, BDI, BCI) for Pavement Condition Assessment. Balt. J. Road Bridg. Eng. 2009, 4, 196–202. [Google Scholar] [CrossRef]
- Using Falling Weight Deflectometer Data with Mechanistic-Empirical Design and Analysis; FHWA-HRT-16-009; Federal Highway Administration: Washington, DC, USA, 2017; Volume 1.
- Horak, E.; Emery, S.; Maina, J. Review of Falling Weight Deflectometer Deflection Benchmark Analysis on Roads and Airfields. In Proceedings of the 11th Conference on Asphalt Pavements for Southern Africa, Sun City, South Africa, 16–19 August 2015; pp. 16–19. [Google Scholar]

















| Properties | Characteristic | ||
|---|---|---|---|
| HPAB | AP-5 | ||
| Unaged | Viscosity (60 °C, Poise) | 700 | 2286 |
| Penetration (25 °C, 0.1 mm) | 147 | 71 | |
| Softening Point (°C) | 42.6 | 46.1 | |
| RTFO | G*/sinδ at 58 °C (kPa) | 1.148 | 1.348 |
| PAV | Creep stiffness at −12 °C (MPa) | 229 | 144.07 |
| Creep rate m-value at −12 °C | 0.321 | 0.413 | |
| PG | 58–28 | 64–22 | |
| Saturate | Aromatic | Resin | Asphaltene | |
|---|---|---|---|---|
| HPAB | 4.98 | 53.52 | 21.62 | 19.88 |
| AP-5 | 4.26 | 43.76 | 22.53 | 29.45 |
| Item | Old Asphalt Content (%) | Absolute Viscosity (Poise) |
|---|---|---|
| Reclaimed aggregate | 4.24 | 34,754 |
| Reclaimed Aggregate Old Asphalt Content (%) | Recycled Aggregate Asphalt Viscosity (Poise) | High-Penetration Asphalt Binder Viscosity (Poise) | Asphalt Binder Ratio (%) | Target Viscosity (Poise) | |
|---|---|---|---|---|---|
| Old | HPAB | ||||
| 4.24 | 34,754 | 700 | 26 | 74 | 2156 |
| Percent Passing (%) | |||||||||
|---|---|---|---|---|---|---|---|---|---|
| Sieve size (mm) | 20 | 13.2 | 9.5 | 4.75 | 2.36 | 0.60 | 0.30 | 0.15 | 0.08 |
| Combined gradation | 100 | 99.7 | 92.1 | 84.3 | 61.3 | 32.8 | 24.3 | 12.1 | 6.36 |
| Mix Type | Aggregate (%) | Asphalt Binder (%) | Filler | Total (%) | ||
|---|---|---|---|---|---|---|
| Recycled | New | Old + HPAB | Old + AP-5 | |||
| RAP-H | 29.5 | 62.5 | 4.6 | - | 3.4 | 100 |
| RAP-R | - | 4.6 | ||||
| Test Item | Test Method (Korea Standard, KS) | Standard Value (Korea Standard, KS) |
|---|---|---|
| Stability (N) | KS F 2337 [37] | Over 5000 |
| Flow (1/100 cm) | KS F 2337 [37] | 20~40 |
| Air void (%) | KS F 2364 [38] | 3~6 |
| Voids Filled with Asphalt (%) | - | 65~80 |
| Voids in Mineral Aggregate (%) | - | Over 14.0 |
| Tensile Strength Ratio | KS F 2398 [39] | Over 0.75 |
| Indirect Tensile Strength (N/mm2) | KS F 2382 [40] | Over 0.80 |
| Toughness (N.mm) | KS F 2382 [40] | Over 8000 |
| Dynamic stability | KS F 2374 [41] | Over 750 |
| After viscosity (Poise) | KS F 2381 [42], KS M2247 [34] | Under 5000 |
| Curvature Index (μm) | |||||
|---|---|---|---|---|---|
| Structural Condition | Maximum | RoC | SCI | BDI | BCI |
| Sound | Lower than 500 | Lower than 100 | Lower than 200 | Lower than 100 | Lower than 50 |
| Warning | 500750 | 50100 | 200400 | 100200 | 50100 |
| Severe | Higher than 750 | Higher than 50 | Higher than 400 | Higher than 200 | Higher than 100 |
| Test Item | Characteristic | Standard Value [34,37,38,39,40,41,42] | |
|---|---|---|---|
| RAP-H | RAP-R | ||
| Stability (N) | 10,580 | 14,044 | Over 7500 |
| Flow (1/100 cm) | 36 | 35 | 20~40 |
| Air void (%) | 3.8 | 4.1 | 3~6 |
| Voids filled with asphalt (%) | 76.1 | 77 | 65~80 |
| Voids in mineral aggregate (%) | 14.7 | 17.7 | Over 14.0 |
| Tensile strength ratio | 0.84 | 0.78 | Over 0.75 |
| Indirect tensile strength (N/mm2) | 1.52 | 1.4 | Over 0.80 |
| Toughness (N.mm) | 16,315 | 14,790 | Over 8000 |
| Dynamic stability (cycle/mm) | 1983 | 2.831 | Over 750 |
| Final viscosity (Poise) | 4350 | 4122 | Under 5000 |
| Mix Type | Number of Cycles | Reduction in Load (%) |
|---|---|---|
| RAP-H | 1000 | 76.1 |
| RAP-R | 1000 | 75.6 |
Disclaimer/Publisher’s Note: The statements, opinions and data contained in all publications are solely those of the individual author(s) and contributor(s) and not of MDPI and/or the editor(s). MDPI and/or the editor(s) disclaim responsibility for any injury to people or property resulting from any ideas, methods, instructions or products referred to in the content. |
© 2023 by the authors. Licensee MDPI, Basel, Switzerland. This article is an open access article distributed under the terms and conditions of the Creative Commons Attribution (CC BY) license (https://creativecommons.org/licenses/by/4.0/).
Share and Cite
Lee, S.-Y.; Kim, Y.-M.; Le, T.H.M. Laboratory and Field Testbed Evaluation of the Performance of Recycled Asphalt Mixture Using High-Penetration Asphalt. Buildings 2023, 13, 529. https://doi.org/10.3390/buildings13020529
Lee S-Y, Kim Y-M, Le THM. Laboratory and Field Testbed Evaluation of the Performance of Recycled Asphalt Mixture Using High-Penetration Asphalt. Buildings. 2023; 13(2):529. https://doi.org/10.3390/buildings13020529
Chicago/Turabian StyleLee, Sang-Yum, Young-Min Kim, and Tri Ho Minh Le. 2023. "Laboratory and Field Testbed Evaluation of the Performance of Recycled Asphalt Mixture Using High-Penetration Asphalt" Buildings 13, no. 2: 529. https://doi.org/10.3390/buildings13020529
APA StyleLee, S.-Y., Kim, Y.-M., & Le, T. H. M. (2023). Laboratory and Field Testbed Evaluation of the Performance of Recycled Asphalt Mixture Using High-Penetration Asphalt. Buildings, 13(2), 529. https://doi.org/10.3390/buildings13020529

