Hygrothermal Assessment of Insulation Systems for Internal Insulation of Solid Masonry Walls under Various Conditions
Abstract
:1. Introduction
- Investigating the impact of dynamic outdoor climate on the internal insulation of solid masonry walls in a controlled environment
- Testing selected insulation systems and comparing them in the same boundary conditions
- Eliminating the impact of various bricks with heterogenous properties by applying commercially produced bricks
- Experimenting with internally insulated masonry walls with U-value as similar as possible (only limited by the material installation specifics)
- Eliminating the impact of external plaster by not applying it
- Assessing the effect of installation quality on the hygrothermal performance of the wall (various vapor barriers, adhesive glue)
- Using bio-based insulation materials.
2. Materials and Methods
2.1. Material Characterization
2.2. Experimental Setup and Testing Procedures
- Hot-box chamber temperature +20 °C, relative humidity 50%.
- old-box chamber temperature at the steady state conditions +10 °C and relative humidity 50%. For dynamic cycles, temperature and relative humidity followed outdoor daily fluctuations in May (see Figure 4). Wind-driven rain was 0.278 l/m2 s (5 min every day) and solar radiation 300 W/m2 (8 h per day)
2.3. Numerical Simulation
3. Results and Discussion
3.1. Steady-State Conditions
- The first test round
- The second test round
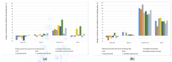
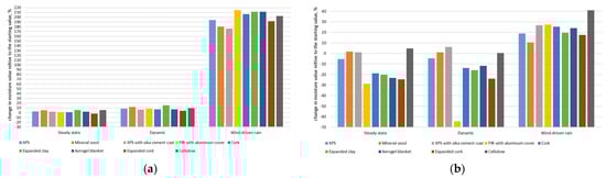
- Changes in absolute humidity under the insulation materials
3.2. Unsteady State Conditions
3.2.1. Dynamic Cycle
3.2.2. Wind-Driven Rain
- The second test round
3.2.3. Dry Dynamic Cycle with Heating
4. Conclusions
- Internal insulation significantly impacts the hygrothermal behavior of masonry walls, leading to elevated relative humidity levels between insulation layers and an increased risk of frost damage and decay in embedded wooden components.
- Tested insulation systems show similar thermal performance but distinct moisture performance, with temperature under insulation closely correlating with the insulation system’s thermal conductivity.
- The time lag for heat waves to propagate from the inner surface to the outer surface varies among insulation systems and depends on boundary conditions, particularly the temperature differential between indoor and outdoor environments. The temperature decrement factor also varies and correlates positively with vapor diffusion resistance.
- Relative humidity beneath insulation is influenced by outdoor temperature fluctuations and indoor relative humidity changes. In systems with low vapor diffusion resistance, relative humidity tracks indoor humidity, while high-resistance systems are primarily influenced by outdoor temperature.
- Under conditions of indoor humidity stability and outdoor temperature oscillation, vapor-open systems with low vapor diffusion resistance align their relative humidity behavior with temperature profiles. Vapor-tight systems exhibit reduced relative humidity amplitudes as vapor diffusion resistance decreases.
- When both indoor relative humidity and outdoor temperatures oscillate, vapor-open systems with low vapor diffusion resistance resemble indoor humidity profiles more closely.
- Wind-driven rain exacerbates relative humidity increase under insulation systems, with the impact being greater in materials with higher vapor diffusion resistance.
- Vapor-open materials such as cork, expanded cork, and high-density fiberboard, even without vapor barriers, behave similarly to vapor-tight systems, being less sensitive to indoor relative humidity changes and more sensitive to outdoor temperature oscillations.
- Longer test periods or mathematical model simulations based on short-term data are needed to detect and understand moisture accumulation effects on temperature and relative humidity under insulation.
- Achieving accurate simulation results requires precise input data, including material properties such as insulation and mortar, which should closely match real-world values. The choice of brick type is also crucial, as different bricks with similar absorption coefficients can yield different results.
- Internal insulation projects should be approached on a case-specific basis, considering various material parameters that can be challenging to determine, especially vapor and capillary conductivity as functions of moisture content. Detailed planning is essential to account for case-specific variables in hygrothermal simulations.
Author Contributions
Funding
Conflicts of Interest
Appendix A
| No. | Insulation Material | Insulation Type | Mounting Mechanism/Glue | Vapor Barrier | Plaster Material | Type of Thermal Insulation System | Properties of Insulation Material Used in the Insulation System | ||||||
|---|---|---|---|---|---|---|---|---|---|---|---|---|---|
| δ, m | λ, W/mK | Rλ, m2K/W | U, W/m2K | μ | Sd, m | MBV Tested | |||||||
| 1. | Planing chips plates | Organic plants/animal-derived | Glue | No | No | Vapor-open non capillary active | 0.05 | 0.066 | 0.76 | 1.08 | n/a | n/a | Yes |
| 2. | Mineral wool | Inorganic mineral-derived | Carcass | Yes | Gypsum plaster | Vapor-tight (vapor-open with vapor barrier) | 0.05 | 0.042 | 1.19 | 0.74 | 1 | 0.05 | Yes |
| 3. | PIR with gypsum board (indoors) and vapor-resistant paper (outdoors) | Organic fossil fuel-derived | Polyurethane glue | Embedded in material | Plasterboard embedded in the material | Vapor-tight | 0.03 | 0.023 | 1.30 | 0.68 | 6400 | 256 * | Yes |
| 4. | High density woodfiber | Organic plants/animal-derived | Clay plaster Two layers were glued with clay plaster to achieve similar U value to other woodfiber-based materials. | No | Special clay plaster | Vapor-open capillary active | 0.044 | 0.048 | 0.92 | 0.92 | 5 | 0.22 | Yes |
| 5. | Average density woodfiber | Organic plants/animal-derived | clay plaster | No | Special clay plaster | Vapor-open capillary active | 0.04 | 0.038 | 1.05 | 0.82 | 5 | 0.20 | Yes |
| 6. | Low density woodfiber | Organic plants/animal-derived | clay plaster | No | Special clay plaster | Vapor-open capillary active | 0.05 | 0.038 | 1.32 | 0.67 | 2 | 0.10 | Yes |
| 7. | Expanded perlite | Inorganic mineral-derived | Special glue for expanded perlite | No | Gypsum plaster | Vapor-open capillary active | 0.05 | 0.045 | 1.11 | 0.78 | 5 | 0.25 | Yes |
| 8. | VIP | Innovative | Polyurethane glue and carcass | No | Gypsum plaster | Vapor-tight | 0.02 | 0.007 | 2.86 | 0.33 | n/a | n/a | No |
| 9. | XPS with the surface layer of Sika cement and a glass fibef net | Organic fossil fuel-derived | No | Gypsum plaster | Vapor-tight | 0.02 | 0.035 | 0.57 | 1.75 | 133 | 2.66 | Yes | |
| 10. | Rock wool | Inorganic mineral-derived | No | Gypsum plaster | Vapor-open non capillary active | 0.05 | 0.045 | 1.11 | 0.9 | 1 | 0.05 | Yes | |
| 11. | XPS | Organic fossil fuel-derived | No | Gypsum plaster | Vapor-tight | 0.05 | 0.035 | 1.43 | 0.7 | 133 | 6.65 | Yes | |
| 12. | Expanded clay | Inorganic mineral-derived | Loose fill | No | Gypsum plaster | Vapor-open | 0.05 | 0.07 | 0.71 | 1.4 | 2 | 0.1 | Yes |
| 13. | Cork | Organic plants/animal-derived | No | Gypsum plaster | Vapor-open non capillary active | 0.045 | 0.04 | 1.13 | 0.89 | 10 | 0.45 | No | |
| 14. | Expanded cork | Organic plants/animal-derived | No | Gypsum plaster | Vapour-open non capillary active | 0.05 | 0.04 | 1.25 | 0.8 | 10 | 0.5 | No | |
| 15. | PIR with aluminum cover on both sides | Organic fossil fuel-derived | No | Gypsum plaster | Vapor tight | 0.03 | 0.023 | 1.3 | 0.77 | ∞ | 99 | No | |
| 16. | Cellulose | Organic plants/animal-derived | Loose fill | No | Gypsum plaster | Vapor-open capillary active | 0.05 | 0.036 | 1.39 | 0.72 | 2 | 0.1 | Yes |
| 17. | Aerogel blanket | Innovative | No | Gypsum plaster | Vapor-open non capillary active | 0.016 | 0.02 | 0.8 | 1.25 | 5 | 0.08 | No | |
| Material | Brick | Mortar | High Density Woodfiber | Low Eensity Woodfiber | Average Eensity Woodfiber | Planing Chips Plate | Expanded Perlite | PIR with Gypsum Board and Vapor-Resistant Paper | Clay Plaster for Woodfiber |
|---|---|---|---|---|---|---|---|---|---|
| Name of the material in the DELPHIN database | Old Building Brick Rote Kaserne Potsdam (inner brick 2) | Lime cement mortar | Wood Fiber Board | Wood Fiber Board indoor | Wood Fiber Insulation Board | Wood Wool Cement Board | TecTem Insulation Board Indoor 50 + 60 mm | Polyurethane boards | Light Clay Mortar |
| Density of the material, kg/m3 | 2049 | 1878 | 300 | 119 | 161 | 180 | 100 | 35 | 900 |
| Porosity, m3/m3 | 0.227 | 0.291 | 0.420 | 0.923 | 0.893 | 0.931 | 0.962 | 0.949 | 0.470 |
| Water vapor diffusion resistance factor | 19.0 | 36.9 | 5.0 | 1.1 | 3.4 | 4.9 | 8.0 | 100 | 30.0 |
| Specific heat capacity of dry material, J/kg∙K | 847 | 758 | 1880 | 1000 | 1662 | 1470 | 1640 | 1500 | 1000 |
| Thermal conductivity, W/m∙K | 0.861 | 0.803 | 0.050 | 0.040 | 0.039 | 0.060 | 0.046 | 0.028 | 0.230 |
| Effective saturation (long term process), m3/m3 | 0.240 | 0.223 | 0.400 | 0.590 | 0.550 | 0.340 | 0.0770 | 0.949 | 0.450 |
| Water uptake coefficient, kg/m2s0.5 | 0.3359 | 0.0360852 | 0.0674 | 0.00503591 | 0.00288593 | 0.0089 | 1.9809 | 1 × 10−7 | 0.00367 |
| Brick | Bulk Density ρ, kg/m3 | Specific Heat Capacity c, J/kg∙K | Thermal Conductivity λdry | Total Porosity Opor, m3/m3 | Capillary Saturation Ocap, m3/m3 | Dry Cup Value μdry | Water Uptake AW, kg/m2s0.5 |
|---|---|---|---|---|---|---|---|
| Lode | 2081.3 | 671 | 0.8809 | 0.1888 | 0.1492 | 24.04 | 0.0946 |
| Old Building Brick Rote Kaserne Potsdam (inner brick 2) | 2049 | 847 | 0.861 | 0.227 | 0.24 | 19 | 0.3359 |
| Difference, % | +1.6% | −26.2% | +2.3% | −20.2% | −60.9% | +21.0% | −255.1% |



References
- Calvin, K.; Lee, H.; Dasgupta, D. IPCC, 2023: Climate Change 2023: Synthesis Report. Contribution of Working Groups I, II and III to the Sixth Assessment Report of the Intergovernmental Panel on Climate Change. Proceedings of the Intergovernmental Panel on Climate Change (IPCC), Geneva, Switzerland, 13–19 March 2023; Core Writing Team, Lee, H., Romero, J., Eds.; IPCC: Geneva, Switzerland, 2023. [Google Scholar] [CrossRef]
- Tracking Clean Energy Progress 2023—Analysis. IEA. Available online: https://www.iea.org/reports/tracking-clean-energy-progress-2023 (accessed on 6 September 2023).
- Laaroussi, Y.; Bahrar, M.; Zavrl, E.; El Mankibi, M.; Stritih, U. New qualitative approach based on data analysis of European building stock and retrofit market. Sustain. Cities Soc. 2020, 63, 102452. [Google Scholar] [CrossRef]
- Vereecken, E.; Roels, S. A comparison of the hygric performance of interior insulation systems: A hot box–cold box experiment. Energy Build. 2014, 80, 37–44. [Google Scholar] [CrossRef]
- De Mets, T.; Tilmans, A.; Loncour, X. Hygrothermal assessment of internal insulation systems of brick walls through numerical simulation and full-scale laboratory testing. Energy Procedia 2017, 132, 753–758. [Google Scholar] [CrossRef]
- Cornet: In2eurobuild–Consistent European Guidelines for Internal Insulation of Building Stock and HeritaGE. Available online: https://wufi.de/de/wp-content/uploads/sites/9/In2EuroBuild_Guideline-II_Internal-Insulation.pdf (accessed on 6 September 2023).
- Bottino-Leone, D.; Larcher, M.; Herrera-Avellanosa, D.; Haas, F.; Troi, A. Evaluation of natural-based internal insulation systems in historic buildings through a holistic approach. Energy 2019, 181, 521–531. [Google Scholar] [CrossRef]
- Johansson, P.; Geving, S.; Hagentoft, C.E.; Jelle, B.P.; Rognvik, E.; Kalagasidis, A.S.; Time, B. Interior insulation retrofit of a historical brick wall using vacuum insulation panels: Hygrothermal numerical simulations and laboratory investigations. Build. Environ. 2014, 79, 31–45. [Google Scholar] [CrossRef]
- Straube, J.; Schumacher, C. Interior Insulation Retrofits of Load-Bearing Masonry Walls in Cold Climates. J. Green Build. 2007, 2, 42–50. [Google Scholar] [CrossRef]
- Morelli, M.; Svendsen, S. Investigation of interior post-insulated masonry walls with wooden beam ends. J. Build. Phys. 2013, 36, 265–293. [Google Scholar] [CrossRef]
- Nielsen, A.; Møller, E.B.; Rasmussen, T.V.; Jan de Place, E. Use of sensitivity analysis to evaluate hygrothermal conditions in solid brick walls with interior insulation. In Proceedings of the 5th International Building Physics Conference (IBPC), Kyoto, Japan, 28–31 May 2012; pp. 377–384. [Google Scholar]
- Morelli, M.; Scheffler, G.; Nielsen, T.; Svendsen, S. Internal Insulation of Masonry Walls with Wooden Floor Beams in Northern Humid Climate. In Proceedings of the Thermal Performance of the Exterior Envelopes of Whole Buildings XI, Clearwater Beach, FL, USA, 5 December 2010. [Google Scholar]
- Zhao, J.; Grunewald, J.; Ruisinger, U.; Feng, S. Evaluation of capillary-active mineral insulation systems for interior retrofit solution. Build. Environ. 2017, 115, 215–227. [Google Scholar] [CrossRef]
- Freudenberg, P.; Ruisinger, U.; Stöcker, E.; Roles, S.; Feldt Jensen, N.; Odgaard, T.; Otiv, P.; Capener, C.-M.; Lång, L.; Peuhkuri, R.; et al. Robust Internal Thermal Insulation of Historic Buildings Title of the Deliverable: 637268 Robust Internal Thermal Insulation of Historic Buildings RIBuild D3.1 Closed Technology Loop of Laboratory Experiments and Simulation Models in the Field of Internal Insulation Testing Contractual Date of Delivery to the CEC: 31.12.2017 Actual Date of Delivery to the CEC: Organisation Name of Lead Contractor for this Deliverable: TUD Work Package Contributing to the Deliverable: WP3 Nature: R Version: 2.0.; European Commission: Brussels, Belgium, 2018. [Google Scholar]
- Vereecken, E.; Roels, S. Capillary active interior insulation: Do the advantages really offset potential disadvantages? Mater. Struct. 2015, 48, 3009–3021. [Google Scholar] [CrossRef]
- Vereecken, E.; Roels, S. Wooden beam ends in combination with interior insulation: The importance of an airtight sealing. Energy Procedia 2017, 132, 664–669. [Google Scholar] [CrossRef]
- Hansen, T.K.; Bjarløv, S.P.; Peuhkuri, R.H.; Harrestrup, M. Long term in situ measurements of hygrothermal conditions at critical points in four cases of internally insulated historic solid masonry walls. Energy Build. 2018, 172, 235–248. [Google Scholar] [CrossRef]
- Vereecken, E.; Van Gelder, L.; Janssen, H.; Roels, S. Interior insulation for wall retrofitting—A probabilistic analysis of energy savings and hygrothermal risks. Energy Build. 2015, 89, 231–244. [Google Scholar] [CrossRef]
- Blumberga, A.; Freimanis, R.; Biseniece, E.; Kamenders, A. Hygrothermal Performance Evaluation of Internally Insulated Historic Stone Building in a Cold Climate. Energies 2023, 16, 866. [Google Scholar] [CrossRef]
- Biseniece, E.; Freimanis, R.; Purvins, R.; Gravelsins, A.; Pumpurs, A.; Blumberga, A. Study of Hygrothermal Processes in External Walls with Internal Insulation. Environ. Clim. Technol. 2018, 22, 22–41. [Google Scholar] [CrossRef]
- Biseniece, E.; Žogla, G.; Kamenders, A.; Purviņš, R.; Kašs, K.; Vanaga, R.; Blumberga, A. Thermal performance of internally insulated historic brick building in cold climate: A long term case study. Energy Build. 2017, 152, 577–586. [Google Scholar] [CrossRef]
- Klõšeiko, P.; Arumägi, E.; Kalamees, T. Hygrothermal performance of internally insulated brick wall in cold climate: A case study in a historical school building. J. Build. Phys. 2015, 38, 444–464. [Google Scholar] [CrossRef]
- Grunewald, J.; Ruisinger, U.; Häupl, P. The Rijksmuseum Amsterdam—Hygrothermal analysis and dimensioning of thermal insulation. In Proceedings of the 3rd International Conference in Building Physics–Research in Building Physics and Building Engineering, Montreal, QC, Canada, 27–31 August 2006; pp. 345–352. [Google Scholar]
- Scheffler, G.; Grunewald, J. Material development and optimisation supported by numerical simulation for a capillary-active inside insulation material. In Research in Building Physics; CRC Press: Boca Raton, FL, USA, 2003; pp. 77–85. [Google Scholar]
- Vereecken, E.; Roels, S. Capillary Active Interior Insulation Systems for Wall Retrofitting: A More Nuanced Story. Int. J. Archit. Herit. 2016, 10, 558–569. [Google Scholar] [CrossRef]
- Odgaard, T.; Bjarløv, S.P.; Rode, C. Influence of hydrophobation and deliberate thermal bridge on hygrothermal conditions of internally insulated historic solid masonry walls with built-in wood. Energy Build. 2018, 173, 530–546. [Google Scholar] [CrossRef]
- Scheffler, G.A. Hygric performance of internal insulation with light-weight autoclaved aerated concrete. In Proceedings of the 5th International Conference on Autoclaved Aerated Concrete, Bydgoszcz, Poland, 14–17 September 2011. [Google Scholar]
- Bourbia, S.; Kazeoui, H.; Belarbi, R. A review on recent research on bio-based building materials and their applications. Mater. Renew. Sustain. Energy 2023, 12, 117–139. [Google Scholar] [CrossRef]
- Fino, R.; Tadeu, A.; Simões, N. Influence of a period of wet weather on the heat transfer across a wall covered with uncoated medium density expanded cork. Energy Build. 2018, 165, 118–131. [Google Scholar] [CrossRef]
- Romano, A.; Bras, A.; Grammatikos, S.; Shaw, A.; Riley, M. Dynamic behaviour of bio-based and recycled materials for indoor environmental comfort. Constr. Build. Mater. 2019, 211, 730–743. [Google Scholar] [CrossRef]
- Kreiger, B.K.; Srubar, W.V. Moisture buffering in buildings: A review of experimental and numerical methods. Energy Build. 2019, 202, 109394. [Google Scholar] [CrossRef]
- Klõšeiko, P.; Kalamees, T. Hygrothermal performance of a brick wall with interior insulation in cold climate: Vapour open versus vapour tight approach. J. Build. Phys. 2022, 46, 3–35. [Google Scholar] [CrossRef]
- Antolinc, D.; Černe, K.; Jagličić, Z. Risk of Using Capillary Active Interior Insulation in a Cold Climate. Energies 2021, 14, 6890. [Google Scholar] [CrossRef]
- Jensen, N.F.; Odgaard, T.R.; Bjarløv, S.P.; Andersen, B.; Rode, C.; Møller, E.B. Hygrothermal assessment of diffusion open insulation systems for interior retrofitting of solid masonry walls. Build. Environ. 2020, 182, 107011. [Google Scholar] [CrossRef]
- RIBuild_D1.2_1.0.pdf. Available online: https://static1.squarespace.com/static/5e8c2889b5462512e400d1e2/t/5e9db814e1ea8b0e935c76d2/1587394584525/RIBuild_D1.2_1.0.pdf (accessed on 20 September 2020).
- Latvijas Vides, Ģeoloģijas un Meteoroloģijas Centrs. Available online: https://videscentrs.lv (accessed on 6 September 2023).





























Disclaimer/Publisher’s Note: The statements, opinions and data contained in all publications are solely those of the individual author(s) and contributor(s) and not of MDPI and/or the editor(s). MDPI and/or the editor(s) disclaim responsibility for any injury to people or property resulting from any ideas, methods, instructions or products referred to in the content. |
© 2023 by the authors. Licensee MDPI, Basel, Switzerland. This article is an open access article distributed under the terms and conditions of the Creative Commons Attribution (CC BY) license (https://creativecommons.org/licenses/by/4.0/).
Share and Cite
Freimanis, R.; Vanaga, R.; Balodis, V.; Zundans, Z.; Blumberga, A. Hygrothermal Assessment of Insulation Systems for Internal Insulation of Solid Masonry Walls under Various Conditions. Buildings 2023, 13, 2511. https://doi.org/10.3390/buildings13102511
Freimanis R, Vanaga R, Balodis V, Zundans Z, Blumberga A. Hygrothermal Assessment of Insulation Systems for Internal Insulation of Solid Masonry Walls under Various Conditions. Buildings. 2023; 13(10):2511. https://doi.org/10.3390/buildings13102511
Chicago/Turabian StyleFreimanis, Ritvars, Ruta Vanaga, Viesturs Balodis, Zigmars Zundans, and Andra Blumberga. 2023. "Hygrothermal Assessment of Insulation Systems for Internal Insulation of Solid Masonry Walls under Various Conditions" Buildings 13, no. 10: 2511. https://doi.org/10.3390/buildings13102511
APA StyleFreimanis, R., Vanaga, R., Balodis, V., Zundans, Z., & Blumberga, A. (2023). Hygrothermal Assessment of Insulation Systems for Internal Insulation of Solid Masonry Walls under Various Conditions. Buildings, 13(10), 2511. https://doi.org/10.3390/buildings13102511

