Studying the Compressed Mechanical Characteristics of a Novel Carbon-Free Plaster Using ANSYS Software
Abstract
1. Introduction
2. Advantages and Disadvantages of Divergent Types of Plasters and Their Applications
2.1. Ordinary Cement Plaster
2.1.1. Cracking
2.1.2. Moisture Damage
2.1.3. Structural Issues
2.1.4. Poor Adhesion
2.1.5. Efflorescence
2.1.6. Mechanical Properties
2.1.7. Adhesion Issues
2.1.8. Uneven Texture
2.1.9. Limited Design Options
2.1.10. Time-Consuming Application Process
2.2. Eco-Friendly Cement Plaster
2.2.1. Type of Green Cement
2.2.2. Applications
2.2.3. Eco-Friendly Cement Plaster in the Literature
2.3. Thermoplastic
3. Methodology
3.1. Preparation of Specimens
3.2. Specimen Dimensions
3.3. Compression Test
3.4. The ANSYS Program
3.5. Emission Test
4. Results and Discussion
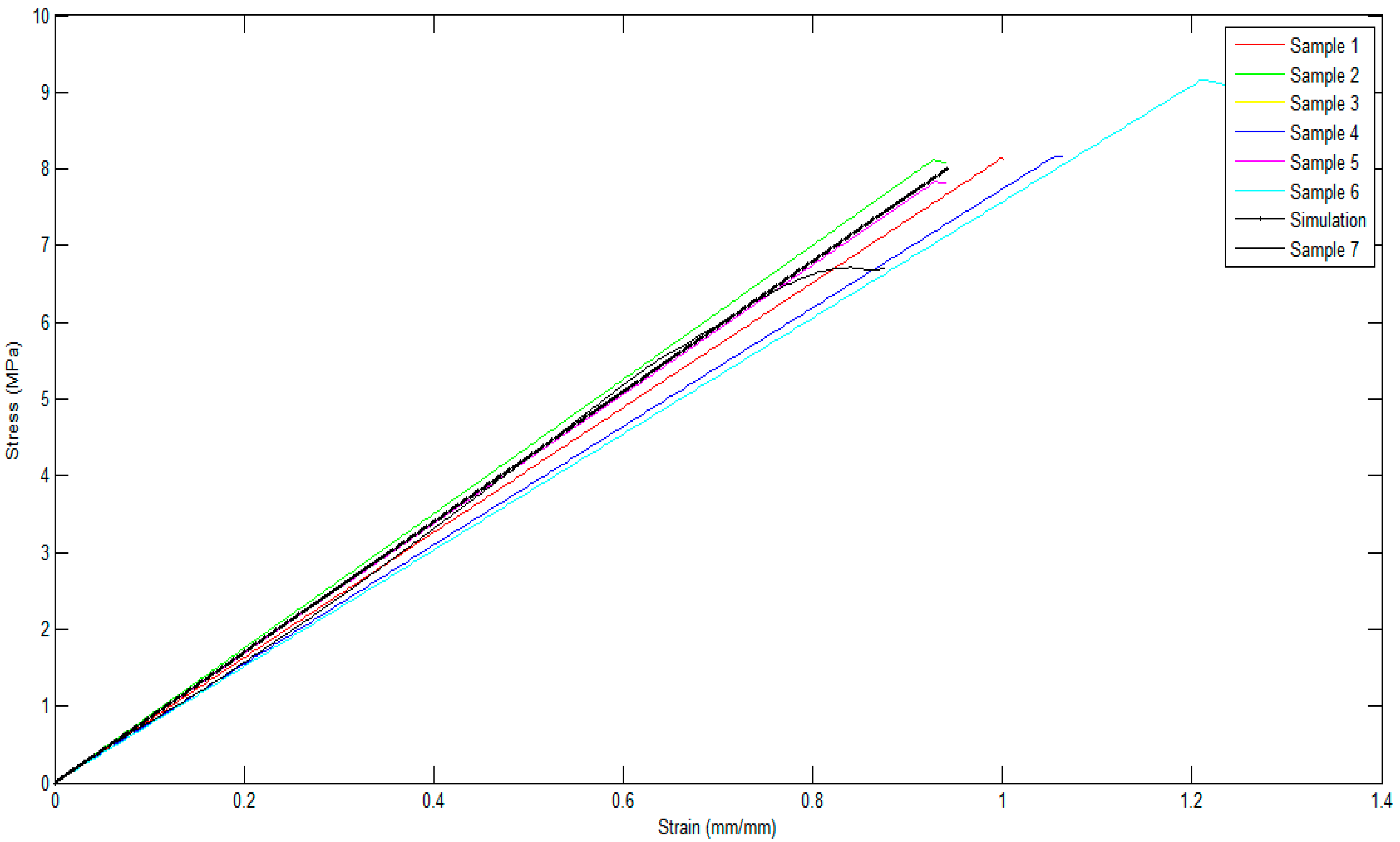
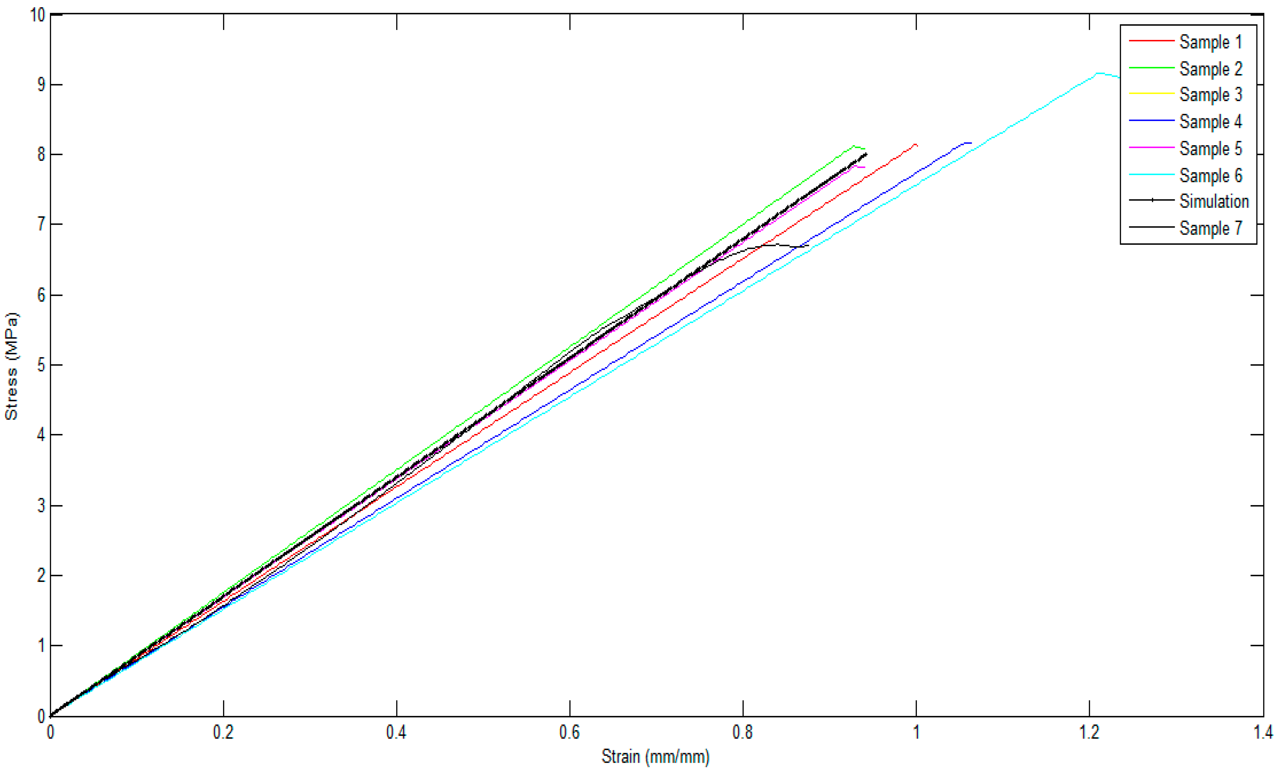
4.1. Compression Stress Results
- Yield Strength (0.98 MPa): This is the amount of stress at which a material begins to deform plastically. It represents the point at which the material no longer returns to its original shape after the applied stress is removed. It is typically measured in megapascals (MPa).
- Ultimate Strength (6.72 MPa): This is the maximum stress that a material can withstand without breaking. It is also known as the tensile strength and is measured in megapascals (MPa).
- Modulus of Elasticity (560 MPa): This property, often denoted as Young’s Modulus, measures a material’s stiffness or its ability to deform elastically under an applied load. It quantifies the relationship between stress and strain in the elastic region of a material. It is measured in megapascals (MPa).
- Stiffness (16.17 N/m2): Stiffness is a measure of how resistant a material is to deformation when subjected to an external force. It is typically measured in newtons per square meter (N/m2), which is equivalent to pascals (Pa).
- Toughness (0.04 J/m2): Toughness quantifies a material’s ability to absorb energy before fracturing. It is the amount of energy per unit volume (joules per square meter, J/m2) a material can absorb before breaking.
- Poisson’s Ratio (0.0018): Poisson’s ratio is a dimensionless number that describes the ratio of lateral contraction (negative strain) to axial extension (positive strain) when a material is stretched or compressed. It is used to understand a material’s response to deformation.
- Comprehensive Capabilities: ANSYS offers a wide range of tools and capabilities for simulating various physical phenomena, including structural, thermal, fluid dynamics, and electromagnetic simulations. This versatility makes it suitable for a broad spectrum of engineering and scientific applications.
- Accuracy and Reliability: ANSYS is known for its accuracy and reliability in predicting the real-world behaviors of materials and structures. It is capable of providing highly accurate results, which is crucial in research, development, and validation.
- Wide User Base: Many engineers, scientists, and researchers are trained in ANSYS, which fosters collaboration and ease of use in academic and industrial settings.
- Customization: ANSYS allows for customization and parameterization of simulations, making it possible to tailor the software to specific research needs.
- Validation and Comparison: ANSYS enables researchers to validate their simulations by comparing the results with experimental data. This validation process helps ensure the accuracy and reliability of the simulated outcomes, enhancing the trustworthiness of research findings.




- Starting Points: Look at where each curve begins. Some samples may exhibit stress at very low strains (near 0), indicating initial stiffness. Others might start at slightly higher strains, suggesting some initial deformation under minimal load.
- Slope: Examine the steepness of each curve. A steeper slope indicates a material’s ability to withstand stress while undergoing relatively minimal deformation, which may be an indicator of higher stiffness.
- Peak Stress: Identify the points where the stress reaches its maximum value on each curve. Note that the stress varies by strain, and this peak value is an indicator of the maximum load the material can withstand before failure.
- Post-Peak Behavior: Observe how stress changes after reaching its peak value. Some materials may exhibit a sudden drop in stress after the peak (brittle behavior), while others may gradually decrease stress (ductile behavior).
4.2. Emission Test Results
| Time | CO2 (ppm) | SO2 (ppm) | NO2 (ppm) |
|---|---|---|---|
| 0–5 min | 0 | 2 | 1 |
| 10–15 min | 0 | 3 | 2 |
| 25–30 min | 0 | 4 | 3 |

- Established Limits and Regulations: In environmental science and regulations, there are established limits and guidelines for emissions of various pollutants, including SO2. These limits are set to ensure that emissions do not reach levels that are harmful to the environment or human health. If the measured SO2 emissions fall within these established limits, they can be considered environmentally friendly because they comply with regulatory standards.
- Context of Emissions: The context in which the emissions occur matters. In some cases, minor emissions of certain pollutants, like SO2, can be considered acceptable if they are related to a process or material that contributes to significant environmental benefits. For example, if the plaster is used in a construction context that significantly reduces carbon emissions (as indicated by “achieving zero carbon emissions” in the text), then the relatively small increase in SO2 emissions might be outweighed by the overall positive environmental impact.
- Net Environmental Benefit: The term “environmentally friendly” is not solely based on the absence of emissions but on a net assessment of the environmental impact. If the use of this plaster leads to a significant reduction in greenhouse gas emissions, improved sustainability, and health benefits (e.g., improved indoor air quality), it can be considered environmentally friendly in a broader context.
- Future Potential: The text also suggests that this plaster is a “promising choice for the future of construction”. This implies that the material may be part of a larger sustainability and environmental improvement strategy, and the increase in SO2 emissions may be a relatively small trade-off for the greater environmental benefits it offers.
- Instrumentation: A gas analyzer, which is a specialized instrument designed for the measurement and analysis of gases in the air, was employed for this purpose. Gas analyzers are capable of detecting and quantifying specific gases, such as CO2, SO2, and NO2, in parts per million (ppm) or other relevant units.
- Sampling Period: The measurement duration was 30 min. During this period, the gas analyzer continuously monitored and recorded the concentrations of the specified gases.
- Recording Pattern: The recording pattern was structured as follows: The gas analyzer recorded data for 5 min and then had a 10 min period where no data was recorded. This pattern was likely repeated throughout the 30 min measurement period.
- Data Analysis: The data collected using the gas analyzer was analyzed to determine the concentrations of CO2, SO2, and NO2 in parts per million (ppm) during different time intervals. The specific time intervals mentioned in the text were 0 to 5 min, 10 to 15 min, and 25 to 30 min.
- Comparison: The concentrations of these gases, especially SO2, were compared over the specified time intervals. As mentioned in the text, the concentration of SO2 was found to be higher than that of CO2 and NO2 during these intervals, which indicates the increase in SO2 emissions when the eco-friendly plaster was tested.
5. Conclusions
Author Contributions
Funding
Data Availability Statement
Acknowledgments
Conflicts of Interest
Correction Statement
References
- Akhter, J.S.; Ahmad, A.; Sharma, R.K.; Singh, R.; Mohd, A. Polymers/graphenederivative–based nanocomposites as electrode materials for supercapacitors. In Advances in Electronic Materials for Clean Energy Conversion and Storage Applications; Woodhead Publishing: Sawston, UK, 2023; pp. 451–474. [Google Scholar]
- Gharpedia.Com. 2023. Available online: https://gharpedia.com/blog/cement-plaster/ (accessed on 14 May 2023).
- Delorme, V.A.; Tran, H.T. Towards Low Carbon Buildings. Master’s Thesis, Lund University, Lund, Sweden, 2023. [Google Scholar]
- Khan, M.B.; Shafiq, N.; Waqar, A.; Imran, M. Production of Biochar from Waste Biomass Feedstock and Its Applications in Sustainable Construction. J. Xi’an Shiyou Univ. Nat. Sci. Ed. 2023, 19, 662–690. [Google Scholar]
- Valente, M.; Sambucci, M.; Sibai, A. Geopolymers vs. cement matrix materials: How nanofiller can help a sustainability approach for smart construction applications—A review. Nanomaterials 2021, 11, 2007. [Google Scholar] [CrossRef]
- Stevulova, N.; Vaclavik, V.; Hospodarova, V.; Dvorský, T. Recycled Cellulose Fiber Reinforced Plaster. Materials 2021, 14, 2986. [Google Scholar] [CrossRef] [PubMed]
- Cabeza, L.F.; Rincón, L.; Vilariño, V.; Pérez, G.; Castell, A. Life cycle assessment (LCA) and life cycle energy analysis (LCEA) of buildings and the building sector: A review. Renew. Sustain. Energy Rev. 2014, 29, 394–416. [Google Scholar] [CrossRef]
- Wang, D.; Xiao, J.; Duan, Z. Strategies to accelerate CO2 sequestration of cement-based materials and their application prospects. Constr. Build. Mater. 2022, 314, 125646. [Google Scholar] [CrossRef]
- Filho, A.S.; Parveen, S.; Rana, S.; Vanderlei, R.; Fangueiro, R. Micro-structure and mechanical properties of microcrystalline cellulose-sisal fiber reinforced cementitious composites developed using cetyltrimethylammonium bromide as the dispersing agent. Cellulose 2021, 28, 1663–1686. [Google Scholar] [CrossRef]
- Fujiyama, R.; Darwish, F.; Pereira, M.V. Mechanical characterization of sisal reinforced cement mortar. Theor. Appl. Mech. Lett. 2014, 4, 061002. [Google Scholar] [CrossRef]
- Chakraborty, S.; Kundu, S.P.; Roy, A.; Basak, R.K.; Adhikari, B.; Majumder, S.B. Improvement of the mechanical properties of jute fibre reinforced cement mortar: A statistical approach. Constr. Build. Mater. 2013, 38, 776–784. [Google Scholar] [CrossRef]
- Otitoju, T.A.; Okoye, P.U.; Chen, G.; Li, Y.; Okoye, M.O.; Li, S. Advanced ceramic components: Materials, fabrication, and applications. J. Ind. Eng. Chem. 2020, 85, 34–65. [Google Scholar] [CrossRef]
- Chitte, C.J.; Sonawane, Y.N. Study on causes and prevention of cracks in building. Int. J. Res. Appl. Sci. Eng. Technol. 2018, 6, 453–461. [Google Scholar] [CrossRef]
- Kolawole, J.T.; Olalusi, O.B.; Orimogunje, A.J. Adhesive bond potential of compressed stabilised earth brick. Structures 2020, 23, 812–820. [Google Scholar] [CrossRef]
- Fobbe, N.; Goetz-Neunhoeffer, F.; Foerthner, S.; Foerster, H.; Jansen, D. Drying of gypsum plaster prisms: Prevention of visible sodium sulfate efflorescence through calcium formate addition. Mater. Struct. 2023, 56, 125. [Google Scholar] [CrossRef]
- Danish, A.; Salim, M.U.; Ahmed, T. Trends and developments in green cement “A sustainable approach”. Sustain. Struct. Mater. Int. J. 2019, 2, 45–60. [Google Scholar]
- Arachchi, K.K.; Selvaratnam, A.; Gamage, J.C.P.H.; De Silva, G.I.P. Green composite plaster with modified morphology for enhanced thermal comfort in buildings. Case Stud. Constr. Mater. 2021, 15, e00611. [Google Scholar]
- Sivakrishna, A.; Adesina, A.; Awoyera, P.O.; Kumar, K.R. Green concrete: A review of recent developments. Mater. Today Proc. 2020, 27, 54–58. [Google Scholar] [CrossRef]
- Sandanayake, M.; Gunasekara, C.; Law, D.; Zhang, G.; Setunge, S.; Wanijuru, D. Sustainable criterion selection framework for green building materials–An optimisation based study of fly-ash Geopolymer concrete. Sustain. Mater. Technol. 2020, 25, e00178. [Google Scholar] [CrossRef]
- Sakthieswaran, N.; Sophia, M. Prosopis juliflora fibre reinforced green building plaster materials—An eco-friendly weed control technique by effective utilization. Environ. Technol. Innov. 2020, 20, 101158. [Google Scholar]
- González Sánchez, B.; Navarro Ezquerra, A.; Ramírez-Casas, J.; Rosell Amigó, J.R. Traditional gypsum pavements with natural aditives. In Proceedings of the ICBBM 2021: 4th International Conference on Bio-based Building Materials, Barcelona, Spain, 16–18 June 2021; International Union of Laboratories and Experts in Construction Materials, Systems and Structures (RILEM): Bagneux, France; pp. 452–458. [Google Scholar]
- Qu, S.S.; Chen, Y.; Lv, Y. Centrifuge shaking table tests on a friction pendulum bearing isolated structure with a pile foundation in soft soil. Earthq. Struct. 2022, 23, 517–526. [Google Scholar]
- Jamieson, E.; McLellan, B.; van Riessen, A.; Nikraz, H. Comparison of embodied energies of Ordinary Portland Cement with Bayer-derived geopolymer products. J. Clean. Prod. 2015, 99, 112–118. [Google Scholar] [CrossRef]
- ASTM C109; Standard Test Method for Compressive Strength of Hydraulic Cement Mortars. ASTM International: West Conshohocken, PA, USA, 2020.
- Chen, H.; Alamnie, M.M.; Barbieri, D.M.; Zhang, X.; Liu, G.; Hoff, I. Comparative study of indirect tensile test and uniaxial compression test on asphalt mixtures: Dynamic modulus and stress-strain state. Constr. Build. Mater. 2023, 366, 130187. [Google Scholar] [CrossRef]
- Pakawan, T.; Puttapitukporn, T.; Atthi, N.; Sripumkhai, W.; Pattamang, P.; Klunngien, N.; Jeamsaksiri, W. Compressive behaviors of micropillar sheets made of PDMS material using the finite element method. Eng. J. 2020, 24, 73–84. [Google Scholar] [CrossRef]

| Advantages | Disadvantages |
|---|---|
| Smooth finish | Susceptibility to chipping and cracking over time |
| Simplicity of use | Being not recommended for locations with a lot of moisture |
| The ability to be painted or decorated after drying | The need to be professionally installed |
| Resistance to damage from fire and water | Application may take some time, especially for huge areas |
| Advantages | Disadvantages |
|---|---|
| It reduces carbon dioxide emissions by releasing up to 80% less carbon dioxide during manufacture since it requires less heat. | The split tensile strength of green cement is lower than that of regular cement. |
| It uses industrial waste that may require many acres of land to dispose of, such as fly ash, silica fumes, and final boiler products. Thus, it prevents land from turning into a landfill and finally being destroyed. | It is necessary to conduct a thorough life cycle analysis of green cement taking into account many characteristics to comprehend the cement’s final features. |
| Advantages | Disadvantages |
|---|---|
| Smooth finish | Being prone to cracking and chipping over time |
| Simplicity of use | Being not suitable for areas with high moisture levels |
| The ability to be painted or decorated after drying | The need for professional installation |
| Resistance to fire and water damage | It is time-consuming to apply, especially for larger areas |
| Yield strength | 0.98 | MPa |
| Ultimate strength | 6.72 | MPa |
| Modulus of elasticity | 560 | MPa |
| Stiffness | 16.17 | N/m2 |
| Toughness | 0.04 | J/m2 |
| Poisson’s ratio | 0.0018 | - |
Disclaimer/Publisher’s Note: The statements, opinions and data contained in all publications are solely those of the individual author(s) and contributor(s) and not of MDPI and/or the editor(s). MDPI and/or the editor(s) disclaim responsibility for any injury to people or property resulting from any ideas, methods, instructions or products referred to in the content. |
© 2023 by the authors. Licensee MDPI, Basel, Switzerland. This article is an open access article distributed under the terms and conditions of the Creative Commons Attribution (CC BY) license (https://creativecommons.org/licenses/by/4.0/).
Share and Cite
Albadrani, M.A.; Almutairi, A.D. Studying the Compressed Mechanical Characteristics of a Novel Carbon-Free Plaster Using ANSYS Software. Buildings 2023, 13, 2871. https://doi.org/10.3390/buildings13112871
Albadrani MA, Almutairi AD. Studying the Compressed Mechanical Characteristics of a Novel Carbon-Free Plaster Using ANSYS Software. Buildings. 2023; 13(11):2871. https://doi.org/10.3390/buildings13112871
Chicago/Turabian StyleAlbadrani, Mohammed Aqeel, and Ahmed D. Almutairi. 2023. "Studying the Compressed Mechanical Characteristics of a Novel Carbon-Free Plaster Using ANSYS Software" Buildings 13, no. 11: 2871. https://doi.org/10.3390/buildings13112871
APA StyleAlbadrani, M. A., & Almutairi, A. D. (2023). Studying the Compressed Mechanical Characteristics of a Novel Carbon-Free Plaster Using ANSYS Software. Buildings, 13(11), 2871. https://doi.org/10.3390/buildings13112871

