Passive Auto-Tactile Heuristic (PATH) Tiles: Novel Robot-Inclusive Tactile Paving Hazard Alert System
Abstract
1. Introduction
1.1. Advantages of Tactile Sensing Usage by Robots
1.2. Existing Tactile Paving System for Visually Impaired/Blind People
1.3. Modifying Ground Tactile Indicators as Hazard Warning System for Robots
- The usage of modified ground tactile markers used as an advanced hazard warning system for mobile robots, known as Passive Auto-Tactile Heuristic (PATH) tile system.
- A designed low-cost Tactile Sensor Module (TSM) made to detect such tactile cues.
- A customized graph neural network (GNN) framework made for robots to robustly interpret the tiles and for informing the robot about the hazards ahead.
2. Materials and Methods
2.1. Passive Auto-Tactile Heuristic (PATH) Tiles
2.2. Design of a Tactile Sensor Module for PATH Tile Classification
2.3. Graph Neural Network PATH Tile Classification Framework
2.4. Experimental Setup
3. Results
4. Discussion
5. Conclusions
Author Contributions
Funding
Data Availability Statement
Conflicts of Interest
Abbreviations
- The following abbreviations are used in this manuscript:
| PATH | Passive Auto-Tactile Heuristic |
| TSM | Tactile Sensing Module |
| GNN | Graph Neural Network |
| SLAM | Simultaneous Localization And Mapping |
| GPS | Global Positioning System |
| VIB | Visually impaired or blind |
| GCN | Graph Convolutional Network |
| GAT | Graph Attention Network |
| CHEB | Chebyshev Graph Convolutional Network |
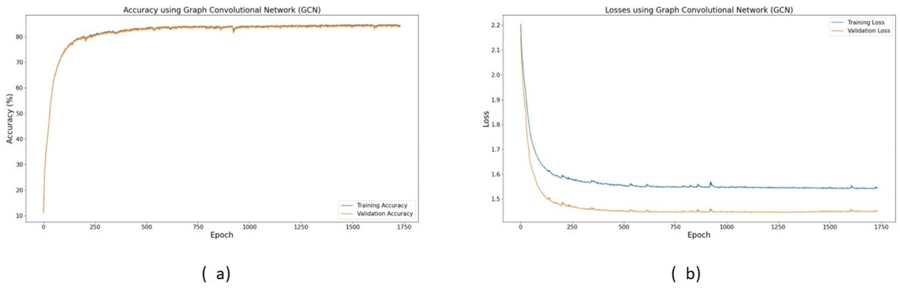
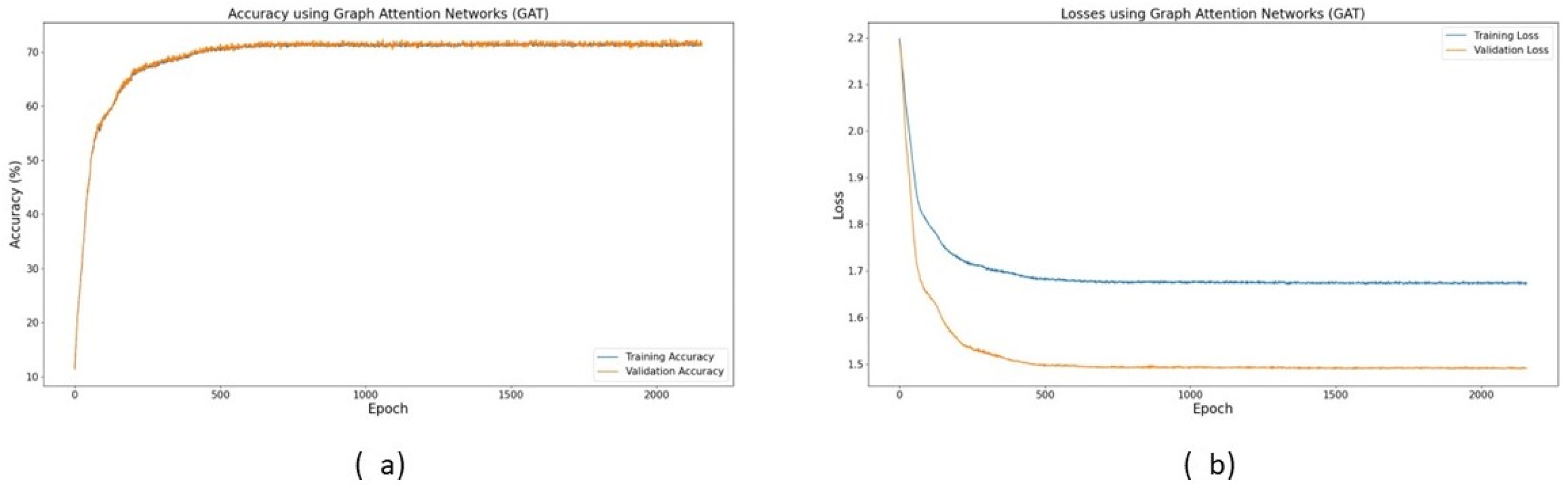
Appendix A. Accuracy and Loss Curves for GNN Models



Appendix B. Confusion Matrices for GNN Models

Appendix C. Detailed Results of PATH Tile Runs
| Run No. | Detection Results after Blister PATH Tile Implementation | Run No. | Detection Results after Guidance PATH Tile Implementation |
|---|---|---|---|
| 1 | ✓ | 1 | ✓ |
| 2 | ✓ | 2 | Detected as ‘0.5 m distance’ tile |
| 3 | Detected as ‘2 m distance’ tile | 3 | ✓ |
| 4 | ✓ | 4 | ✓ |
| 5 | Detected as ‘level change’ tile | 5 | ✓ |
| 6 | ✓ | 6 | ✓ |
| 7 | ✓ | 7 | Detected as ‘level change’ tile |
| 8 | ✓ | 8 | ✓ |
| 9 | Detected as ‘static obstacles’ tile | 9 | ✓ |
| 10 | Detected as ‘2 m distance’ tile | 10 | ✓ |
| 11 | ✓ | 11 | ✓ |
| 12 | ✓ | 12 | ✓ |
| 13 | Detected as ‘level change’ tile | 13 | |
| 14 | ✓ | 14 | ✓ |
| 15 | ✓ | 15 | ✓ |
| 16 | ✓ | 16 | Detected as ‘2 m distance’ tile |
| 17 | Detected as ‘1 m distance’ tile | 17 | ✓ |
| 18 | ✓ | 18 | ✓ |
| 19 | ✓ | 19 | ✓ |
| 20 | Detected as ‘level change’ tile | 20 | ✓ |
| 21 | ✓ | 21 | ✓ |
| 22 | ✓ | 22 | Detected as ‘2 m distance’ tile |
| 23 | ✓ | 23 | Detected as ‘null’ tile |
| 24 | ✓ | 24 | ✓ |
| 25 | Detected as ‘2 m distance’ tile | 25 | ✓ |
| 26 | ✓ | 26 | ✓ |
| 27 | Detected as ‘null’ tile | 27 | ✓ |
| 28 | ✓ | 28 | Detected as ‘level change’ tile |
| 29 | Detected as ‘level change’ tile | 29 | ✓ |
| 30 | ✓ | 30 | Detected as ‘static obstacle’ tile |
References
- Ciupe, V.; Maniu, I. New trends in service robotics. In New Trends in Medical and Service Robots: Theory and Integrated Applications; Springer: Berlin/Heidelberg, Germany, 2014; pp. 57–74. [Google Scholar]
- Hajduk, M.; Koukolová, L. Trends in industrial and service robot application. Appl. Mech. Mater. 2015, 791, 161–165. [Google Scholar] [CrossRef]
- Sun, Y.; Wang, R. The research framework and evolution of service robots. J. Comput. Inf. Syst. 2022, 62, 598–608. [Google Scholar] [CrossRef]
- Trevelyan, J.; Hamel, W.R.; Kang, S.C. Robotics in hazardous applications. In Springer Handbook of Robotics; Springer: Berlin/Heidelberg, Germany, 2016; pp. 1521–1548. [Google Scholar]
- Pey, J.J.J.; Povendhan, A.P.; Pathmakumar, T.; Elara, M.R. Robot-aided Microbial Density Estimation and Mapping. In Proceedings of the 2022 IEEE/RSJ International Conference on Intelligent Robots and Systems (IROS), Kyoto, Japan, 23–27 October 2022; pp. 2265–2272. [Google Scholar]
- Wirtz, J.; Kunz, W.; Paluch, S. The service revolution, intelligent automation and service robots. Eur. Bus. Rev. 2021, 29, 909. [Google Scholar]
- Yörük, T.; Akar, N.; Özmen, N.V. Research trends on guest experience with service robots in the hospitality industry: A bibliometric analysis. Eur. J. Innov. Manag. 2023; ahead of print. [Google Scholar]
- Shukla, M.; Shukla, A.N. Growth of robotics industry early in 21st century. Int. J. Comput. Eng. Res. 2012, 2, 1554–1558. [Google Scholar]
- Qureshi, M.O.; Syed, R.S. The impact of robotics on employment and motivation of employees in the service sector, with special reference to health care. Saf. Health Work. 2014, 5, 198–202. [Google Scholar] [CrossRef]
- Yang, J.; Wang, C.; Jiang, B.; Song, H.; Meng, Q. Visual perception enabled industry intelligence: State of the art, challenges and prospects. IEEE Trans. Ind. Informatics 2020, 17, 2204–2219. [Google Scholar] [CrossRef]
- Hua, C. A Review of Visual Perception for Mobile Robot Navigation: Methods, Limitation, and Applications. In Proceedings of the 2022 2nd International Conference on Algorithms, High Performance Computing and Artificial Intelligence (AHPCAI), Guangzhou, China, 21–23 October 2022; pp. 729–737. [Google Scholar]
- Morar, A.; Moldoveanu, A.; Mocanu, I.; Moldoveanu, F.; Radoi, I.E.; Asavei, V.; Gradinaru, A.; Butean, A. A comprehensive survey of indoor localization methods based on computer vision. Sensors 2020, 20, 2641. [Google Scholar] [CrossRef]
- Dey, S.; Mukherjee, A. Robotic slam: A review from fog computing and mobile edge computing perspective. In Proceedings of the Adjunct Proceedings of the 13th International Conference on Mobile and Ubiquitous Systems: Computing Networking and Services, Hiroshima, Japan, 28 November–1 December 2016; pp. 153–158. [Google Scholar]
- Filliat, D.; Meyer, J.A. Map-based navigation in mobile robots:: I. a review of localization strategies. Cogn. Syst. Res. 2003, 4, 243–282. [Google Scholar] [CrossRef]
- Lim, H.; Lee, Y.S. Real-time single camera SLAM using fiducial markers. In Proceedings of the 2009 ICCAS-SICE, Fukuoka City, Japan, 18–21 August 2009; pp. 177–182. [Google Scholar]
- Figat, J.; Kasprzak, W. NAO-mark vs QR-code Recognition by NAO Robot Vision. In Progress in Automation, Robotics and Measuring Techniques; Springer: Berlin/Heidelberg, Germany, 2015; pp. 55–64. [Google Scholar]
- Shen, L.; Stopher, P.R. Review of GPS travel survey and GPS data-processing methods. Transp. Rev. 2014, 34, 316–334. [Google Scholar] [CrossRef]
- Panchpor, A.A.; Shue, S.; Conrad, J.M. A survey of methods for mobile robot localization and mapping in dynamic indoor environments. In Proceedings of the 2018 Conference on Signal Processing And Communication Engineering Systems (SPACES), Vijayawada, India, 4–5 January 2018; pp. 138–144. [Google Scholar]
- Skrzypczyński, P. Mobile robot localization: Where we are and what are the challenges? In Automation 2017: Innovations in Automation, Robotics and Measurement Techniques 1; Springer: Berlin/Heidelberg, Germany, 2017; pp. 249–267. [Google Scholar]
- Hernández, A.C.; Gómez, C.; Crespo, J.; Barber, R. Object detection applied to indoor environments for mobile robot navigation. Sensors 2016, 16, 1180. [Google Scholar] [CrossRef]
- Argall, B.D.; Billard, A.G. A survey of Tactile Human–Robot Interactions. Robot. Auton. Syst. 2010, 58, 1159–1176. [Google Scholar] [CrossRef]
- Luo, S.; Bimbo, J.; Dahiya, R.; Liu, H. Robotic tactile perception of object properties: A review. Mechatronics 2017, 48, 54–67. [Google Scholar] [CrossRef]
- Lee, M.H.; Nicholls, H.R. Review Article Tactile sensing for mechatronics—A state of the art survey. Mechatronics 1999, 9, 1–31. [Google Scholar] [CrossRef]
- Lee, J.T.; Bollegala, D.; Luo, S. “Touching to see” and “seeing to feel”: Robotic cross-modal sensory data generation for visual-tactile perception. In Proceedings of the 2019 International Conference on Robotics and Automation (ICRA), Montreal, QC, Canada, 20–24 May 2019; pp. 4276–4282. [Google Scholar]
- Alatise, M.B.; Hancke, G.P. A Review on Challenges of Autonomous Mobile Robot and Sensor Fusion Methods. IEEE Access 2020, 8, 39830–39846. [Google Scholar] [CrossRef]
- Taddeucci, D.; Laschi, C.; Lazzarini, R.; Magni, R.; Dario, P.; Starita, A. An approach to integrated tactile perception. In Proceedings of the International Conference on Robotics and Automation, Albuquerque, NM, USA, 20–25 April 1997; Volume 4, pp. 3100–3105. [Google Scholar]
- Nicholls, H.R.; Lee, M.H. A survey of robot tactile sensing technology. Int. J. Robot. Res. 1989, 8, 3–30. [Google Scholar] [CrossRef]
- Dargahi, J.; Najarian, S. Advances in tactile sensors design/manufacturing and its impact on robotics applications—A review. Ind. Robot. Int. J. 2005, 32, 268–281. [Google Scholar] [CrossRef]
- Lee, M.H. Tactile sensing: New directions, new challenges. Int. J. Robot. Res. 2000, 19, 636–643. [Google Scholar] [CrossRef]
- Dahiya, R.S.; Valle, M.; Postolache, O.; Pereira, J.M.D. Tactile sensing for robotic applications. Sens. Focus Tactile Force Stress Sens. 2008, 298–304. [Google Scholar]
- Chi, C.; Sun, X.; Xue, N.; Li, T.; Liu, C. Recent progress in technologies for tactile sensors. Sensors 2018, 18, 948. [Google Scholar] [CrossRef]
- Zou, L.; Ge, C.; Wang, Z.J.; Cretu, E.; Li, X. Novel tactile sensor technology and smart tactile sensing systems: A review. Sensors 2017, 17, 2653. [Google Scholar] [CrossRef]
- Rosa, M.P.; de Mello, G.S.; Morato, S. Tactile paving surfaces at bus stops. J. Access. Des. All 2021, 11, 259–294. [Google Scholar]
- Sakaguchi, R.; Takasu, S.; Akiyama, T. Study concerning the colours of tactile blocks for the visually handicapped-visibility for the visually handicapped and scenic congruence for those with ordinary sight and vision. In Proceedings of the JIPEA World Congress, Tohoku, Japan, 28 May–10 June 2000; pp. 453–462. [Google Scholar]
- ISO. Assistive Products for Blind and Vision-Impaired Persons; ISO: Geneva, Switzerland, 2012. [Google Scholar]
- CEN/TS 15209:2008; Tactile Paving Surface Indicators Produced from Concrete, Clay and Stone. European Committee for Standardization (CEN): Brussels, Belgium, 2013.
- Division, D.B.C. Tactile Poster v0.6—Land Transport Authority (LTA). 2015. Available online: https://www.lta.gov.sg/content/dam/ltagov/industry_innovations/industry_matters/development_construction_resources/quick_guide_series_for_development_related_proposals/TactileTilesPosterV0.6.pdf (accessed on 8 September 2023).
- Song, S.K. Singapore Government Circular. 2006. Available online: https://www.corenet.gov.sg/einfo/Uploads/Circulars/CLTA060921.pdf (accessed on 4 June 2023).
- Standards New Zealand, S.A. Australian/New Zealand Standard. 2002. Available online: https://www.saiglobal.com/pdftemp/previews/osh/as/as1000/1400/n14284.pdf (accessed on 7 August 2023).
- BSI. BS 7997:2003. 2003. Available online: https://www.roadstone.ie/wp-content/uploads/2014/03/BS-7997-tactile-std.pdf (accessed on 6 August 2023).
- Emerson, R.W. Tactile Walking Surface Indicators in the United States and Internationally. In Research, Standards, Guidance, and Practice; Western Michigan University: Kalamazoo, MI, USA, 2021; Available online: https://www.pedbikeinfo.org/cms/downloads/TWSIreview-Bentzen-NIDILRR.pdf (accessed on 6 August 2023).
- Yamauch, S. 2003. Available online: http://www.rehab.go.jp/english/whoclbc/pdf/E13.pdf (accessed on 23 July 2023).
- Lu, J.; Siu, K.W.M.; Xu, P. A comparative study of tactile paving design standards in different countries. In Proceedings of the 2008 9th International Conference on Computer-Aided Industrial Design and Conceptual Design, Kunming, China, 22–25 November 2008; pp. 753–758. [Google Scholar]
- Vstedal, L.R.; Lindland, T.; Lid, I.M. On our way establishing national guidelines on tactile surface indicators. In Proceedings of the International Congress Series; Elsevier: Amsterdam, The Netherlands, 2005; Volume 1282, pp. 1046–1050. [Google Scholar]
- Deichmann, J. Directional tactile pavings in a universal design perspective. In Universal Design 2016: Learning from the Past, Designing for the Future; IOS Press: Amsterdam, The Netherlands, 2016; pp. 594–600. [Google Scholar]
- Pavlos, E.; Sanford, J.A. Detectable Tactile Surface Treatments; Technical report; Georgia Institute of Technology: Atlanta, GA, USA, 1983. [Google Scholar]
- Heuten, W.; Henze, N.; Boll, S.; Pielot, M. Tactile wayfinder: A non-visual support system for wayfinding. In Proceedings of the 5th Nordic Conference on Human-Computer Interaction: Building Bridges, Lund, Sweden, 20–22 October 2008; pp. 172–181. [Google Scholar]
- Department of the Environment. The Regions. 2000. Available online: https://assets.publishing.service.gov.uk/government/uploads/system/uploads/attachment_data/file/918353/tactile-paving-surfaces.pdf (accessed on 19 May 2023).
- Courtney, A.; Chow, H. A study of tile design for tactile guide pathways. Int. J. Ind. Ergon. 2000, 25, 693–698. [Google Scholar] [CrossRef]
- Mizuno, T.; Nishidate, A.; Tokuda, K.; Kunijiro, A. Installation errors and corrections in tactile ground surface indicators in Europe, America, Oceania and Asia. IATSS Res. 2008, 32, 68–80. [Google Scholar] [CrossRef]
- Kang, B.K.; Shin, D.H.; Park, K.J.; Kim, S.W. A Study on Improvement of Installation Standards for Tactile Walking Surface Indicators. J. Korea Inst. Healthc. Archit. 2015, 21, 57–66. [Google Scholar] [CrossRef][Green Version]
- Padzi, F.A.; Ibrahim, F.; Karim, N.A. Incongruent installation of tactile ground surface indicator toward visual impaired people’s need: Masjid Jamek Station. Procedia-Soc. Behav. Sci. 2013, 101, 130–139. [Google Scholar] [CrossRef]
- Design, N.S. Integrated Building Systems. 2013. Available online: https://research.design.ncsu.edu/building-systems-integration/building-systems-integration/ (accessed on 19 May 2023).
- Dowson, A. The development of surface tactile indicators. In Proceedings of the 7th International Conference on Concrete Block Paving, Orlando, FL, USA, 9–13 September 2001; pp. 1–10. [Google Scholar]
- Samuel, D.L.; Nagendra, S.S.; Maiya, M. Passive alternatives to mechanical air conditioning of building: A review. Build. Environ. 2013, 66, 54–64. [Google Scholar] [CrossRef]
- Kamal, M.A. An overview of passive cooling techniques in buildings: Design concepts and architectural interventions. Acta Tech. Napoc. Civ. Eng. Archit. 2012, 55, 84–97. [Google Scholar]
- Elara, M.R.; Rojas, N.; Chua, A. Design principles for robot inclusive spaces: A case study with roomba. In Proceedings of the 2014 IEEE International Conference on Robotics and Automation (ICRA), Hong Kong, China, 31 May–7 June 2014; pp. 5593–5599. [Google Scholar]
- Tan, N.; Mohan, R.E.; Watanabe, A. Toward a framework for robot-inclusive environments. Autom. Constr. 2016, 69, 68–78. [Google Scholar] [CrossRef]
- Yeo, M.S.K.; Samarakoon, S.M.B.P.; Ng, Q.B.; Muthugala, M.A.V.J.; Elara, M.R. Design of Robot-Inclusive Vertical Green Landscape. Buildings 2021, 11, 203. [Google Scholar] [CrossRef]
- Wilcox, B.; Dankowicz, H. Limit-Switch Sensor Functionality Based on Discontinuity-Induced Nonlinearities. J. Comput. Nonlinear Dyn. 2011, 6, 031004. [Google Scholar] [CrossRef]
- Wu, Y.; Lian, D.; Xu, Y.; Wu, L.; Chen, E. Graph convolutional networks with markov random field reasoning for social spammer detection. In Proceedings of the AAAI Conference on Artificial Intelligence, New York, NY, USA, 7–12 February 2020; Volume 34, pp. 1054–1061. [Google Scholar]
- Hamaguchi, T.; Oiwa, H.; Shimbo, M.; Matsumoto, Y. Knowledge Transfer for Out-of-Knowledge-Base Entities: A Graph Neural Network Approach. In Proceedings of the Twenty-Sixth International Joint Conference on Artificial Intelligence, IJCAI-17, Melbourne, VIC, Australia, 19–25 August 2017; pp. 1802–1808. [Google Scholar] [CrossRef]
- Jiang, W.; Luo, J. Graph Neural Network for Traffic Forecasting: A Survey. Expert Syst. Appl. 2022, 207, 117921. [Google Scholar] [CrossRef]
- Wu, Z.; Tang, Y.; Hong, B.; Liang, B.; Liu, Y. Enhanced Precision in Dam Crack Width Measurement: Leveraging Advanced Lightweight Network Identification for Pixel-Level Accuracy. Int. J. Intell. Syst. 2023, 2023, 9940881. [Google Scholar] [CrossRef]
- Tang, Y.; Huang, Z.; Chen, Z.; Chen, M.; Zhou, H.; Zhang, H.; Sun, J. Novel visual crack width measurement based on backbone double-scale features for improved detection automation. Eng. Struct. 2023, 274, 115158. [Google Scholar] [CrossRef]
- Cao, W.; Liu, Q.; He, Z. Review of pavement defect detection methods. IEEE Access 2020, 8, 14531–14544. [Google Scholar] [CrossRef]
- Zhou, J.; Cui, G.; Hu, S.; Zhang, Z.; Yang, C.; Liu, Z.; Wang, L.; Li, C.; Sun, M. Graph neural networks: A review of methods and applications. AI Open 2020, 1, 57–81. [Google Scholar] [CrossRef]
- Xiao, S.; Wang, S.; Dai, Y.; Guo, W. Graph Neural Networks in Node Classification: Survey and Evaluation. Mach. Vis. Appl. 2022, 33, 1–19. [Google Scholar] [CrossRef]
- Kipf, T.N.; Welling, M. Semi-Supervised Classification with Graph Convolutional Networks. arXiv 2016, arXiv:1609.02907. [Google Scholar]
- Veličković, P.; Cucurull, G.; Casanova, A.; Romero, A.; Liò, P.; Bengio, Y. Graph Attention Networks. arXiv 2017, arXiv:1710.10903. [Google Scholar]
- Defferrard, M.; Bresson, X.; Vandergheynst, P. Convolutional Neural Networks on Graphs with Fast Localized Spectral Filtering. arXiv 2016, arXiv:1606.09375. [Google Scholar]
- Fey, M.; Lenssen, J.E. Fast Graph Representation Learning with PyTorch Geometric. In Proceedings of the ICLR Workshop on Representation Learning on Graphs and Manifolds, Room R7, Ernest N. Morial Convention Center, New Orleans, LA, USA, 6 May 2019; pp. 1–9. [Google Scholar]
- Zhao, J.; Xu, Y.; Zhu, W.; Liu, M.; Zhao, J. Real-Time Early Safety Warning for Personnel Intrusion Behavior on Construction Sites Using a CNN Model. Buildings 2023, 13, 2206. [Google Scholar] [CrossRef]
- Nešković, J.; Jovanović, I.; Markov, S.; Vučetić, S.; Ranogajec, J.; Trumić, M. Bio-Induced Healing of Cement Mortars in Demineralized and Danube Water: CNN Model for Image Classification. Buildings 2023, 13, 1751. [Google Scholar] [CrossRef]
- Lung, L.W.; Wang, Y.R. Applying Deep Learning and Single Shot Detection in Construction Site Image Recognition. Buildings 2023, 13, 1074. [Google Scholar] [CrossRef]
- Michalos, G.; Makris, S.; Tsarouchi, P.; Guasch, T.; Kontovrakis, D.; Chryssolouris, G. Design considerations for safe human-robot collaborative workplaces. Procedia CIrP 2015, 37, 248–253. [Google Scholar] [CrossRef]















| Localization Method | Description | Limitations |
|---|---|---|
| SLAM [13] | Use of LIDAR sensors to generate two-dimensional maps of robot and its surroundings |
|
| Robot beacon array [14] | Usage of Wifi/RFID and other wireless technologies to help robot to triangulate its location within a given space |
|
| Fiducial markers [15] | Visual (usually monochromatic) markers placed at strategic locations for robot to detect and localize |
|
| Spatial Hazards to Robots | Examples | Common Responses by Robots |
|---|---|---|
| Static obstacles |
|
|
| Moving/transient obstacles |
|
|
| Level changes/inclines |
|
|
| Narrow passage |
|
|
| Sharp turns |
|
|
| Overhangs |
|
|
| Tactile Indicator Type | Typical Locations | Usage/Function |
|---|---|---|
| Blister paving | Before crossing interfaces | Alerting VIB users of intersection ahead and to proceed with care |
| Offset blister paving | Near level change of railway platform edge | Warning VIB users of platform edges/level drop |
| Corduroy hazard warning paving | Near obstacles or level changes | Warning VIB users of hazards ahead, to proceed with care |
| Lozenge paving | On-street platform edges | Warning VIB users of platform edge of light transport systems |
| Cycleway paving | Beginning and end of cycleway and pedestrian intersections | Alerting VIB users of pedestrian pathways and cycleway paths |
| Guidance/ directional paving | Safe route around obstacles | Identifying safe route for VIB users, providing directional cues, and avoiding obstacles |
| Detection in 30 Runs | Correct Detection | Error Detection |
|---|---|---|
| Blister PATH tile | 20 | 10 |
| Guidance PATH tile | 23 | 7 |
| Model | Train Acc | Val Acc | Train Loss | Val Loss | Epochs | Time/s |
|---|---|---|---|---|---|---|
| GCN | 84.20% | 83.86% | 1.5464 | 1.4456 | 1732 | 236.44 |
| GAT | 71.33% | 71.42% | 1.6725 | 1.4886 | 2156 | 663.33 |
| CHEB | 91.94% | 91.34% | 1.4682 | 1.4235 | 2390 | 93.94 |
| Hyper-Parameter | Values | Tune Type | Best Value |
|---|---|---|---|
| Hidden channels | 16, 32, 64, 128 | Choice | 128 |
| Dropout rate | 0 to 0.5 | Uniform | 2.4260 × 10 |
| Learning rate | 1 × 10 to 1 × 10 | Uniform | 1.8055 × 10 |
| Weight decay | 1 × 10 to 1 × 10 | Uniform | 3.2048 × 10 |
| Train Acc | Val Acc | Train Loss | Val Loss | Epochs | Time/s | |
|---|---|---|---|---|---|---|
| Before | 91.94% | 91.34% | 1.4682 | 1.4235 | 2390 | 93.94 |
| After | 96.07% | 95.12% | 1.4120 | 1.4033 | 1490 | 63.12 |
| Test Set | Val Acc | Precision | Recall | Specificity | F1 Score |
|---|---|---|---|---|---|
| 1 | 96.58% | 0.9660 | 0.9658 | 0.9658 | 0.9659 |
| 2 | 96.72% | 0.9674 | 0.9672 | 0.9672 | 0.9671 |
| 3 | 96.76% | 0.9678 | 0.9676 | 0.9676 | 0.9676 |
| Average | 96.69% | 0.9671 | 0.9669 | 0.9669 | 0.9669 |
Disclaimer/Publisher’s Note: The statements, opinions and data contained in all publications are solely those of the individual author(s) and contributor(s) and not of MDPI and/or the editor(s). MDPI and/or the editor(s) disclaim responsibility for any injury to people or property resulting from any ideas, methods, instructions or products referred to in the content. |
© 2023 by the authors. Licensee MDPI, Basel, Switzerland. This article is an open access article distributed under the terms and conditions of the Creative Commons Attribution (CC BY) license (https://creativecommons.org/licenses/by/4.0/).
Share and Cite
Yeo, M.S.K.; Pey, J.J.J.; Elara, M.R. Passive Auto-Tactile Heuristic (PATH) Tiles: Novel Robot-Inclusive Tactile Paving Hazard Alert System. Buildings 2023, 13, 2504. https://doi.org/10.3390/buildings13102504
Yeo MSK, Pey JJJ, Elara MR. Passive Auto-Tactile Heuristic (PATH) Tiles: Novel Robot-Inclusive Tactile Paving Hazard Alert System. Buildings. 2023; 13(10):2504. https://doi.org/10.3390/buildings13102504
Chicago/Turabian StyleYeo, Matthew S. K., Javier J. J. Pey, and Mohan Rajesh Elara. 2023. "Passive Auto-Tactile Heuristic (PATH) Tiles: Novel Robot-Inclusive Tactile Paving Hazard Alert System" Buildings 13, no. 10: 2504. https://doi.org/10.3390/buildings13102504
APA StyleYeo, M. S. K., Pey, J. J. J., & Elara, M. R. (2023). Passive Auto-Tactile Heuristic (PATH) Tiles: Novel Robot-Inclusive Tactile Paving Hazard Alert System. Buildings, 13(10), 2504. https://doi.org/10.3390/buildings13102504

