Abstract
PPVC modular construction building has become one of the most recent construction technologies in the civil engineering sector and has piqued researchers’ interest. Few published studies consider the overall structural response to extreme wind load. As a result, there is a lack of appropriate design for PPVC modular systems under extreme wind standards. However, the existing literature has not yet studied the wind flow dynamic behaviors of PPVC modular steel construction (MSC) systems subjected to extreme wind loads. This paper, therefore, presents a numerical investigation into the structural performance and wind flow dynamic behavior of innovative PPVC modular steel construction (MSC) systems under extreme wind loads. The numerical technique varied in comparison with previous studies. The results showed that the suggested novel (MSC1) modular system is applicable to prevention of extreme wind action up to cyclone 2nd degree, the high story drift resistance compared with previous research, high stiffness performance, and overall strain energy. Additionally, the actual wind velocity surrounding (MSC2) was 31.5% higher compared to the Saffir–Simpson wind speed scale, and the 1.5 wind speed safety factor was suggested.
1. Introduction
Prefinished volumetric construction (PPVC) modular construction is a new off-site construction technique; PPVC modular construction permits a considerable advantage in terms of quality control, environmental factors, time, and cost efficiency [1,2]. PPVC construction demonstrated significant benefits in mid- and high-rise construction, particularly in structures with repeated units (module) such as hospitals, hotels, schools, shelters, residences, etc. [3,4]. Extreme wind loads are one of the leading natural hazards that causes severe damage in terms of human life and construction demolition [3,5,6]. Therefore, extreme wind load has become a hotspot critical research area. However, only a few researchers have investigated PPVC modular system structural behavior under extreme wind loading scenarios to provide a superior construction in terms of extreme wind load hazard resistance. However, few research articles investigate PPVC structural behavior when subjected to lateral loads and the load transfer mechanism; moreover, there is a significant lack of knowledge on the extreme wind loading impact in mid- and high-rise PPVC modular construction systems [2,5,7,8].
Lacey et al. [9] studied the overall structural performance of a six-story modular apartment complex case study in Port Hedland, Western Australia. The numerical investigation consisted of evaluating the model regarding equivalent static and variable wind loads; the analysis indicated that the highest inter-story drift occurs between the second and third floors of the proposed modular construction model. Moreover, Lacey et al. [10] undertook a numerical assessment of the overall structural behavior of the previously mentioned case study, connected with an inter-module connection and a stiffener. The results show that the corresponding static analyses for wind and earthquake loading offered a decent overall structural behavior assessment. On the other hand, Peng et al. [11] investigated the structural performance of a composite 12-story modular construction subjected to various wind load actions. According to the authors, the suggested hybrid multi-story modular system has appropriate load-carry capability under lateral wind loads and endures regional wind speeds of up to 65 m/s; however, the proposed modular system fails to meet the deflection control required.
Further, Bi et al. [12] investigated the wind performance of a typical high-rise hybrid modular system; the suggested modular system is made of steel modules and a reinforced concrete core. Researchers numerically investigated the proposed modular system under the Typhoon Ksmmuri wind field. The authors claim that the cylinder lead viscoelastic damper (SCLVD) has an exceptional energy dissipation capacity, causes an increase in terms of overall stiffness and energy dissipation performance of beam-column joints, and has a remarkable damping effect for acceleration and displacement. Table 1 illustrate summaries of existing research studies on PPVC modular construction structural performance subjected to wind loading and presents the proposed study’s novelty.
Table 1.
Existing articles on wind flow impact on the PPVC modular system.
The lack of a specific standard for designing the PPVC modular construction systems under wind turbulence led to the absence of a clear design index. However, global and local structural mechanism behavior is still under investigation, and no existing research has investigated the wind flow dynamic impact on PPVC modular construction systems. Therefore, the proposed study aims to provide a novel PPVC modular steel construction (MSC) system designed based on Eurocode 1 EN 1991-1-4 [13], action on structures in normal wind speed conditions [14,15], and Eurocode 3 EN 1993-1-1 [16]. Additionally, a numerical investigation presents the structural performance and wind flow dynamic behavior for an innovative modular steel construction (MSC) system subject to various extreme wind load scenarios, FEM results compared with the normal wind condition (control model), and the previous literature. Empirical formulas present the overall structural response and the wind flow dynamic behavior. The numerical model utilizes two novel steel modular mid-rise buildings designed with/without steel wall frames to simulate extreme wind loads on the suggested modular system. This article’s results are expected to develop and implement the future development of the PPVC modular system under extreme wind loading.
2. PPVC Modular System Structural Design
2.1. PVVC Modular System Detailing
Two mid-rise PPVC modular steel construction (MSC) systems were designed based on Eurocode 1 EN 1991-1-4 [13], action on structures in normal wind conditions [14,15]; in the terrain category (IV), in which the area of at least 15% of the surface is covered with buildings and their average height exceeds 15.0 m, and Eurocode 3 EN 1993-1-1 [16] design of steel structures. The two suggested modular steel constructions are designed to resist the normal wind load pressure load. The study assumption is to design two modular steel construction systems (MSC10 and (MSC2); (MSC1) was utilized to study the structural performance, while (MSC2) was utilized to investigate the wind flow dynamically. Each suggested modular is made of 8 story levels with a 24 m height and 24 × 20 m dimension; each story is made of 12 modules per story and a total of 96 modules with a total mass weight of 26 tons, as shown in Figure 1. MSC2 is covered by corrugated steel plate shear walls (CSPSWs), which provide high seismic resistance, energy dissipation capacity, adequate initial stiffness, and enhanced buckling strength [17,18,19]. According to previous researchers [20,21,22,23,24], utilizing CSPSWs improves energy dissipation and improves initial stiffness. The individual module illustrated in Figure 2 is designed based on EN 1993-1-1 [16]. The individual proposed module section details are presented in Table 2, and material specifications are shown in Table 3.
Figure 1.
Suggested modular steel construction systems MSC1 and MSC2.
Figure 2.
Module components.
Table 2.
Proposed modular system element details.
Table 3.
Proposed modular system material specifications.
2.2. Extreme Wind Load Design
Wind action is presented by a simplified collection of pressure and forces when the wind actions change over time and exert direct pressure on the exterior modular steel construction surfaces. The selected wind flow categories and speed are presented in Table 4, the parameters from the Saffir–Simpson scale [14,15], and designed wind pressure and wind force determined based on the results of Equations (1)–(3) as shown in Table 4. The wind flow effects are equivalent to the turbulent extreme wind impacts. The applied wind load force on the proposed modular and wind pressure based on EN 1991-1-4 [13] is the following:
where in Equation (1) is the wind pressure, is the force effect on the structure surface, and is the surface area of pressure affected.
Table 4.
Saffir–Simpson wind speed scale [14,15] and wind design results.
However, wind flow pressure depends on wind velocity (vb) set using Equation (2); wind velocity is defined as a fraction of the wind direction and time of year at 10 m above ground (terrain category II) based on wind load climate [13].
where in Equation (2) is basic wind velocity in m/s, is a directional factor, is a seasonal factor, and and is the fundamental value of the basic wind velocity.
Finally, the designed wind flow pressure impacts the suggested modular set using Equation (3):
where in Equation (3) . is design wind pressure in kN/m2, . is the density of air (1.25 kg/m3), and is basic wind velocity in m/s.
3. Proposed Numerical Investigation
3.1. Structural Performance
The innovative modular steel construction (MSC1) structural performance was investigated using ANSYS2021 R2 simulation software. The suggested modular steel construction (MSC1) geometry is illustrated in Figure 3. The material properties utilized in the simulation model are mentioned in Table 3. The force method was used to analyze the internal forces and wind flow pressure reactions for the proposed modular construction (MSC1). A multi-zone mesh method with a 20 cm element size was utilized to mesh the proposed modular construction with a growth rate of 1.2 and a maximum of five element layers. Figure 4 illustrates the meshing technique and mesh quality test.
Figure 3.
MCS1 geometry detailing.
Figure 4.
MSC1 mesh quality detailing and mesh quality test.
The 60 steps automatically applied time stepping controlled by one second for each step. The innovative modular steel construction boundary conditions depend on the proposed assumption to investigate the structural and mechanical performance of (MSC1). The wind flow pressure illustrated previously in Table 4 is applied horizontally on a modular surface cross-section area in a negative (z-axis) direction; (MSC1) modular foundations and connections are simulated as fixed support, as shown in Figure 5.
Figure 5.
MSC1 FEM boundary conditions.
3.2. Wind Flow Dynamic FEM Investigation
Wind flow dynamic behavior was investigated using the proposed innovative (MSC2) modular steel construction via ANSYS2021 R2 software. The assumed enclosure shape surrounds the modular steel construction (MSC2) with a dimension of 30 m in the positive (y-axis) direction and 20 m in both the negative and positive (z-axis) directions, illustrated in Figure 6. The 50 cm mesh element size utilized the physical Tera and Heza zone performance methods to provide a smooth transition and span angle center with a growth rate of 1.5 and a maximum of three element layers, as shown in Figure 7.
Figure 6.
MSC2 wind flow dynamic.
Figure 7.
MSC2 mesh quality detailing and mesh quality test.
The program automatically times fluid flow steps. Modular steel construction (MSC2) boundary conditions are assumed based on those previously mentioned in Table 4. The wind flow velocity applied with horizontally inlet positive (z-axis) and outlet negative (z-axis) movement on the cross-section enclosure shape surface is illustrated in Figure 8.
Figure 8.
Wind velocity applied on the enclosure shape.
4. Results
4.1. Displacement
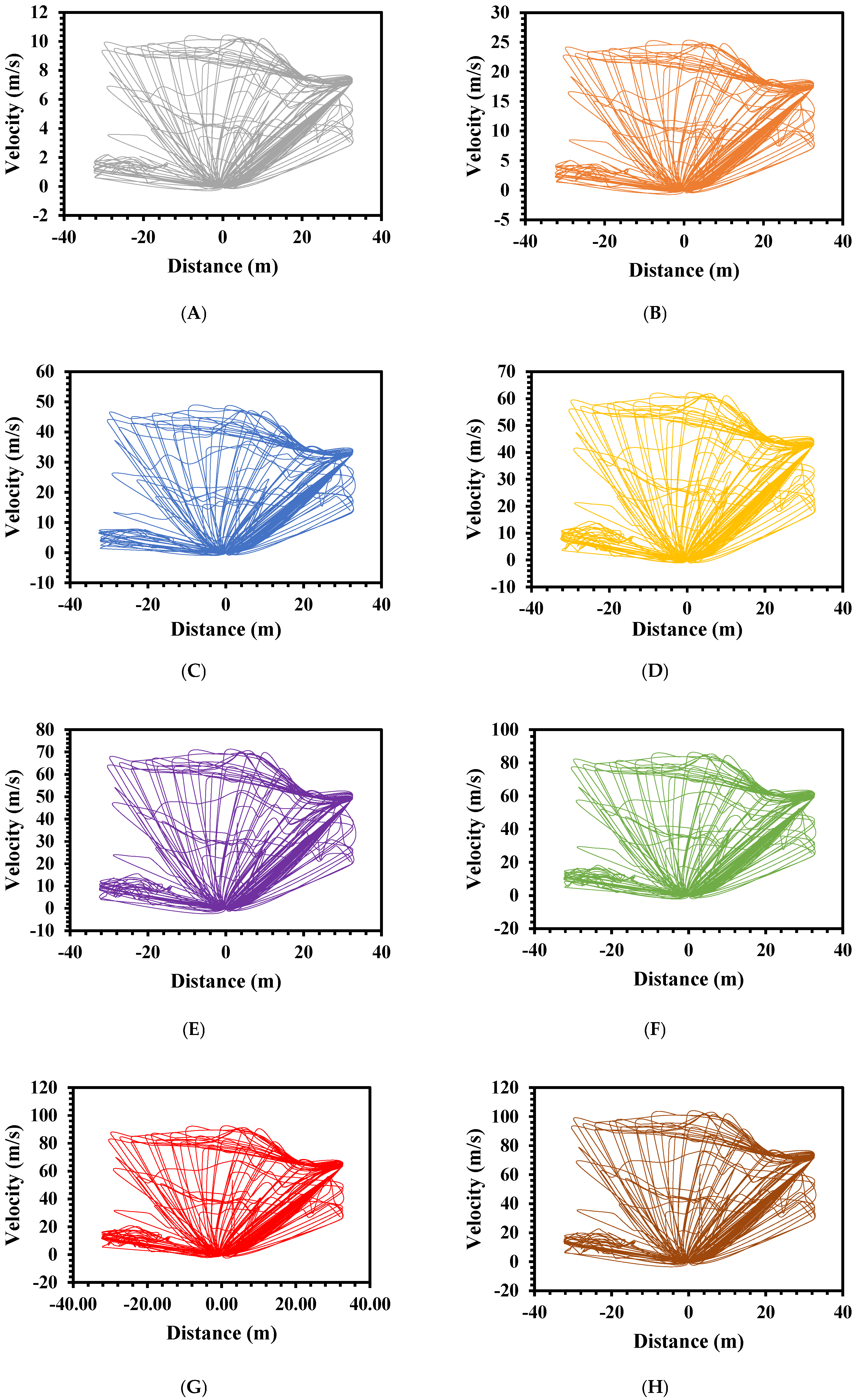
Wind flow category displacement is illustrated in Figure 9; the average wind flow presented a lower overall displacement and the (MSC1) impact was located in an elastic deformation zone. Displacement increased significantly from tropical wind to the cyclone 1st degree extreme load, and (MSC1) reached the plastic deformation zone. The suggested modular (MCS1) reached the peak deformation point under cyclone 2nd degree. The modular failed under extreme wind load impact of cyclone 3rd, cyclone 4th, and cyclone 5th degrees. The numerical investigation on (MSC1) presented the maximum displacement impact on the upper modular stories long beams of levels five and six. However, the minimum displacement impact acted on the end-edge of the modular steel construction (MSC1) where the shear wall was implemented; therefore, the modular shear walls will not affect the overall construction displacement on the modular end-edges.
Figure 9.
Structural performance of MSC1 under (A) normal, (B) tropical depression, (C) tropical storm, (D) cyclone 1st, (E) cyclone 2nd, (F) cyclone 3rd, (G) cyclone 4th, and (H) cyclone 5th wind flow loading categories.
The proposed modular steel construction (MSC1) displacement result is illustrated in Figure 10. The normal wind flow category showed a low displacement behavior on the control (MSC1) and the FEM results were 0.0013 m; however, the modular displacement increased to reach 0.0078 m for tropical depression airflow and 0.0278 m for a tropical storm. For cyclone 1st, cyclone 2nd, cyclone 3rd, cyclone 4th, and cyclone 5th extreme airflow degrees stiffness results were 0.0478, 0.0651, 0.0931, 0.104, and 0.133 m, respectively. Compared with the control (MSC) module under normal airflow, the novel suggested modular can be constructed under extreme load cyclone 1st and 2nd degrees.
Figure 10.
Displacement behavior of MSC1 under (a) normal, tropical depression, and tropical storm wind flow categories and (b) cyclone wind flow categories.
Modular columns are the main critical elements used to ensure the load transfer to the foundation; Figure 11 presents the displacement impact and the load path in modular steel construction (MSC1) columns. Column size could increase to provide high deformation resistance.
Figure 11.
(A) Right front-column, (B) mid front-column, (C) left font-column, (D) right mid-column, (E) mid mid-column, (F) left mid-column, (G) right back-column, (H) mid back-column, and (I) left back-column.
The numerical equations for the charts were based on data fitting for the suggested eight categories of wind loads subjected to the modular steel construction (MSC). Table 5 presents the relationship between the overall displacement and airflow forces, where (∆) is the overall steel modular construction (MSC1) displacement and (F) is the airflow force.
Table 5.
MSC1 displacement formula under selected wind flow categories.
4.2. Stiffness
The suggested modular steel construction (MSC1) stiffness after applying the selected wind flow categories and stiffness results is presented in Figure 12. The stiffness performance of (MSC1) under the normal wind flow category showed an adequate stiffness behavior and the FEM results were 2779.6 N/m. However, the modular ultimate stiffness decreased to reach 476.6 N/m for tropical depression air flow, tropical storm. For cyclone 1st, cyclone 2nd, cyclone 3rd, cyclone 4th, and cyclone 5th extreme airflow degree stiffness results were 133.9, 77.7, 57.7, 40.7, 35.6, and 27.9 N/m, respectively. Regarding the structural configuration method for the design, the two suggested modular steel constructions (MSC2) were designed to resist the normal wind pressure loading conditions previously mentioned in Section 2.2. Therefore, the control sample (MSC2 subjected to normal wind pressure loading) observed high stiffness performance.
Figure 12.
MSC1 stiffness performance under (a) normal, tropical depression, and tropical storm wind flow categories and (b) cyclone wind flow categories.
The stiffness formulas of the suggested modular steel construction (MSC1) under the selected wind flow categories are presented in Table 6 where (S) is MSC1 modular system stiffness and (F) is the applied wind flow forces.
Table 6.
MSC1 stiffness formulas under selected wind flow categories.
4.3. Drift Ratio
The suggested modular steel construction (MSC1) stories drift showing a sideways deflection of the higher floor relative to the sideways deflection of the lower floor. Figure 13 illustrates the relationship between the drift ratio and the height of the proposed modular system.
Figure 13.
MSC1 modular system drift ratio under selected wind flow categories.
The drift ratio performance of the innovative modular steel construction system (MSC1) is compared with the existing PPVC modular systems presented in Figure 14. Lacey et al. [9,10] investigated a case study modular system under normal airflow loading circumstances; the case study modular system showed a low drift resistance compared to the proposed innovative (MSC1) modular system. Moreover, compared to Peng et al. [11] who developed a hybrid steel–concrete 12-story modular system under extreme wind load cyclone 4th degree, the results show that the suggested innovative inter-module system has a higher drift resistance under same cyclone fourth extreme airflow circumstance. Therefore, the proposed modular steel system (MSC1) can be adequately utilized in areas affected by extreme wind loadings.
Figure 14.
Modular systems’ drift ratio compression.
Drift ratio formulas are presented in Table 7, where (H) is the vertical height of the suggested modular steel construction (MSC1) and (D) is the story drift ratio of the modular system.
Table 7.
MSC1 modular system strain energy under selected wind flow categories.
4.4. Strain Energy
Strain energy depends on the deformation results of the suggested modular steel construction (MSC1). Figure 15 presents the strain energy results of the proposed modular system under selected wind flow loading scenarios. Strain energy results for normal wind flow, tropical depression, tropical storm, cyclone 1st degree, cyclone 2nd degree, cyclone 3rd degree, cyclone 4th degree, and cyclone 5th degree are 0.024, 0.843, 31.6, 85.2, 114.9, 150.2, and 243.9 mJ, respectively.
Figure 15.
MSC1 stain energy performance under (a) normal, tropical depression, and tropical storm wind flow categories, and (b) cyclone wind flow categories.
The strain energy of the suggested modular steel construction (MSC1) formulas is presented in Table 8, where (U) is the MSC1 modular system strain energy and (F) is the applied selected wind flow load.
Table 8.
MSC1 modular system strain energy under selected wind flow categories.
4.5. Wind Velocity
Wind velocity was investigated by surrounding the modular steel construction (MSC2) enclosure shape, as shown in Figure 16. The selected wind flow velocity and movements applied on the suggested modular cross-surface areas caused a downdraft attack, producing a high-speed effect with the modular system height. Then, a wake of large revolving downwind eddies increased by increasing the wind speed, causing a counter-current impact on the modular roof and ground-level sides.

Figure 16.
Wind flow velocity applied on the MSC2 modular system under (A) normal, (B) tropical depression, (C) tropical storm, (D) cyclone 1st, (E) cyclone 2nd, (F) cyclone 3rd, (G) cyclone 4th, and (H) cyclone 5th wind flow loading categories.
The selected maximum wind flow velocity increased by increasing the inlet enclosure curve, as shown in Figure 17. The FEM investigation showed that the output wind velocity was higher at 31.5% compared to the Saffir–Simpson wind speed scale; therefore, the PPVC modular system design requires attention to the applied wind speed. The suggested study show that the wind speed safety factor is 1.5. Thus, the modular design system must consider that the safety factor should be multiplied by the Saffir–Simpson wind speed scale.
Figure 17.
Wind velocity results of the MSC2 modular system under (A) normal, (B) tropical depression, (C) tropical storm, (D) cyclone 1st, (E) cyclone 2nd, (F) cyclone 3rd, (G) cyclone 4th, and (H) cyclone 5th wind flow loading categories.
4.6. Dynamic Wind Flow Pressure
The dynamic pressure was investigated to understand the actual wind pressure behavior on the suggested modular steel construction (MSC2); Figure 18 illustrates the dynamic wind flow pressure of each selected wind loading circumstance. Dynamic wind flow pressure caused negative and positive wind pressure. However, the negative dynamic wind pressure causes high humidity that can cause steel corrosion. Therefore, steel modular construction systems require developed steel materials to prevent corrosion. Additionally, negative dynamic wind flow pressure increases the inner temperature of the modular steel system that requires innovative heat isolation materials utilized in modular steel systems. Moreover, high positive dynamic wind pressure causes a high deformation for the modular steel construction system. Therefore, high-rise modular steel construction under positive dynamic pressure requires high-deformation resistance techniques.

Figure 18.
Dynamic wind flow pressure results applied on the MSC2 modular system under (A) normal, (B) tropical depression, (C) tropical storm, (D) cyclone 1st, (E) cyclone 2nd, (F) cyclone 3rd, (G) cyclone 4th, and (H) cyclone 5th wind flow loading categories.
4.7. Turbulence Kinetic Energy (TKE)
The kinetic energy was investigated to understand the turbulence kinetic energy impact on the suggested modular steel construction (MSC2). Figure 19 presents the turbulent kinetic energy (TKE) of each selected wind flow loading applied horizontally in the cross-surface modular area. The results indicated that wind velocity vectors moved randomly when the wind loading changed from a tropical storm to a cyclone storm. This resulted in a significant increase in turbulence kinetic energy (TKE), as shown in Figure 19 (C).

Figure 19.
Turbulent kinetic energy (TKE) results applied on the MSC2 modular system under (A) normal, (B) tropical depression, (C) tropical storm, (D) cyclone 1st, (E) cyclone 2nd, (F) cyclone 3rd, (G) cyclone 4th, and (H) cyclone 5th wind flow loading categories.
Wind velocity, dynamic wind flow pressure, and turbulence kinetic energy are formulated as illustrated in Table 9, where (V) is the wind velocity in m/s, (P) is the dynamic wind pressure in Pa, (k) is the turbulence kinetic energy (TKE) in m2/s2, and (x) is the horizontal distance of the enclosure shape in m.
Table 9.
MSC1 modular system wind velocity, dynamic wind flow pressure, and turbulence kinetic energy formulas.
According to the results shown in Table 9, the horizontal distance of the enclosure over the wind velocity, dynamic pressure, and turbulence kinetic energy relationships accounts for between 10.6% and 48.5%; the results show unpredictable, unique cause variations due to the random wind movements surrounding the modular construction (MSC2). As a result, further research is needed to explain the relationship between variations in the horizontal distance (x) and wind velocity (V), dynamic wind pressure (P), and turbulence kinetic energy (k).
5. Conclusions and Recommendations for Future Work
This article illustrates a numerical method for the structural performance and wind flow dynamics of an innovative modular steel structure (MSC) under various extreme wind actions. The modeling approach predicted the modular system’s structural response to extreme wind loads, which was validated by previous studies. The findings are described below.
(i) Eurocode 1 EN 1991-1-4 is applicable for the design of a mid-rise modular steel system under wind actions. However, future experimental investigation is required to study the actual structural behavior to develop modular design guidelines for mid/high-rise steel modular construction under extreme wind conditions.
(ii) Modular steel construction (MSC1) is applicable for the prevention of extreme wind load up to the cyclone 2nd degree; modular sides show the lower displacement effect; internal modular long beams show a high displacement impact. An increase in internal module column size could enhance displacement resistance.
(iii) The suggested (MSC1) has adequate strain energy performance against selected wind flow loading; additionally, (MSC1) shows a high stiffness performance under extreme wind loads circumstances. In future, a modular-beam column-bolted longitudinal stiffener can be utilized to increase the ultimate modular stiffener performance.
(iv) The proposed MSC1 modular system shows a high drift resistance under extreme loading conditions compared to the previous studies. However, the story drift ratio increases by increasing modular high. Therefore, high-rise modular steel construction requires more future investigation to study the impact of the extreme wind actions on the modular story drift ratio.
(v) The actual wind velocity surrounding modular steel construction (MSC2) was higher at 31.5% compared to the input wind velocity conducted using the Saffir–Simpson wind speed scale. This study suggested that the wind speed safety factor is 1.5 of the applied wind actions.
(vi) Dynamic wind flow pressure causes a negative wind pressure to lower (MSC2) modular system stories and a high positive wind pressure to upper (MCS2) modular system stories. Furthermore, turbulence kinetic energy (TKE) increases by increasing extreme wind flow velocity. It is suggested that the dynamic wind flow behavior should be established from the numerical model. However, dynamic wind flow behavior empirical formulas require future investigation to understand the wind movements that surround the modular construction systems.
This topic has progressively become part of the researcher’s efforts to develop PPVC modular system models and investigate extreme wind load’s impact. Overall, it can be said that the results of the numerical simulations clearly show that the suggested model can be used in PPVC modular system studies and promote further development of structural behavior, extreme wind load impact analysis, dynamic wind flow behavior, and the development of their design. There are also further research opportunities such as experimental investigations (e.g., seismic performance and failure mode analysis) or simplified parametric methods (e.g., the effect of module column size on overall modular system structure performance subjected to extreme wind loads).
Author Contributions
Conceptualization, M.E. and A.A.M.; methodology, K.E. and M.E.; software, M.E.; validation, M.E., K.E. and A.A.M.; formal analysis, M.E. and K.E.; investigation, M.E.; resources, K.E. and A.A.M.; data curation, M.E., K.E. and A.A.M.; writing—original draft preparation, M.E.; writing—review and editing, K.E. and A.A.M.; visualization, M.E. and A.A.M.; supervision, A.A.M.; project administration, A.A.M. and K.E.; funding acquisition, A.A.M. All authors have read and agreed to the published version of the manuscript.
Funding
This work was financially supported by the Centre for Research and Instrumentation Management (CRIM), Universiti Kebangsaan Malaysia (UKM) [FRGS/1/2021/TK0/UKM/02/26].
Institutional Review Board Statement
Not applicable.
Informed Consent Statement
Not applicable.
Data Availability Statement
Data sharing is not applicable.
Acknowledgments
The authors acknowledge the financial support from the Centre for Research and Instrumentation Management (CRIM), Universiti Kebangsaan Malaysia (UKM) [FRGS/1/2021/TK0/UKM/02/26].
Conflicts of Interest
The authors declare no conflict of interest.
References
- Deng, E.-F.; Zong, L.; Ding, Y.; Zhang, Z.; Zhang, J.-F.; Shi, F.-W.; Cai, L.-M.; Gao, S.-C. Seismic performance of mid-to-high rise modular steel construction—A critical review. Thin Walled Struct. 2020, 155, 106924. [Google Scholar] [CrossRef]
- Thai, H.-T.; Ngo, T.; Uy, B. A review on modular construction for high-rise buildings. Structures 2020, 28, 1265–1290. [Google Scholar] [CrossRef]
- Fengwei, S.; Haipeng, W.; Liang, Z.; Yang, D.; Junsheng, S. Seismic behavior of high-rise modular steel constructions with various module layouts. J. Build. Eng. 2020, 31, 101396. [Google Scholar]
- Lawson, R.M.; Ogden, R.G.; Bergin, R. Application of Modular Construction in High-Rise Buildings. J. Archit. Eng. 2012, 18, 148–154. [Google Scholar] [CrossRef]
- Gunawardena, T.; Ngo, T.; Mendis, P.; Alfano, J. Innovative Flexible Structural System Using Prefabricated Modules. J. Archit. Eng. 2016, 22, 05016003. [Google Scholar] [CrossRef]
- Lacey, A.W.; Chen, W.; Hao, H.; Bi, K. Structural response of modular buildings—An overview. J. Build. Eng. 2018, 16, 45–56. [Google Scholar] [CrossRef]
- Ye, Z.; Giriunas, K.; Sezen, H.; Wu, G.; Feng, D.-C. State-of-the-art review and investigation of structural stability in multi-story modular buildings. J. Build. Eng. 2021, 33, 101844. [Google Scholar] [CrossRef]
- Lacey, A.; Chen, W.; Hao, H.; Bi, K. Numerical Study of the Structural Response to Wind Loading: Modular Building Case Study. In Proceedings of the 13th International Conference on Steel, Space and Composite Structures, Perth, Australia, 31 January–2 February 2018; University of Western Australia: Crawley, WA, Australia. [Google Scholar]
- Andrew William, L.; Wensu, C.; Hong, H.; Kaiming, B. Effect of inter-module connection stiffness on structural response of a modular steel building subjected to wind and earthquake load. Eng. Struct. 2020, 213, 110628. [Google Scholar]
- Jiahao, P.; Chao, H.; Luming, S. Numerical analysis of corner-supported composite modular buildings under wind actions. J. Constr. Steel Res. 2021, 187, 106942. [Google Scholar]
- Bi, J.; Zong, L.; Si, Q.; Ding, Y.; Lou, N.; Huang, Y. Field measurement and numerical analysis on wind-induced performance of modular structure with concrete cores. Eng. Struct. 2020, 220, 110969. [Google Scholar] [CrossRef]
- EN 1991-1-4; Eurocode 1: Actions on Structures—Part 1–4: General Actions—Wind actions. CEN: Brussels, Belgium, 2005.
- NHC. Minor Modification to Saffir-Simpson Hurricane Wind Scale For the 2012 Hurricane Season. 2012. Available online: https://www.nhc.noaa.gov (accessed on 27 May 2022).
- NHC. Experimental Saffir-Simpson Hurricane Wind Scale. 2012. Available online: https://www.nhc.noaa.gov (accessed on 27 May 2022).
- EN 1993-1-1; Eurocode 3: Design of Steel Structures—Part 1-1: General Rules and Rules for Buildings. CEN: Brussels, Belgium, 2005.
- Fereshteh, E.; Massood, M.; Abolhassan, V. Experimental study on cyclic behavior of trapezoidally corrugated steel shear walls. Eng. Struct. 2013, 48, 750–762. [Google Scholar]
- Siddhartha, G.; Farooq, A.; Anirudha, D. Design of steel plate shear walls considering inelastic drift demand. J. Constr. Steel Res. 2009, 65, 1431–1437. [Google Scholar]
- Farzampour, A.; Mansouri, I.; Hu, J.W. Seismic Behavior Investigation of the Corrugated Steel Shear Walls Considering Variations of Corrugation Geometrical Characteristics. Int. J. Steel Struct. 2018, 18, 1297–1305. [Google Scholar] [CrossRef]
- Deng, E.-F.; Zong, L.; Ding, Y. Numerical and analytical study on initial stiffness of corrugated steel plate shear walls in modular construction. Steel Compos. Struct. 2019, 32, 347–359. [Google Scholar]
- Qiang, C.; Jingyu, H. Experimental study and numerical simulation of corrugated steel plate shear walls subjected to cyclic loads. Thin Walled Struct. 2018, 127, 306–317. [Google Scholar]
- Sung-Gul, H.; Bong-Ho, C.; Kyung-Soo, C.; Ju-hyuk, M. Behavior of framed modular building system with double skin steel panels. J. Constr. Steel Res. 2011, 67, 936–946. [Google Scholar]
- Zaigen, M.; Yuqing, Y. Experimental and numerical study on seismic behavior of obliquely stiffened steel plate shear walls with openings. Thin Walled Struct. 2020, 146, 106457. [Google Scholar]
- Xiao-Meng, D.; Yang, D.; Liang, Z.; En-Feng, D.; Ni, L.; Yang, C. Experimental study on seismic behavior of steel strip reinforced CSPSWsin MBS. J. Constr. Steel Res. 2018, 151, 228–237. [Google Scholar]
- Gilvaee, M.; Mofid, M. Experimental/Numerical Evaluation of Steel Trapezoidal Corrugated Infill Panels with an Opening. Appl. Sci. 2021, 11, 3275. [Google Scholar] [CrossRef]
Publisher’s Note: MDPI stays neutral with regard to jurisdictional claims in published maps and institutional affiliations. |
© 2022 by the authors. Licensee MDPI, Basel, Switzerland. This article is an open access article distributed under the terms and conditions of the Creative Commons Attribution (CC BY) license (https://creativecommons.org/licenses/by/4.0/).





















