Finite Element Analysis of Precast Concrete Deck-Steel Beam-Connection Concrete (PCSC) Connectors Using Ultra-High Performance Concrete (UHPC) for the Composite Beam
Abstract
:1. Introduction
2. Overview of Push-Out Experiments
3. Modelling of Push-Out Tests
3.1. Geometry of Push-Out Specimens
3.2. Interaction of Interface
3.3. Constitution Relationship of Material
3.3.1. Steel
3.3.2. Normal Concrete
3.3.3. UHPC
3.4. Cohesive Law of Interface
4. FE Model of Results
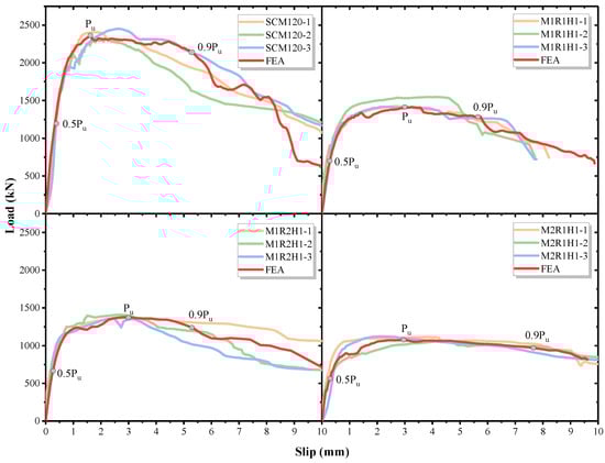
4.1. Validation of FE Models
4.2. Contribution of Interfacial Bond
4.3. Damage Evolution and Failure Mode
5. Parametric Studies
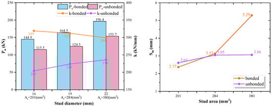
5.1. Parameter 1: Stud Diameter
5.2. Parameter 2: Stud Height
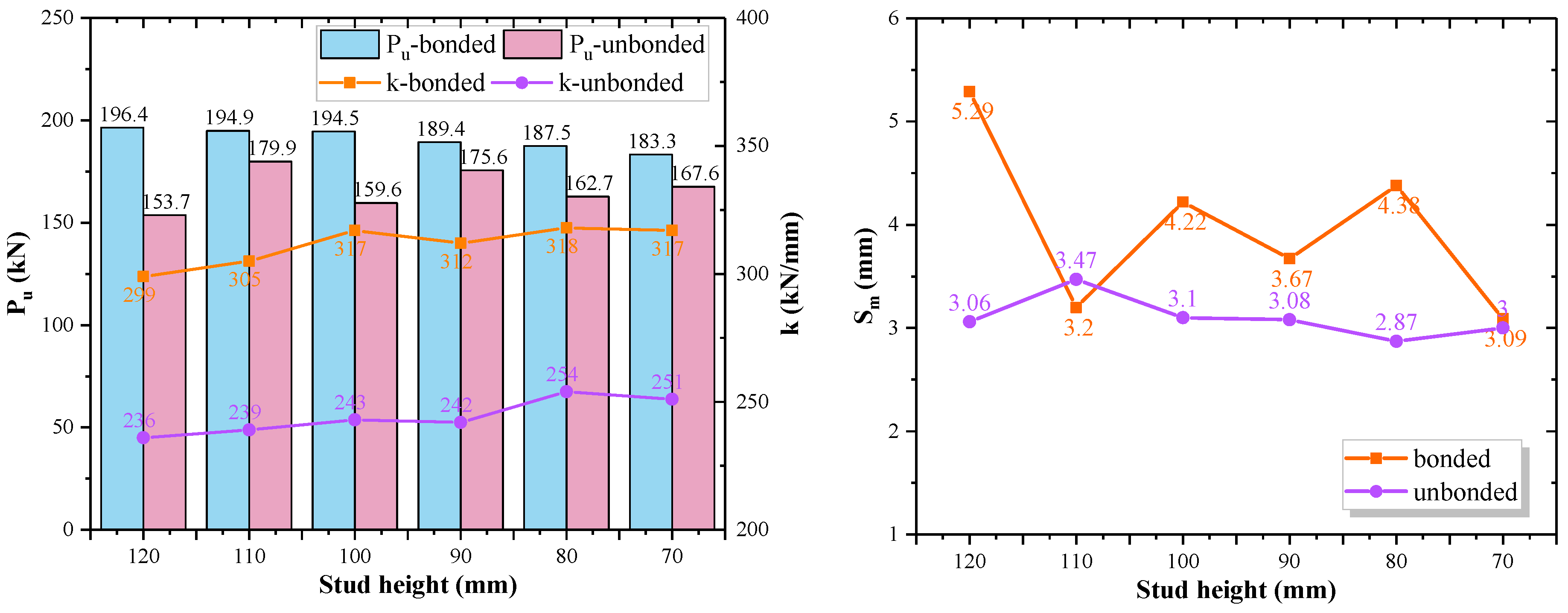
5.3. Parameter 3: Stud Horizontal Spacing
5.4. Parameter 4: Compressive Strength of Connection Concrete
5.5. Parameter 5: Compressive Strength of Precast Concrete
6. Conclusions
- The refined FE model, which incorporates the bonding behavior of the steel–concrete interface, was developed in order to accurately represent the load-slip behavior, damage mode, and damage evolution of PCSC connectors.
- The bond of the steel–concrete interface significantly improved the shear bearing capacity and elastic shear stiffness of push-out specimens due to a larger steel–concrete interface in PCSC connectors than in conventional stud connectors. Specifically, the steel–UHPC interface and the steel–HSM interface increased the shear bearing capacity of the specimens by approximately 25% and 20%, respectively. However, the steel–HSM interface showed damage earlier than the steel–UHPC interface.
- The shear bearing capacity of the PCSC push-out specimens increased with the increase in compressive strength of the connection concrete. Compared to normal concrete, UHPC as post-poured connection concrete increased the bearing capacity and shear stiffness of studs by about 20% and 16%, respectively, but the ductility was reduced by 38%. When the compressive strength of UHPC exceeded 130 MPa, however, the shear bearing capacity of connectors was only dependent on the material properties of studs. The additional UHPC strength would not significantly enhance the shear performance of connectors.
- The diameter of studs has a positive effect on the shear bearing capacity and shear stiffness. The maximum slip value of the specimen also correlated positively with the cross-sectional area of studs.
- The effective force transmission zone of studs is about 30 mm near the root, and the additional height of studs would not increase the shear bearing capacity of connectors. However, to ensure the effective restraint of UHPC on studs so that the shear resistance of the studs is not weakened, it is recommended that the length-to-diameter ratio of the studs be greater than or equal to 3.18.
- The shear bearing capacity and shear stiffness of the studs decreases with the decrease in the width of the connection concrete (stud spacing). To ensure the damage mode of PCSC connectors is stud shear fracture, it is recommended that the horizontal spacing of studs be greater than or equal to 2.82 d, and the clear distance from the outer side of the stud shank to the edge of UHPC should not be less than 30 mm.
Author Contributions
Funding
Institutional Review Board Statement
Informed Consent Statement
Data Availability Statement
Conflicts of Interest
References
- Suzuki, A.; Kimura, Y. Mechanical performance of stud connection in steel-concrete composite beam under reversed stress. Eng. Struct. 2021, 249, 113338. [Google Scholar] [CrossRef]
- Roberti, F.; Cesari, V.F.; de Matos, P.R.; Pelisser, F.; Pilar, R. High- and ultra-high-performance concrete produced with sulfate-resisting cement and steel microfiber: Autogenous shrinkage, fresh-state, mechanical properties and microstructure characterization. Constr. Build. Mater. 2021, 268, 121092. [Google Scholar] [CrossRef]
- Fang, Z.; Fang, S.; Liu, F. Experimental and numerical study on the shear performance of short stud shear connectors in steel–UHPC composite beams. Buildings 2022, 12, 418. [Google Scholar] [CrossRef]
- He, Z.; Ou, C.; Tian, F.; Liu, Z. Experimental behavior of steel-concrete composite girders with UHPC-grout strip shear connection. Buildings 2021, 11, 182. [Google Scholar] [CrossRef]
- Farzad, M.; Shafieifar, M.; Azizinamini, A. Experimental and numerical study on bond strength between conventional concrete and ultra high-performance concrete (UHPC). Eng. Struct. 2019, 186, 297–305. [Google Scholar] [CrossRef]
- Kruszewski, D.; Wille, K.; Zaghi, A.E. Design considerations for headed shear studs embedded in ultra-high performance concrete as part of a novel bridge repair method. J. Constr. Steel Res. 2018, 149, 180–194. [Google Scholar] [CrossRef]
- Zou, Y.; Guo, J.C.; Zhou, Z.X.; Wang, X.D.; Yu, Y.J.; Zheng, K.D. Evaluation of shear behavior of PCSC shear connection for the construction of composite bridges with prefabricated decks. Eng. Struct. 2022, 257, 141–296. [Google Scholar] [CrossRef]
- Kim, J.; Kwark, J.; Joh, C.; Yoo, S.; Lee, K. Headed stud shear connector for thin ultrahigh-performance concrete bridge deck. J. Constr. Steel Res. 2015, 108, 23–30. [Google Scholar] [CrossRef]
- Semendary, A.A.; Stefaniuk, H.L.; Yamout, D.; Svecova, D. Static performance of stud shear connectors and UHPC in deck-to-girder composite connection. Eng. Struct. 2022, 255, 113917. [Google Scholar] [CrossRef]
- Haber, Z.B.; Graybeal, B.A.; Nakashoji, B. Ultimate behavior of deck-to-girder composite connection details using UHPC. J. Bridge Eng. 2020, 25, 04020038. [Google Scholar] [CrossRef]
- Cao, J.; Shao, X.; Lu, D.; Yidong, G. Static and fatigue behavior of short-headed studs embedded in a thin ultrahigh-performance concrete layer. J. Bridge Eng. 2017, 5, 4017001–4017005. [Google Scholar] [CrossRef]
- Fang, Z.C.; Fang, H.Z.; Huang, J.X.; Jiang, H.B.; Chen, G.F. Static behavior of grouped stud shear connectors in steel–precast UHPC composite structures containing thin full-depth slabs. Eng. Struct. 2022, 252, 113484. [Google Scholar] [CrossRef]
- Zhu, J.; Ding, J.; Wang, Y. Numerical and theoretical studies on shear behavior of steel-UHPC composite beams with waffle slab. J. Build. Eng. 2022, 47, 103913. [Google Scholar] [CrossRef]
- Kruszewski, D.; Wille, K.; Zaghi, A.E. Push-out behavior of headed shear studs welded on thin plates and embedded in UHPC. Eng. Struct. 2018, 173, 429–441. [Google Scholar] [CrossRef]
- Kruszewski, D.; Zaghi, A.E.; Wille, K. Finite element study of headed shear studs embedded in ultra-high performance concrete. Eng. Struct. 2019, 188, 538–552. [Google Scholar] [CrossRef]
- Cao, J.; Shao, X. Finite element analysis of headed studs embedded in thin UHPC. J. Constr. Steel Res. 2019, 161, 355–368. [Google Scholar] [CrossRef]
- Guan, Y.; Wu, J.; Sun, R.; Ge, Z.; Bi, Y.; Zhu, D. Shear behavior of short headed studs in steel-ECC composite structure. Eng. Struct. 2022, 250, 113423. [Google Scholar] [CrossRef]
- Abo El-Khier, M.; Morcous, G. Precast concrete deck-to-girder connection using ultra-high performance concrete (UHPC) shear pockets. Eng. Struct. 2021, 248, 113082. [Google Scholar] [CrossRef]
- Xu, C.; Chengkui, H.; Decheng, J.; Yuancheng, S. Push-out test of pre-stressing concrete filled circular steel tube columns by means of expansive cement. Constr. Build. Mater. 2009, 23, 491–497. [Google Scholar] [CrossRef]
- Qu, X.; Chen, Z.; Nethercot, D.A.; Gardner, L.; Theofanous, M. Push-out tests and bond strength of rectangular CFST columns. Steel Compos. Struct. 2015, 19, 21–41. [Google Scholar] [CrossRef]
- Yan, J.; Xie, W.; Zhang, L.; Lin, X. Bond behaviour of concrete-filled steel tubes at the arctic low temperatures. Constr. Build. Mater. 2019, 210, 118–131. [Google Scholar] [CrossRef]
- Degee, H.; Dan, D.; Bogdan, T.; Plumier, A. Transfer of the longitudinal shear at the steel-concrete interface in concrete members reinforced by steel profiles. In High Tech Concrete: Where Technology and Engineering Meet; Springer: Cham, Switzerland, 2017. [Google Scholar]
- Yan, J.; Li, Z.; Xie, J. Numerical and parametric studies on steel-elastic concrete composite structures. J. Constr. Steel Res. 2017, 133, 84–96. [Google Scholar] [CrossRef]
- Taerwe, L.; Matthys, S. Fib Model Code for Concrete Structures 2010; Wilhelm Ernst & Sohn, Verlag fur Architektur und technische Wissenschaften GmbH & Co. KG; Ernst & Sohn, Wiley: Berlin, Germany, 2013. [Google Scholar]
- Zhuang, B.Z.; Liu, Y.Q.; Yang, F. Experimental and numerical study on deformation performance of rubber-sleeved stud connector under cyclic load. Constr. Build. Mater. 2018, 192, 179–193. [Google Scholar] [CrossRef]
- Pavlović, M.; Marković, Z.; Veljković, M.; Buđevac, D. Bolted shear connectors vs. Headed studs behaviour in push-out tests. J. Constr. Steel Res. 2013, 88, 134–149. [Google Scholar] [CrossRef]
- Yang, J.; Fang, Z. Research on stress-strain relation of ultra high performance concrete. Concrete 2008, 7, 11–15. [Google Scholar]
- Zhang, Z.; Shao, X.D.; Wen-Guang, L.I.; Zhu, P.; Chen, H. Axial tensile behavior test of ultra high performance concrete. China J. Highw. Transp. 2015, 8, 50–58. [Google Scholar]
- Wang, X.L.; Liu, Y.Q.; Li, Y.X.; Lu, Y.C.; Li, X.F. Bond behavior and shear transfer of steel section-concrete interface with studs: Testing and modeling. Constr. Build. Mater. 2020, 264, 120251. [Google Scholar] [CrossRef]
- Wang, Z.; Nie, X.; Fan, J.S.; Lu, X.Y.; Ding, R. Experimental and numerical investigation of the interfacial properties of non-steam-cured UHPC-steel composite beams. Constr. Build. Mater. 2019, 195, 323–339. [Google Scholar] [CrossRef]
- Jurkiewiez, B.; Tout, F.; Ferrier, E. Push-out and bending tests of steel-concrete adhesively bonded composite elements. Eng. Struct. 2021, 231, 111717. [Google Scholar] [CrossRef]
- Huang, Y.; Zhao, P.; Lu, Y.; Zhang, H. Push-out tests of CFST columns strengthened with self-compacting and self-stressing concrete filled square steel tube. J. Constr. Steel Res. 2022, 193, 107263. [Google Scholar] [CrossRef]
- Johnson, R.P.; May, I.M. Partial-interaction design of composite beams. Struct. Eng. 1975, 53, 305–311. [Google Scholar]
- Eurocode 4. Design of Composite Steel and Concrete Structures; European Committee for Standardization: Brussels, Belgium, 2004. [Google Scholar]
- Mhurdoc (Ministry of Housing and Urban-Rural Development of China). Code for Design of Steel and Concrete Composite Bridges (gb50917-2013); China Planning Press: Beijing, China, 2013. [Google Scholar]


































| Specimen | Specification of Slab (mm) | Specification of Stud (mm) | Material of Connection Concrete | SV (mm) | SH (mm) | Specification of Connection Concrete (mm) | Number |
|---|---|---|---|---|---|---|---|
| M2R1H1 | 400 400 120 | 13 60 | HSM | 100 | 65 | 138 70 | 3 |
| M1R1H1 | 13 60 | UHPC | 100 | 65 | 138 70 | 3 | |
| M1R2H1 | 13 60 | UHPC | 100 | 65 | 138 70 | 3 | |
| SCM1-120 | 460 560 200 | 22 120 | UHPC | 150 | 72 | 154 130 | 3 |
| Strength Grade | Amount of Material per Unit Volume (kg/m3) | ||||
|---|---|---|---|---|---|
| C50 | cement | sand | crushed aggregate | water | water-reducing agent |
| 480 | 638 | 1185 | 144 | 5.76 | |
| Specimen | Pu | Pstud (kN) | PFEA/Pu | Su (mm) | Sm (mm) | SFEA/Sm | k (kN/mm) | kFEA/k |
|---|---|---|---|---|---|---|---|---|
| SCM1-1 | 2407.1 | 200.6 | 0.98 | 1.84 | 3.83 | 1.38 | 3540 | 1.01 |
| SCM1-2 | 2323.3 | 193.6 | 1.02 | 2.15 | 3.65 | 1.45 | 3057 | 1.17 |
| SCM1-3 | 2451.3 | 204.3 | 0.96 | 2.61 | 4.9 | 1.08 | 3405 | 1.05 |
| SCM120-FEA | 2357.1 | 196.4 | - | 1.63 | 5.29 | - | 3576 | - |
| M1R1H1-1 | 1426.9 | 118.9 | 0.99 | 2.69 | 5.32 | 1.07 | 2396 | 1.02 |
| M1R1H1-2 | 1547.3 | 128.9 | 0.91 | 4.21 | 5.00 | 1.13 | 3838 | 0.63 |
| M1R1H1-3 | 1417.8 | 118.2 | 1.00 | 2.31 | 4.54 | 1.25 | 2537 | 0.96 |
| M1R1H1-FEA | 1414.7 | 117.9 | - | 3.15 | 5.67 | - | 2436 | - |
| M2R1H1-1 | 1113.8 | 92.8 | 1.03 | 3.89 | 7.97 | 0.96 | 2830 | 0.67 |
| M2R1H1-2 | 1054.5 | 87.9 | 1.09 | 4.32 | 8.42 | 0.91 | 2302 | 0.83 |
| M2R1H1-3 | 1121.5 | 93.5 | 1.02 | 2.10 | 5.93 | 1.30 | 1465 | 1.30 |
| M2R1H1-FEA | 1074.8 | 89.6 | - | 2.93 | 7.68 | - | 2028 | - |
| M1R2H1-1 | 1365.8 | 113.8 | 1.01 | 3.30 | 7.79 | 0.68 | 2721 | 0.90 |
| M1R2H1-2 | 1409.4 | 117.4 | 0.98 | 2.77 | 3.98 | 1.33 | 3488 | 0.71 |
| M1R2H1-3 | 1366.4 | 113.2 | 1.01 | 2.47 | 3.87 | 1.37 | 2793 | 0.88 |
| M1R2H1-FEA | 1378.4 | 114.9 | - | 3.00 | 5.31 | - | 2461 | - |
| Parameter | Specimen | Specification of Stud (mm) | Connection Concrete | PC Slab | SV (mm) | SH (mm) | Specification of Connection Concrete (mm) |
|---|---|---|---|---|---|---|---|
| Base | SCM1-120 | 22 120 | UHPC-130 | C50 | 150 | 72 | 130 154 |
| 1 | D19 | 19 120 | UHPC-130 | C50 | 150 | 72 | 130 154 |
| D16 | 16 120 | UHPC-130 | C50 | 150 | 72 | 130 154 | |
| 2 | H110 | 22 110 | UHPC-130 | C50 | 150 | 72 | 120 154 |
| H100 | 22 100 | UHPC-130 | C50 | 150 | 72 | 110 154 | |
| H90 | 22 90 | UHPC -130 | C50 | 150 | 72 | 100 154 | |
| H80 | 22 80 | UHPC-130 | C50 | 150 | 72 | 90 154 | |
| H70 | 22 70 | UHPC-130 | C50 | 150 | 72 | 80 154 | |
| 3 | B174 | 22 120 | UHPC-130 | C50 | 150 | 72 | 130 174 |
| B144 | 22 120 | UHPC-130 | C50 | 150 | 62 | 130 144 | |
| B124 | 22 120 | UHPC-130 | C50 | 150 | 62 | 130 124 | |
| 4 | CU150 | 22 120 | UHPC-150 | C50 | 150 | 72 | 130 154 |
| CU140 | 22 120 | UHPC-140 | C50 | 150 | 72 | 130 154 | |
| CU110 | 22 120 | UHPC-110 | C50 | 150 | 72 | 130 154 | |
| CC60 | 22 120 | C60 | C50 | 150 | 72 | 130 154 | |
| 5 | PC70 | 22 120 | UHPC-130 | C70 | 150 | 72 | 130 154 |
| PC60 | 22 120 | UHPC-130 | C60 | 150 | 72 | 130 154 |
Publisher’s Note: MDPI stays neutral with regard to jurisdictional claims in published maps and institutional affiliations. |
© 2022 by the authors. Licensee MDPI, Basel, Switzerland. This article is an open access article distributed under the terms and conditions of the Creative Commons Attribution (CC BY) license (https://creativecommons.org/licenses/by/4.0/).
Share and Cite
Guo, J.; Zhou, Z.; Zou, Y.; Zhang, Z.; Jiang, J. Finite Element Analysis of Precast Concrete Deck-Steel Beam-Connection Concrete (PCSC) Connectors Using Ultra-High Performance Concrete (UHPC) for the Composite Beam. Buildings 2022, 12, 1402. https://doi.org/10.3390/buildings12091402
Guo J, Zhou Z, Zou Y, Zhang Z, Jiang J. Finite Element Analysis of Precast Concrete Deck-Steel Beam-Connection Concrete (PCSC) Connectors Using Ultra-High Performance Concrete (UHPC) for the Composite Beam. Buildings. 2022; 12(9):1402. https://doi.org/10.3390/buildings12091402
Chicago/Turabian StyleGuo, Jincen, Zhixiang Zhou, Yang Zou, Zhongya Zhang, and Jinlong Jiang. 2022. "Finite Element Analysis of Precast Concrete Deck-Steel Beam-Connection Concrete (PCSC) Connectors Using Ultra-High Performance Concrete (UHPC) for the Composite Beam" Buildings 12, no. 9: 1402. https://doi.org/10.3390/buildings12091402
APA StyleGuo, J., Zhou, Z., Zou, Y., Zhang, Z., & Jiang, J. (2022). Finite Element Analysis of Precast Concrete Deck-Steel Beam-Connection Concrete (PCSC) Connectors Using Ultra-High Performance Concrete (UHPC) for the Composite Beam. Buildings, 12(9), 1402. https://doi.org/10.3390/buildings12091402

