Next Article in Journal
Temperature Effect on Vibration Properties and Vibration-Based Damage Identification of Bridge Structures: A Literature Review
Previous Article in Journal
Passive Night Cooling Potential in Office Buildings in Continental and Mediterranean Climate Zone in Croatia
 
 
Font Type:
Arial Georgia Verdana
Font Size:
Aa Aa Aa
Line Spacing:
Column Width:
Background:
Article

The Influence of Wind Direction on the Inelastic Responses of a Base-Isolated Square Section High-Rise Building

1
School of Civil Engineering, Chongqing University, Chongqing 400044, China
2
Zhejiang Jiangnan Project Management Co., Ltd., Hangzhou 310022, China
*
Author to whom correspondence should be addressed.
Buildings 2022, 12(8), 1208; https://doi.org/10.3390/buildings12081208
Submission received: 23 June 2022 / Revised: 27 July 2022 / Accepted: 6 August 2022 / Published: 10 August 2022
(This article belongs to the Section Building Structures)

Abstract

:
Previous studies show that the largest wind-induced response of a square section fixed-base high-rise building occurs when the strong wind is blowing perpendicular onto a building face, and the greatest translational response is likely to occur in the crosswind direction. When it comes to a square section base-isolated high-rise building that allows the isolation system to yield under strong wind excitation, the inelastic response shows distinctive non-Gaussian characteristics under fluctuating wind excitation and mean drift phenomenon under non-zero mean wind load. These characteristics may lead to a quite different result when determining the most unfavorable wind direction. Thus, the influence of wind direction on the inelastic response of a square base-isolated high-rise building is discussed in this study based on synchronous pressure measurement. The multi-story superstructure is modeled as a linear elastic shear building, while the isolation system is represented in a bilinear hysteresis restoring force model. The peak value of the inelastic response is estimated through a moment-based Hermit model from an underlying standard Gaussian process. The results show that when the strong wind blows perpendicular onto a building face, the greatest inelastic displacement, both at the top and isolation level, occurs in the along-wind direction, which is different from the elastic response. With the change of wind direction, the largest combined inelastic displacement still occurs when the wind inclination angle is 0°, while the combined displacement in other directions is also very large, which is worthy of concern.

1. Introduction

With the increasing application of base isolation technology in low- and middle-rise buildings, the performance improvement of high-rise buildings obtained from this technology, such as improving occupancy comfort and reducing damage to acceleration-sensitive facilities and non-structural components, also attracted great attention during seismic design in recent years [1,2,3]. The tallest application of this base isolation technology is the Nakanoshima Festival Tower at Osaka in Japan, which is up to 200 m [4]. However, the base-isolated buildings commonly have lower natural frequencies than the corresponding fixed-base building and are therefore sensitive to wind excitations, so it is important to examine the performance of base-isolated buildings under wind excitations.
Previous studies show that when the wind resistance design of a base-isolated building is based on a linear elastic framework, the extension of the building’s natural period by the flexible isolation system may result in a larger wind-induced response than that of a corresponding fixed-base building [3,5]. This undesirable wind-induced response can be reduced by some control measures, such as adding friction units to the isolation system, changing the damping and stiffness of the base isolation system, and combining with the active control systems [6,7,8,9,10]. Since the isolation devices with elasto-plastic behaviors, such as the lead–rubber bearing, were used extensively in aseismic design [11], another attractive way to meet both seismic- and wind-resistant requirements is to allow the isolation system to yield under strong wind excitation. Under this condition, the fluctuating component of the superstructure response can be reduced significantly due to the additional hysteretic damping caused by the yielding of the isolation system [12]. The Japan Society of Seismic Isolation already developed guidelines for the wind-resistant design of base-isolated buildings, which recommends an analysis method for inelastic response [13]. In recent years, the innovative performance-based wind design framework, which can lead to potential improvements in structural performance and economics by allowing inelastic behavior under extreme wind excitations, also required the evaluation of performance objectives at various excitation levels, including the inelastic responses [14,15,16]. On the other hand, when the isolation system yields under strong wind excitation, the fluctuating components of the inelastic response in both along-wind and crosswind directions have strong non-Gaussian characteristics, and the mean wind load in the along-wind direction will cause the mean drift of the base displacement [12,17,18]. These unique properties of the wind-induced inelastic response are quite different from those of the traditional elastic response, which may result in the most unfavorable wind directions also being quite different from the traditional elastic response. Therefore, it is of great significance to re-clarify the influence of wind direction on the inelastic response of base-isolated high-rise buildings.
When the airflow moves around a high-rise building, it will produce instantaneous unsteady flow behavior and complex wind pressure distribution, which changes with the wind direction [19,20,21,22]. Therefore, the building should be designed to withstand wind-induced responses from any wind direction. For a fixed-base high-rise building with square section, previous studies show that the most unfavorable wind load and response occur when the wind blows perpendicular onto a building face, and the greatest translational response is likely to occur in the crosswind direction [23]. Several empirical formulas for calculating the wind loads in each translational direction are also presented in the load standards [24,25,26]. In addition, for complex or wind-sensitive buildings, the wind tunnel tests are also used to explore the most unfavorable wind directions [27,28,29,30]. These wind tunnel test results indicate that the most unfavorable response may also occur when the inclination angle of airflow to the body axis is not 0° [31], which helps engineers to make a more comprehensive judgment. Unfortunately, almost all the current studies focus only on analyzing the influence of wind direction on the wind load coefficients and wind-induced elastic responses, while the discussion on the effect of inelastic responses is relatively rare.
In this paper, the influence of wind direction on the inelastic responses of a square base-isolated high-rise building with a height of 200 m is analyzed based on synchronous pressure measurements. The hysteretic restoring force of the isolation system is represented by the bilinear Bouc–Wen model [32]. The isolated superstructure is modeled as a multi-degree of freedom (MDOF) system with linear elastic behavior and mass lumped at each floor [33]. The peak value of the inelastic response is estimated through a moment-based Hermit model from the underlying standard Gaussian process. In this study, the inelastic responses along two orthogonal translational directions are firstly calculated and compared separately under different wind incidence angles through response time history analysis. Then the combined inelastic response is also analyzed in order to determine the most unfavorable wind direction. The corresponding fixed-base building with the same parameters as the superstructure is also analyzed as a comparison. The results of this study are helpful to develop a better understanding of the most unfavorable wind direction of a wind-induced inelastic response, and some new findings different from those of the elastic response are also presented.

2. Analysis Framework

2.1. Equations of Motion

A base-isolated high-rise building, as well as the corresponding fixed-base building under different wind speeds and different wind directions are considered in this study. A Cartesian coordinate system with two orthogonal translational axes x, y and a vertical axis z, whose origin is the geometric center of the base, is used to describe the building system as shown in Figure 1, as typically done in the current literature [34]. The wind direction α = 0 ° is for wind blowing in the positive direction of x, and α = 90 ° is for wind blowing in the positive direction of y.
In this study, the dynamic behavior and hysteretic restoring force of the isolation system in each direction are assumed to be uncoupled. Therefore, the responses in each direction can also be considered separately. Since the torsional wind load is relatively small, it is difficult to yield in the torsional direction. Therefore, only the inelastic responses in two orthogonal translational directions, i.e., the x and y directions, are discussed in this study. The structural model used in this study is shown in Figure 2, where the displacement of superstructure, i.e., x i   i = 1 ,   2 , , N , is defined as the deformation relative to the isolation layer. The base displacement x b is defined relative to the ground.
The equation of motion of the corresponding fixed-base building is given by:
M x ¨ + C x ˙ + K x = F ( t )
where M ,   C ,   K are the N × N mass, damping, and stiffness matrices of the fixed-base building; x = x 1 , x 2 , , x N T is the story displacement vector; F t = F 1 t , F 2 t , , F N t T is the story wind force vector.
As the same building is isolated, as shown in Figure 2, the equation of motion of the superstructure becomes:
M r x ¨ b + M x ¨ + C x ˙ + K x = F ( t )
where r = 1 , 1 , , 1 T .
The equation of motion of the isolation system is given by:
m b + m x ¨ b + r T M x ¨ + c b x ˙ b + F s = r T F t
where m b and m = r T M r are the mass of the isolation system and the total mass of the superstructure, respectively; c b is the damping coefficient of the isolation system; F s is the restoring force provided by the isolation system [32,35]:
F s = α k b x b + 1 α k b z b
z ˙ b = A x ˙ b β x ˙ b z b n 1 z b γ x ˙ b z b n
where k b is the initial stiffness of the isolation system; α is the second stiffness ratio of the isolation system, which is defined as the post-yielding stiffness to the initial stiffness; z b is the hysteretic variable of the isolation system, in the linear elastic system z b = x b ; A , β , γ , n are Bouc–Wen hysteretic model parameters [32]; when β = γ , A = 1 , and n is large, the hysteretic displacement in Equation (5) can be described by the following bilinear hysteretic model [36]:
z ˙ b = x ˙ b 1 u ( z b x y ) u ( x ˙ b ) u ( z b x y ) u ( x ˙ b )
where u · is the unit step function; x y = A / β + γ 1 / n is the yield displacement. This model can also well represent the response characteristics of the lead–rubber bearings, which are the most commonly used isolation system. To simulate the behavior of seismic isolation devices more accurately, other models are available in the literatures [37,38].
The elastic displacement of the superstructure shown in Equations (2) and (3) can be expressed in first s ( s N ) modes of the corresponding fixed-base building:
x z i = j = 1 s ϕ j z i q j
where ϕ j is the jth mode shape of the corresponding fixed-base building. In this study, the value of s is N, that is, the contribution of all modes is considered.
Then the equation of motion of the superstructure and the isolation system shown in Equations (2) and (3) can be expressed as:
I 0 j x ¨ b + m j * q ¨ j + c j * q ˙ j + k j * q j = F j * ( t )                         ( j = 1 , 2 , , N )
m b + m x ¨ b + r T M j = 1 N ϕ j q ¨ j + c b x ˙ b + α k b x b + 1 α k b z b = F b t
where m j * , c j * , and k j * are the jth modal mass, modal damping, and modal stiffness of the fixed-base building, respectively; I 0 j = ϕ j T M r ; F b t = r T F t is the external force on the isolation system; F j * t = ϕ j T F t is the jth generalized wind force.
The equation of motion shown in Equations (8) and (9) can also be expressed in matrix format as:
M ¯ q ¨ + C ¯ q ˙ + K ¯ 1 q + K ¯ 2 z b = D ¯ 0 Q ( t )
where
M ¯ = 1 r T M ϕ 1 m b + m r T M ϕ N m b + m ϕ 1 T M r m 1 * I ϕ S T M r m N * ; I = 1 0 0 0 1 0 0 0 1 N × N ; q = x b ( t ) q 1 ( t ) q N ( t ) ; Q ( t ) = F b t F 1 * ( t ) F N * ( t ) ; C ¯ = diag ( 2 ω b ξ b ,   2 ω 1 ξ 1 , ,   2 ω N ξ N ) ; K ¯ 1 = diag ( α ω b 2 ,   ω 1 2 , ,   ω N 2 ) ; K ¯ 2 = 1 α ω b 2 ,   0 , , 0 T ; D ¯ 0 = diag ( 1 m b + m ,   1 m 1 * , ,   1 m N * ) ;
In the above formulas, ω b = k b / m b + m and ξ b = c b / 2 k b m b + m are the frequency and damping ratio of the base isolation system corresponding to the initial stiffness when the superstructure is assumed to be rigid; ω j and ξ j are the jth model frequency and damping ratio of the of the fixed-base building.
The equation of motion of the base-isolated high-rise building shown in Equation (10) can be expressed as a state-space equation as the following format and the response time history can be obtained by numerical integration.
v ˙ = g ( v ) + D ¯ Q ( t )
where
v = q q ˙ z b ;   g ( v ) = q ˙ M ¯ 1 C ¯ q ˙ M ¯ 1 K ¯ 1 q M ¯ 1 K ¯ 2 z b A x ˙ b β x ˙ b z b n 1 z b γ x ˙ b z b n ;   D ¯ = 0 M ¯ - 1 D ¯ 0 0 0 ;

2.2. Estimation of Peak Value through a Moment-Based Hermite Model

For a zero mean softening non-Gaussian process X t whose distribution tail is wider than that of a Gaussian process and kurtosis is larger than 3, its peak factor is also larger than that of a Gaussian process. This non-Gaussian process can also be regarded as a translation process with a memoryless monotonic translation from a standard Gaussian process U t as [39,40]:
x t / σ x = g u t = F X 1 Φ u t
where σ x is the standard deviation (STD) of X t ; g is the translation function; and F X and Φ are cumulative distribution functions (CDF) of X t and U t , respectively; F X 1 is the inverse function of F X .
The CDF of peak value of X t during time T is calculated from crossing the rate theory of the underlying Gaussian process as:
F X max x 0 = exp v X + x 0 T exp v x T exp g 1 x 2 / 2
where v X + x 0 is the mean upcrossing rate at level x 0 ; x = x 0 / σ X ; v x σ X ˙ / 2 π σ X = v 0 is the upcrossing rate of X t at zero mean; and σ X ˙ is the STD of X ˙ t .
The p-quantile value of extreme, i.e., F X max x p max = p , is then calculated by:
x p max = g u p max σ x u p max = 2 ln v 0 T / ln 1 / p
The memoryless translation function g u can also be expressed in terms of the following moment-based Hermite polynomial model to relate the zero mean softening non-Gaussian process to a standard Gaussian process [41]:
x / σ x = g u = κ u + h 3 u 2 1 + h 4 u 3 3 u
where the parameters h 3 and h 4 are determined to match the process skewness, and kurtosis, κ can be determined to ensure that x has a unit STD. The relation between these model parameters and statistical moments can be built as the following nonlinear equations [42]:
1 = κ 2 1 + 2 h 3 2 + 6 h 4 2 α 3 = 2 κ h 3 2 + κ 2 + 18 κ 2 h 4 + 42 κ 2 h 4 2 α 4 = 15 12 κ 4 + 288 264 κ 2 κ 2 h 4 + 936 864 κ 2 κ 2 h 4 2 432 κ 4 h 4 3 2808 κ 4 h 4 4
where α 3 and α 4 are skewness and kurtosis of the process, respectively.
For a softening non-Gaussian process with 3 < α 4 < 15 , which is sufficient to cover most of the softening non-Gaussian process, the following closed-form expression was suggested [43]:
κ = 1 1 + 2 h 3 2 + 6 h 4 2 ;                         h 3 = α 3 6 1 0.015 α 3 + 0.3 α 3 2 1 + 0.2 α 4 3 h 4 = h 40 1 1.43 α 3 2 α 4 3 1 0.1 α 4 0.8 ; h 40 = 1 1.25 α 4 3 1 / 3 1 10
For a standardized hardening non-Gaussian process with a kurtosis smaller than 3, the translation function can be approximated by replacing x and u in Equation (15) as [44]:
u = g 1 x = b 2 x + b 3 x 2 α 3 x 1 + b 4 x 3 α 4 x α 3
where b2, b3, and b4 are model parameters, which can be determined based on the skewness and kurtosis as follows [44,45]:
b 2 = φ 1 α 3 4 + 1.2 α 3 2 0.18 7.5 exp 0.5 α 4 b 3 = 0.8 α 3 5 + α 3 3 + 0.77 α 3 α 4 1 2 + 0.5 b 4 = φ 0.04 11.5 α 3 4 + 6.8 α 3 2 + 3.5 α 4 2 + 0.4 2 + 0.15
where φ = 1 0.06 3 α 4 1 / 3 .
Considering the monotone increasing property of the moment-based translation function and the accuracy of the close-form model parameters, the application region of a softening non-Gaussian process is approximated as:
3 + 1.25 α 3 2 α 4
In the case of a hardening non-Gaussian process, it leads to:
1.25 + 1.35 α 3 2 α 4

3. Modeling of Base-Isolated High-Rise Building

3.1. Building Parameters

A 50-story fixed-base high-rise building with a cross section of 40   m   × 40   m is chosen as an example. The total building height and story height are 200 m and 4 m, respectively. The building is modeled as a lumped mass system with a density of 192 kg/m3. The first modal frequency in each translational direction is assumed as f 1 = 46 / H = 0.23 Hz [46], where H is the building height. The first modal shape in each translational direction is assumed to be linear, i.e., ϕ 1 , i = z i / H . The story stiffness, which is assumed to vary over the building height is calculated from the fundamental natural frequency and first modal shape as
k i = ω 1 2 j = i N m j ϕ 1 , j ϕ 1 , i ϕ 1 , i 1
which results in the first three modal frequencies of the fixed-base building being 0.23, 0.56, and 0.89 Hz, respectively. As the Rayleigh damping of the superstructure results in undesirable suppression of the first mode response of the base-isolated building [47], the stiffness proportional damping is used in this study. The first modal damping ratio of the fixed-base building is assumed as 1%, so it gives the first three order damping ratios as 1%, 2.45%, and 3.87%, respectively.
The base isolation system consists of a damper system, which provides elasto-plastic restoring force and rubber bearings, which provide linear restoring force, as shown in Figure 3. The mass of the isolation system is m b = 4.08 × 10 5   kg . The damper system provides an initial stiffness of k b 1 = 4.8 × 10 5   kN / m , and yields at the deformation of x y = 0.025 m. The yield restoring force of the damper is 2% of the total building weight. The second stiffness of the isolation system is k b 2 = 6.8 × 10 4   kN / m and the initial stiffness of the isolation system is k b = k b 1 + k b 2 = 5.5 × 10 5   kN / m , that is, the second stiffness ratio is α = k b 2 / k b = 0.12 . It gives the first three modal frequencies of the base-isolated building as 0.21, 0.53, and 0.83 Hz with initial stiffness, and 0.14, 0.44, and 0.76 Hz with post stiffness, respectively. The additional linear damping ratio of the isolation system ξ b is assumed to be 0.15. Figure 4 shows the first three modal shapes of the base-isolated high-rise building with initial and post stiffness, which are normalized with the unit top displacement relative to base displacement. The result shows that, compared to the initial stiffness, the upper building has similar modal shapes, but the base displacement increases significantly when the post stiffness of the base isolation system is used.

3.2. Wind Force

The wind force used in this study was derived from the multiple point synchronous scanning of pressures on the building model surface in a wind tunnel at the Tokyo Polytechnic University [48]. The wind pressure data used in this study were carried out with a model scale of 1/400. Additionally, the power law exponent of the mean wind speed profile is 1/4. The size of the building model is 0.1 m × 0.1 m × 0.5 m . A total of 500 wind pressure taps were uniformly distributed on the four surfaces of the building model, as shown in Figure 5. The mean top wind speed in the wind tunnel is 11.14 m/s.
The sample frequency of the wind tunnel experiment is 1000 Hz, and a total of 32,768 sets of data were recorded during the time duration of 32.768 s. As the mean top wind speed of the full-scale building used in this study varies from 30 m/s to 80 m/s, the duration of the full-scale wind pressure recording ranges from 81 min to 30 min. The entire pressure data were divided into several 10 min samples to calculate the structural responses, which are then used for estimating their ensemble-averaged quantities.
The story wind forces are determined by integrating wind pressures within the tributary area. When there is no wind pressure tap located, the story wind force is determined by interpolating the story forces acting on the two adjacent stories. When analyzing the influence of wind direction, wind pressure is measured by rotating the model surface 5 degrees each time. The mean and STD of the modal force coefficients of the superstructure associated with the fundamental and second modes are presented in Table 1, which is defined as the ratio of the modal force to the wind speed pressure at the building top and the building frontal area, i.e., C j = F j * / 0.5 ρ U ¯ H 2 B H . Figure 6 shows the external wind force coefficients in different wind directions applied on the isolation system, where the coefficients are normalized by C b = F b / 0.5 ρ U ¯ H 2 B H .

4. Results and Discussions

The Runge–Kutta method is used to acquire the response history of each building model, which is solved by the ode45 function in MATLAB. Some other computationally efficient procedures can also be used to perform such nonlinear dynamic problems [49]. The initial state of the system is assumed to be static, that is, the initial displacement and velocity are both zero. In the following discussion, the superstructure displacement is relative to the isolation layer, and the base displacement is relative to the ground. The building acceleration is the absolute acceleration relative to the ground. The base and top displacement in each translational direction are denoted as x b ,   x t and y b ,   y t , respectively. Additionally, the top acceleration in each translational direction are denoted as x t ¨ , y ¨ t . When α = 0 ° , the x direction is the along-wind direction, and the y direction is the crosswind direction.

4.1. Inelastic Response Characteristics when α = 0 °

The first 900 s time histories of the building top and base responses are displayed in Figure 7 and Figure 8. The results indicate that when the wind force contains a non-zero mean component, the inelastic base displacement drifts with each yielding in the positive direction and vibrates at the new equilibrium position, just as shown in Figure 8d,f. This kind of inelastic displacement can be modeled as a zero mean fluctuating process due to dynamic effect with a time-varying mean component, and the steady-state mean displacement can be well estimated by the second stiffness of the isolation system and the mean wind force [11,16]. In addition, the time-varying mean base displacement reaches its steady-state value very fast at high wind speed, but experiences a long transient process when the wind speed is not high enough, just as shown in Figure 8d,f. In order to reduce the transient effect on the STD and peak value of the inelastic response at low wind speeds, the discrete wavelet transformation (DWT) method is used to remove the time-varying mean component of the response history. Symlets wavelets with an order of 8 and a DWT level of 12 are used in this study for extracting the drift component.
Figure 9 shows the restoring force–deformation relationship of the base isolation system. In this study, the yield of the isolation system can be observed in each translational direction when UH reaches 35 m/s. However, when the wind speed is not high enough, it is difficult for the isolation system to yield in the negative x direction, just as shown in Figure 9b.

4.2. Statistics of Inelastic Response When α = 0

The statistics of each response are determined based on each 10 min response history. Figure 10 shows the STD of displacement as a function of wind speed. It is evident that the STD of displacement in the y direction of each building model is larger than that in the x direction under the condition of high wind speed. Figure 10a also indicates that the STD of the inelastic top displacement of the base-isolated building is smaller than that of the corresponding fixed-base building due to the additional hysteretic damping of the isolation system after yielding and the additional linear damping of the isolation system.
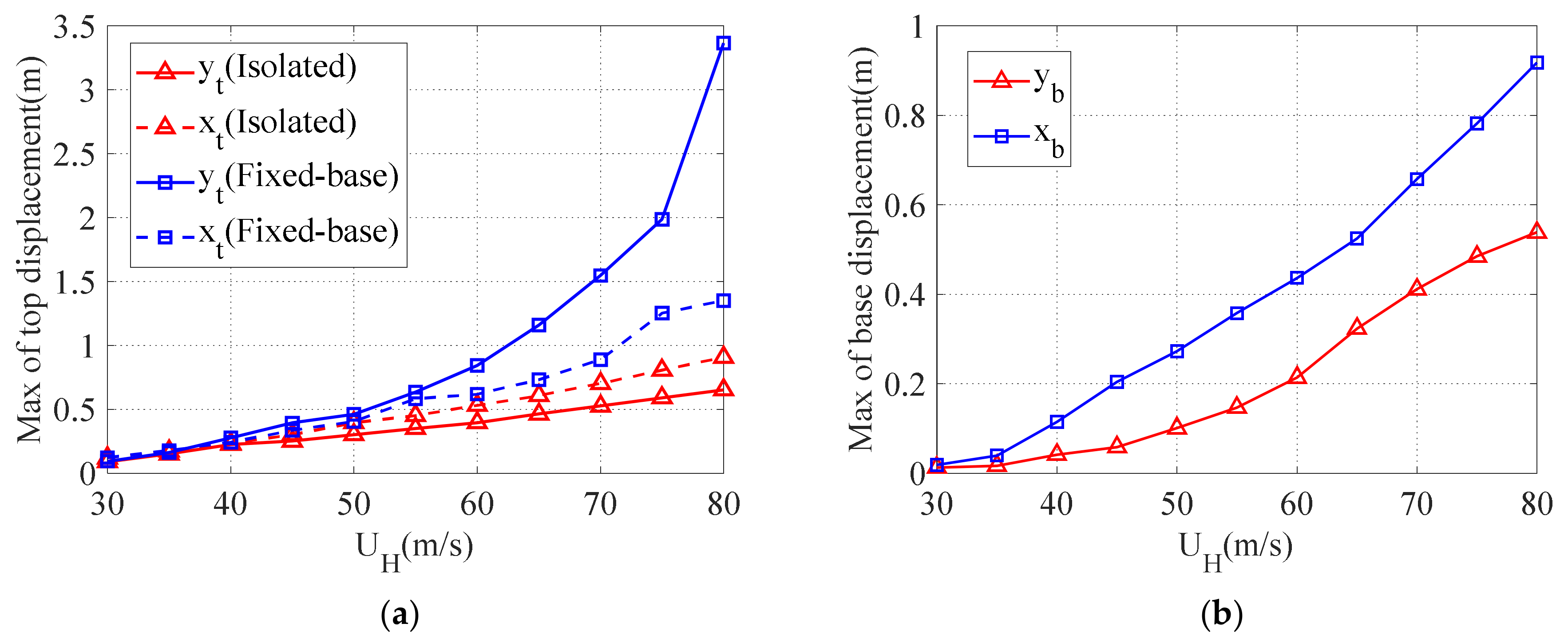
When the wind is blowing perpendicular onto a face of the traditional fixed-base high-rise building, previous studies showed that the peak value of the fluctuating component of displacement in the crosswind direction can be two to five times greater than that in the along-wind direction. Furthermore, even when the mean component of the along-wind displacement is taken into account, the peak displacement in the crosswind direction is still one to three times greater than the peak displacement in the along-wind direction [23]. Figure 11 portrays the peak values of base and top displacement at different wind speeds in this study. The peak value of the stochastic process is calculated by the Davenport formula as R max = R ¯ + g · σ R [50], where the non-Gaussian peak factor g is determined by Section 2.2, and the value of the mean displacement R ¯ is the steady-state mean. It can be found that the peak values of both the inelastic base and top displacement in the x direction of the base-isolated building are larger than those in the y direction, which is opposite to that of the fixed-base building. This phenomenon shows that the generally accepted belief proposed by Reinhold [23] mentioned before is no longer applicable to the wind-induced inelastic response of the base-isolated building, where the mean drift of the isolation system and the non-Gaussian characteristics need to be considered. The peak of the inelastic top displacement of the base-isolated building is smaller than that of the corresponding fixed-base building. The mean component of displacement in the x direction is shown in Figure 12, from which we can find that the mean top displacement of the base-isolated building is equal to that of the fixed-base building. Additionally, the deformation of the isolation system under the mean wind load increases very significantly after yielding.
Figure 13 shows the STD and peak value of top acceleration for each building model. The STD and peak value at each position in the y direction are larger than their x direction values. Under high wind speed, the acceleration of the base-isolated building is smaller than that of the fixed-base building.
Figure 14, Figure 15 and Figure 16 display the kurtosis and corresponding non-Gaussian peak factor, where the non-Gaussian peak factor is determined by Equations (15) and (18). As a comparison, the Gaussian peak factor of each response history is also calculated according to the Davenport method [50], and their values all range between 3.2 and 3.4 in this study. The results in Figure 14 and Figure 15 show that as the wind speed increases, the inelastic top displacement in the y direction of the isolated building has a weakly hardening non-Gaussian characteristic with a kurtosis smaller than three, and the peak factor is also smaller than the Gaussian peak factor. The top displacement in the two translational directions of the fixed-base building and the inelastic top displacement in the x direction of the isolated building all follow almost Gaussian distributions. The base displacement in both the x and y directions, as well as the top acceleration in the y direction of the isolated building, have a strong softening non-Gaussian characteristic with kurtosis greater than three, and the peak factors are also greater than the Gaussian peak factor. Additionally, the top acceleration in the x direction also shows a weakly softening non-Gaussian characteristic when the UH is larger than 70 m/s. Referring to Figure 10, Figure 11 and Figure 15, we can also find that the reason for the smaller inelastic top displacement in the y direction is determined to be the reduction in the peak factor due to the hardening non-Gaussian distributions. Unlike the top displacement, the larger value of base displacement in the x direction is mainly due to the contribution of drifted mean displacement.

4.3. Correlation Coefficient of Inelastic Response

The performance assessment of a building under strong wind excitation requires not only the peak value of the independent response components in each direction, but also the peak value of the combined response. Previous studies show that both the response statistics and the correlation coefficients of each combination component have strong influence on the peak value of the combined response [51,52]. The correlation coefficients of each response in the orthogonal translational x and y directions calculated using each 10 min response history are shown in Figure 17. It is noted that the correlation coefficients for each response can be ignored when α = 0 ° . With the increase in wind direction, the correlation coefficients of both the inelastic top displacement and top acceleration of the base-isolated building are negative, while the minimum value is about −0.3 to −0.4, which is similar to that of the traditional fixed-base building. For the inelastic base displacement of the isolated building, the correlation coefficient first decreases and then increases, which is similar to the correlation coefficient for the external wind load acting on the isolation system as shown in Equation (9). Additionally, the minimum correlation coefficient of base displacement is about −0.2 when α is 15° and the maximum positive correlation coefficient is about 0.4 when α is near 45°.

4.4. Influence of Wind Direction on the Inelastic Response

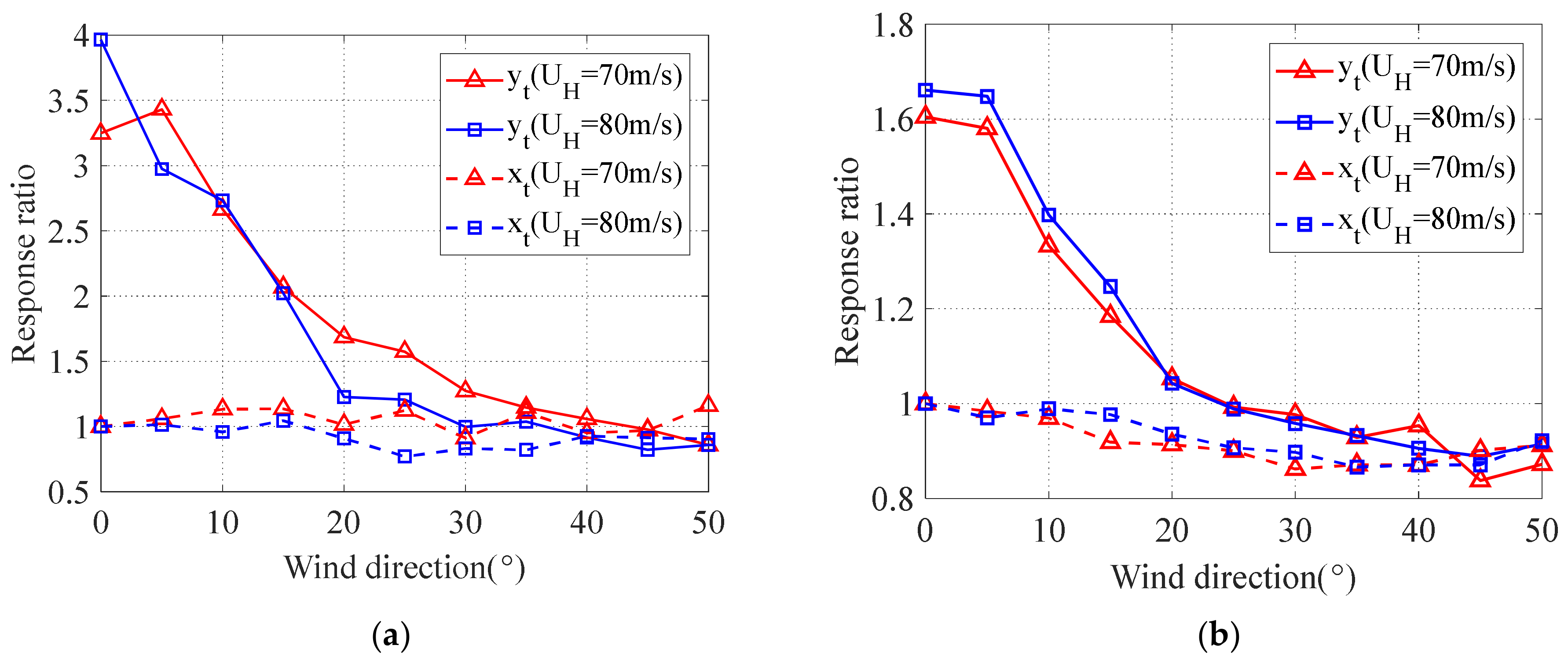
Figure 18 displays the comparison of the STD of the top displacement and acceleration in the x and y directions under different wind directions, which is expressed as ratios of STD under different wind incidence angles to STD in the x direction at configuration 0°. When α is around 0°, the STD of each response in the y direction is larger than that in the x direction. Additionally, when the wind incidence angle gradually increases to 45°, the STD in the two translational directions are almost equal to each other. It can also be found that the response ratio of top displacement of the fixed-base building is almost equal to the ratio of top acceleration, while the response ratio of the base-isolated building in the y direction will be significantly smaller.
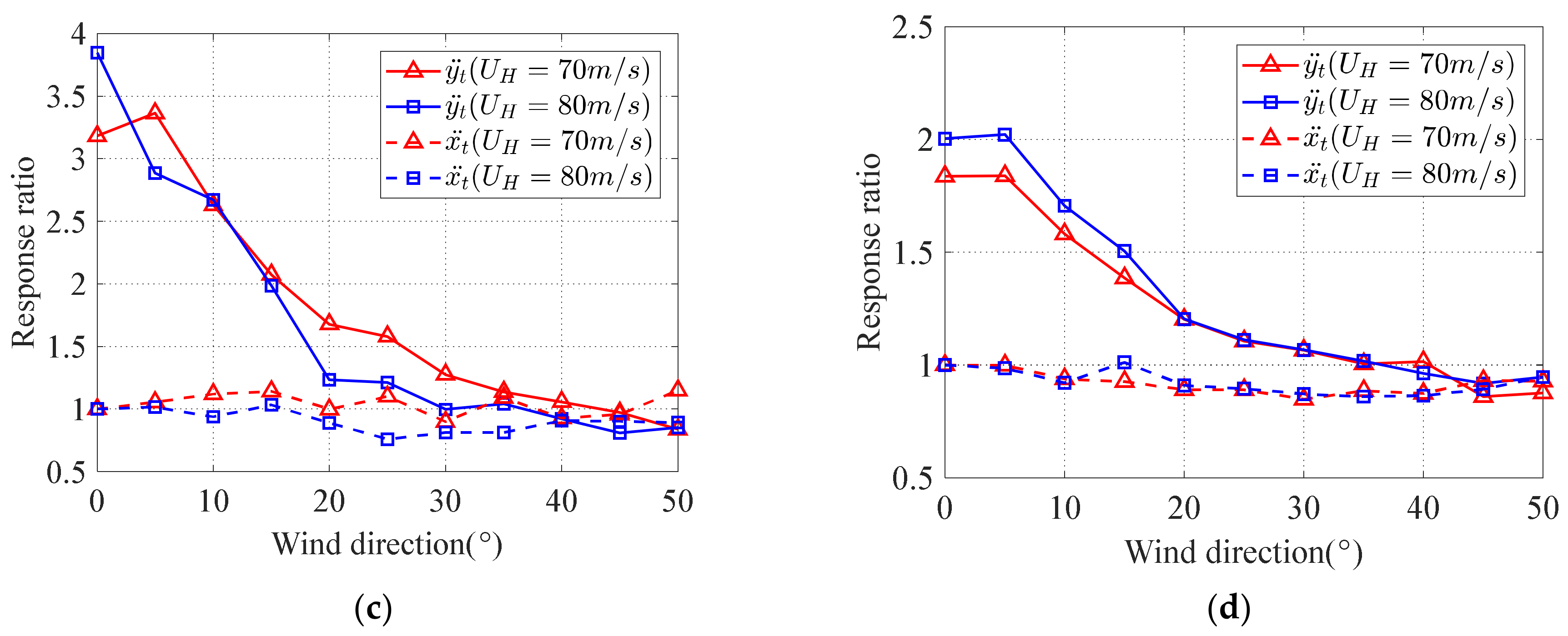
The response ratios of peak top displacement and acceleration are compared in a similar way in Figure 19. For the inelastic top acceleration of the base-isolated building, as well as the elastic top displacement and top acceleration of the fixed-base building, their most unfavorable wind direction is 0°, and their peak responses in the y direction are larger than that in the x direction. With the increase in wind direction, the peak responses in each translational direction gradually decrease until they are almost equal to each other around 45°. However, for the inelastic top displacement of the base-isolated building, the peak displacement in the y direction is smaller than that in the x direction. In addition, with the increase in the wind direction, the peak displacement in the y direction decreases first and then increases, and the maximum value is obtained around 45°. This significantly different response characteristic is mainly caused by the hysteretic damping and hardening non-Gaussian characteristic after the yielding of the isolation system. Therefore, it is no longer reasonable to determine the most unfavorable wind direction of the base-isolated building with hysteresis characteristics directly based on the peak displacement in each translational direction. The STD and peak value of the inelastic base displacement of the isolated building are also shown in Figure 20, from which we can see that the comparison result in the two translational directions is similar to the top displacement shown in Figure 18 and Figure 19.
In order to determine the most unfavorable wind direction of the inelastic response, especially the inelastic displacement, the peak value of the combined response is also discussed, as shown in Figure 21, where the combined response is determined from the two translational components, i.e., R t = x 2 t + y 2 t . It is observed that the greatest combined elastic top displacement of the fixed-base building occurs when the inclination angle of wind flow is 0°. The combined inelastic top and base displacement of the base-isolated building also reaches its maximum value when α = 0 . Even so, the combined inelastic displacements in other directions also show very large values, which is about 0.8–1 times that of the response at configuration 0°. Therefore, it is advisable to check the structural response in all directions when carrying out the wind resistance design of a base-isolated building under the inelastic design framework. The influence of wind direction on the inelastic top acceleration of the base-isolated building is similar to that of the fixed-base building, that is, the combined acceleration achieves its maximum value near 0°.

5. Conclusions

The inelastic response characteristics along two orthogonal translational directions, as well as the most unfavorable wind direction of a 50-story base-isolated high-rise building are discussed in this study based on synchronous pressure measurement. A fixed-base building with the same superstructure is also analyzed as a comparison. Some conclusions from this study are summarized as follows:
(1) After the yielding of the isolation system when α = 0 ° , the relative displacement and absolute acceleration of the superstructure in two orthogonal translational directions can be reduced significantly due to the hysteretic damping caused by yielding and the additional linear damping in the isolation system. The along-wind base displacement will drift with each yielding in the positive direction to its steady state. The inelastic base displacement in both two translational directions, as well as the inelastic top acceleration in the crosswind direction of the base-isolated building, all have strong softening non-Gaussian characteristics with kurtosis greater than 3. Additionally, the inelastic top acceleration and top displacement in the along-wind direction of the base-isolated building follow almost Gaussian distributions, which is similar to the responses of the fixed-base building. However, the inelastic top displacement in the crosswind direction shows weakly hardening non-Gaussian distribution. These inelastic characteristics lead to the greatest inelastic displacement both at the top and isolation level of the square section base-isolated high-rise building to occur in the along-wind direction, which is quite different from that of the traditional fixed-base building. Meanwhile, the most unfavorable inelastic acceleration of the isolated building still occurs in the crosswind direction, which is the same as that of the traditional fixed-base building.
(2) When α = 0 ° , the correlation coefficients for both the inelastic response of the base-isolated building and the elastic response of the fixed-base building can be ignored. With the increase in wind direction, the correlation coefficients of the top displacement and top acceleration of both the base-isolated and fixed-base buildings are all less than 0, and the minimum value is about −0.3 to −0.4. The correlation coefficient of the inelastic base displacement of the isolated building first decreases and then increases, which is similar to that of the external wind load acting on the isolation system.
(3) The largest combined inelastic displacement and acceleration of the base-isolated building is still likely to occur when the inclination angle of wind flow is 0°, which is the same as the traditional fixed-base building. However, the combined inelastic displacements in other directions also show very large values. Therefore, it is advisable to have the inelastic response of a base-isolated building checked in all directions.
However, the results presented in this paper are limited to the along-wind and crosswind responses with a bilinear isolator model. Much more accurate hysteretic models, such as biaxial hysteretic models that are capable of taking into account the interaction between the isolators’ restoring forces, are theoretically meaningful and will be performed in future works.

Author Contributions

Conceptualization, H.P. and Q.Y.; methodology, H.P., M.L. and Y.H.; software, H.P. and Y.H.; validation, M.L. and B.C.; investigation, H.P.; resources, Q.Y. and B.C.; writing—original draft preparation, H.P.; writing—review and editing, Q.Y. and M.L.; visualization, Y.H.; supervision, Q.Y. and M.L.; project administration, Q.Y.; funding acquisition, Q.Y. All authors have read and agreed to the published version of the manuscript.

Funding

This research was funded by the 111 project of the Ministry of Education and the Bureau of Foreign Experts of China, grant number B18062; the National Natural Science Foundation of China, grant number 51720105005 and the Chongqing Science and Technology Bureau, grant number cstc2019yszx-jcyjX0005.

Institutional Review Board Statement

Not applicable.

Informed Consent Statement

Not applicable.

Data Availability Statement

Supplementary data to this study are available on request from the corresponding author.

Acknowledgments

The Aerodynamic database of high-rise buildings provided by the Tokyo Polytechnic University is really appreciated.

Conflicts of Interest

The authors declare no conflict of interest.

References

  1. Chimamphant, S.; Kasai, K. Comparative response and performance of base-isolated and fixed-base structures. Earthq. Eng. Struct. Dyn. 2016, 45, 5–27. [Google Scholar] [CrossRef]
  2. Kasai, K.; Matsuda, K. Significant building response records from the 2011 Tohoku earthquake and the implications for seismic designs and analysis. In Proceedings of the SMIP 13 Seminar on Utilization of Strong-Motion Data, Los Angeles, CA, USA, 10 October 2013. [Google Scholar]
  3. Li, Z.; Huang, G.; Chen, X.; Zhou, Y.; Yang, Q. Wind-resistant design and equivalent static wind load of base-isolated tall building: A case study. Eng. Struct. 2020, 212, 110533. [Google Scholar] [CrossRef]
  4. Roy, T.; Saito, T.; Matsagar, V. Multihazard framework for investigating high-rise base-isolated buildings under earthquakes and long-duration winds. Earthq. Eng. Struct. Dyn. 2020, 18, 1201–1217. [Google Scholar] [CrossRef]
  5. Henderson, P.; Novak, M. Response of base-isolated buildings to wind loading. Earthq. Eng. Struct. Dyn. 1989, 18, 1201–1217. [Google Scholar] [CrossRef]
  6. Chen, Y.; Ahmadi, G. Wind effects on base-isolated structures. J. Eng. Mech. 1992, 118, 1708–1727. [Google Scholar] [CrossRef]
  7. Kareem, A. Modelling of base-isolated buildings with passive dampers under winds. J. Wind. Eng. Ind. Aerod. 1997, 72, 323–333. [Google Scholar] [CrossRef]
  8. Vulcano, A. Comparative study of the earthquake and wind dynamic responses of base-isolated buildings. J. Wind. Eng. Ind. Aerod. 1998, 74, 751–764. [Google Scholar] [CrossRef]
  9. Liang, B.; Xiong, S.; Tang, J. Wind effects on habitability of base-isolated buildings. J. Wind. Eng. Ind. Aerod. 2002, 90, 1951–1958. [Google Scholar] [CrossRef]
  10. Chen, Y.; Sato, D.; Kou, M.; She, J. Estimating the maximum response and maximum control force for high-rise base-isolated buildings with active structural control in along-wind direction. Eng. Struct. 2020, 216, 110712. [Google Scholar] [CrossRef]
  11. Jangid, R.S. Optimum lead–rubber isolation bearings for near-fault motions. Eng. Struct. 2007, 29, 2503–2513. [Google Scholar] [CrossRef]
  12. Feng, C.; Chen, X. Evaluation and characterization of probabilistic alongwind and crosswind responses of base-isolated tall buildings. J. Eng. Mech. 2019, 145, 04019097. [Google Scholar] [CrossRef]
  13. JSSI. Guidelines for Wind-Resistant Design of Base-Isolated Buildings; Japan Society of Seismic Isolation: Tokyo, Japan, 2017. [Google Scholar]
  14. ASCE. Prestandard for Performance-Based Wind Design; American Society of Civil Engineers: Reston, VA, USA, 2019. [Google Scholar]
  15. Bezabeh, M.A.; Bitsuamlak, G.T.; Tesfamariam, S. Performance-based wind design of tall buildings: Concepts, frameworks, and opportunities. Wind. Struct. 2020, 31, 103–142. [Google Scholar]
  16. Jeong, S.Y.; Alinejad, H.; Kang, T.H.K. Performance-Based Wind Design of High-Rise Buildings Using Generated Time-History Wind Loads. J. Struct. Eng. 2021, 147, 04021134. [Google Scholar] [CrossRef]
  17. Feng, C.; Chen, X. Inelastic responses of wind-excited tall buildings: Improved estimation and understanding by statistical linearization approaches. Eng. Struct. 2018, 159, 141–154. [Google Scholar] [CrossRef]
  18. Huang, J.; Chen, X. Inelastic Performance of High-Rise Buildings to Simultaneous Actions of Alongwind and Crosswind Loads. J. Struct. Eng. 2022, 148, 04021258. [Google Scholar] [CrossRef]
  19. Kawai, H. Effects of angle of attack on vortex induced vibration and galloping of tall buildings in smooth and turbulent boundary layer flows. J. Wind. Eng. Ind. Aerod. 1995, 54, 125–132. [Google Scholar] [CrossRef]
  20. Yen, S.C.; Yang, C.W. Flow patterns and vortex shedding behavior behind a square cylinder. J. Wind. Eng. Ind. Aerod. 2011, 99, 868–878. [Google Scholar] [CrossRef]
  21. McClean, J.F.; Sumner, D. An experimental investigation of aspect ratio and incidence angle effects for the flow around surface-mounted finite-height square prisms. J. Fluids. Eng. 2014, 136, 081206. [Google Scholar] [CrossRef]
  22. Unnikrishnan, S.; Ogunremi, A.; Sumner, D. The effect of incidence angle on the mean wake of surface-mounted finite-height square prisms. Int. J. Heat Fluid Flow 2017, 66, 137–156. [Google Scholar] [CrossRef]
  23. Reinhold, T.A.; Sparks, P.R. The influence of wind direction on the response of a square-section tall building. In Proceedings of the Fifth International Conference on Wind Engineering, New York, NY, USA, 8–14 July 1979. [Google Scholar]
  24. AIJ-2004; AIJ Recommendations for Load on Buildings. Architectural Institute of Japan: Tokyo, Japan, 2004.
  25. ASCE-7; Minimum Design Loads and Associated Criteria for Buildings and Other Structures. American Society of Civil Engineers: Reston, VA, USA, 2017.
  26. GB 50009-2012; Load Code for Design of Building Structures. China Architecture & Building Press: Beijing, China, 2012.
  27. Zhi, L.H. Spectral Characteristics and Correlation of Dynamic Wind Loads of a Typical Super-tall Building. Appl. Mech. Mater. 2013, 351, 347–350. [Google Scholar] [CrossRef]
  28. Yi, J.; Li, Q.S. Wind tunnel and full-scale study of wind effects on a super-tall building. J. Fluid. Struct. 2015, 58, 236–253. [Google Scholar] [CrossRef]
  29. Aly, A.M. Influence of turbulence, orientation, and site configuration on the response of buildings to extreme wind. Sci. World. J. 2014, 2014, 178465. [Google Scholar] [CrossRef] [Green Version]
  30. Zheng, C.; Xie, Y.; Khan, M.; Wu, Y.; Liu, J. Wind-induced responses of tall buildings under combined aerodynamic control. Eng. Struct. 2018, 175, 86–100. [Google Scholar] [CrossRef]
  31. Zhang, Z.W.; Quan, Y.; Gu, M.; To, A. Influence of Wind Direction on Wind-induced response of Tall Buildings with rectangular Section. In Proceedings of the 9th Asia-Pacific Conference on Wind Engineering, Auckland, New Zealand, 3–7 December 2017. [Google Scholar]
  32. Wen, Y.K. Method for random vibration of hysteretic systems. J. Eng. Mech. Div. 1976, 102, 249–263. [Google Scholar] [CrossRef]
  33. Polycarpou, P.C.; Komodromos, P. Earthquake-induced poundings of a seismically isolated building with adjacent structures. Eng. Struct. 2010, 32, 1937–1951. [Google Scholar] [CrossRef]
  34. Vaiana, N.; Sessa, S.; Paradiso, M.; Marmo, F.; Rosati, L. An efficient computational strategy for nonlinear time history analysis of seismically base-isolated structures. In Proceedings of the AIMETA 2019-XXIV Congresso dell’Associazione Italiana di Meccanica Teorica e Applicata, Rome, Italy, 15–19 September 2019. [Google Scholar]
  35. Nagarajaiah, S.; Reinhorn, A.M.; Constantinou, M.C. Nonlinear dynamic analysis of 3-D-base-isolated structures. J. Struct. Eng. 1991, 117, 2035–2054. [Google Scholar] [CrossRef] [Green Version]
  36. Lutes, L.D.; Sarkani, S. Random Vibrations: Analysis of Structural and Mechanical Systems; Butterworth-Heinemann: Burlington, MA, USA, 2004. [Google Scholar]
  37. Vaiana, N.; Marmo, F.; Sessa, S.; Rosati, L. Modeling of the hysteretic behavior of wire rope isolators using a novel rate-independent model. In Proceedings of the First International Nonlinear Dynamics Conference, University of Rome, Roma, Italy, 17–20 February 2019. [Google Scholar]
  38. Pellecchia, D.; Feudo, S.L.; Vaiana, N.; Dion, J.L.; Rosati, L. A procedure to model and design elastomeric-based isolation systems for the seismic protection of rocking art objects. Comput. Aided Civ. Infrastruct. Eng. 2021, 37, 1298–1315. [Google Scholar] [CrossRef]
  39. Grigoriu, M. Crossings of non-Gaussian translation processes. J. Eng. Mech. 1984, 110, 610–620. [Google Scholar] [CrossRef]
  40. Liu, M.; Chen, X.; Yang, Q. Estimation of peak factor of non-Gaussian wind pressures by improved moment-based Hermite model. J. Eng. Mech. 2017, 143, 06017006. [Google Scholar] [CrossRef]
  41. Winterstein, S.R. Nonlinear vibration models for extremes and fatigue. J. Eng. Mech. 1988, 114, 1772–1790. [Google Scholar] [CrossRef]
  42. Ditlevsen, O.; Mohr, G.; Hoffmeyer, P. Integration of non-Gaussian fields. Probabilistic Eng. Mech. 1996, 11, 15–23. [Google Scholar] [CrossRef]
  43. Winterstein, S.R.; Kashef, T. Moment-based load and response models with wind engineering applications. J. Sol. Energy. Eng. 2000, 122, 122–128. [Google Scholar] [CrossRef]
  44. Ding, J.; Chen, X. Assessment of methods for extreme value analysis of non-Gaussian wind effects with short-term time history samples. Eng. Struct. 2014, 80, 75–88. [Google Scholar] [CrossRef]
  45. Ding, J.; Chen, X. Moment-based translation model for hardening non-Gaussian response processes. J. Eng. Mech. 2016, 142, 06015006. [Google Scholar] [CrossRef]
  46. Ellis, B.R. An assessment of the accuracy of predicting the fundamental natural frequencies of buildings and the implications concerning the dynamic analysis of structures. Proc. Inst. Civ. Eng. 1980, 69, 763–776. [Google Scholar]
  47. Ryan, K.L.; Polanco, J. Problems with Rayleigh damping in base-isolated buildings. J. Struct. Eng. 2008, 134, 1780–1784. [Google Scholar] [CrossRef]
  48. Tokyo Polytechnic University. Aerodynamic Database of High-Rise Buildings. Available online: http://wind.arch.t-kougei.ac.jp/system/eng/contents/code/tpu (accessed on 11 December 2021).
  49. Vaiana, N.; Sessa, S.; Marmo, F.; Rosati, L. Nonlinear dynamic analysis of hysteretic mechanical systems by combining a novel rate-independent model and an explicit time integration method. Nonlinear Dyn. 2019, 98, 2879–2901. [Google Scholar] [CrossRef]
  50. Davenport, A.G. Gust loading factors. J. Struct. Div. 1967, 93, 11–34. [Google Scholar] [CrossRef]
  51. Chen, X.; Huang, G. Evaluation of peak resultant response for wind-excited tall buildings. Eng. Struct. 2009, 31, 858–868. [Google Scholar] [CrossRef]
  52. Gong, K.; Chen, X. Estimating extremes of combined two Gaussian and non-Gaussian response processes. Int. J. Struct. Stab. Dyn. 2014, 14, 1350076. [Google Scholar] [CrossRef]
Figure 1. Coordinate system and wind direction.
Figure 1. Coordinate system and wind direction.
Buildings 12 01208 g001
Figure 2. Base-isolated building model.
Figure 2. Base-isolated building model.
Buildings 12 01208 g002
Figure 3. Bilinear hysteretic restoring model.
Figure 3. Bilinear hysteretic restoring model.
Buildings 12 01208 g003
Figure 4. Modal shapes of the base-isolated building: (a) initial stiffness; (b) post stiffness.
Figure 4. Modal shapes of the base-isolated building: (a) initial stiffness; (b) post stiffness.
Buildings 12 01208 g004
Figure 5. Experimental model with pressure taps.
Figure 5. Experimental model with pressure taps.
Buildings 12 01208 g005
Figure 6. Wind force coefficients of isolation system.
Figure 6. Wind force coefficients of isolation system.
Buildings 12 01208 g006
Figure 7. Time history samples of top response: (a) displacement in the y direction, UH = 30 m/s; (b) displacement in the x direction, UH = 30 m/s; (c) displacement in the y direction, UH = 80 m/s; (d) displacement in the x direction, UH = 80 m/s; (e) acceleration in the y direction, UH = 80 m/s; and (f) acceleration in the x direction, UH = 80 m/s.
Figure 7. Time history samples of top response: (a) displacement in the y direction, UH = 30 m/s; (b) displacement in the x direction, UH = 30 m/s; (c) displacement in the y direction, UH = 80 m/s; (d) displacement in the x direction, UH = 80 m/s; (e) acceleration in the y direction, UH = 80 m/s; and (f) acceleration in the x direction, UH = 80 m/s.
Buildings 12 01208 g007aBuildings 12 01208 g007b
Figure 8. Time history samples of base displacement: (a) displacement in y direction, UH = 30 m/s; (b) displacement in x direction, UH = 30 m/s; (c) displacement in y direction, UH = 45 m/s; (d) displacement in x direction, UH = 45 m/s; (e) displacement in y direction, UH = 80 m/s; (f) and displacement in x direction, UH = 80 m/s.
Figure 8. Time history samples of base displacement: (a) displacement in y direction, UH = 30 m/s; (b) displacement in x direction, UH = 30 m/s; (c) displacement in y direction, UH = 45 m/s; (d) displacement in x direction, UH = 45 m/s; (e) displacement in y direction, UH = 80 m/s; (f) and displacement in x direction, UH = 80 m/s.
Buildings 12 01208 g008
Figure 9. Restoring force–deformation relation of the base isolation system: (a) y direction, UH = 45 m/s; (b) x direction, UH = 45 m/s; (c) y direction, UH = 80 m/s; and (d) x direction, UH = 80 m/s.
Figure 9. Restoring force–deformation relation of the base isolation system: (a) y direction, UH = 45 m/s; (b) x direction, UH = 45 m/s; (c) y direction, UH = 80 m/s; and (d) x direction, UH = 80 m/s.
Buildings 12 01208 g009
Figure 10. STD of building displacement: (a) top displacement; (b) base displacement.
Figure 10. STD of building displacement: (a) top displacement; (b) base displacement.
Buildings 12 01208 g010
Figure 11. Peak value of building displacement: (a) top displacement; (b) base displacement.
Figure 11. Peak value of building displacement: (a) top displacement; (b) base displacement.
Buildings 12 01208 g011
Figure 12. Mean of building displacement.
Figure 12. Mean of building displacement.
Buildings 12 01208 g012
Figure 13. STD and peak value of top acceleration: (a) STD; (b) peak value.
Figure 13. STD and peak value of top acceleration: (a) STD; (b) peak value.
Buildings 12 01208 g013
Figure 14. Kurtosis of building displacement: (a) top displacement; (b) base displacement.
Figure 14. Kurtosis of building displacement: (a) top displacement; (b) base displacement.
Buildings 12 01208 g014
Figure 15. Peak factor of building displacement: (a) top displacement; (b) base displacement.
Figure 15. Peak factor of building displacement: (a) top displacement; (b) base displacement.
Buildings 12 01208 g015
Figure 16. Kurtosis and peak factor of top acceleration: (a) kurtosis; (b) peak factor.
Figure 16. Kurtosis and peak factor of top acceleration: (a) kurtosis; (b) peak factor.
Buildings 12 01208 g016
Figure 17. Correlation coefficient: (a) top displacement; (b) base displacement. (c) Top acceleration.
Figure 17. Correlation coefficient: (a) top displacement; (b) base displacement. (c) Top acceleration.
Buildings 12 01208 g017aBuildings 12 01208 g017b
Figure 18. Response ratio of the STD of the top response to the STD of the top response in the x direction at configuration 0°: (a) top displacement of fixed-base building; (b) top displacement of the base-isolated building; (c) top acceleration of fixed-base building; and (d) top acceleratrion of the base-isolated building.
Figure 18. Response ratio of the STD of the top response to the STD of the top response in the x direction at configuration 0°: (a) top displacement of fixed-base building; (b) top displacement of the base-isolated building; (c) top acceleration of fixed-base building; and (d) top acceleratrion of the base-isolated building.
Buildings 12 01208 g018aBuildings 12 01208 g018b
Figure 19. Response ratio of peak top responses to peak top response in the x direction at configuration 0°: (a) top displacement of fixed-base building; (b) top displacement of the base-isolated building; (c) top acceleration of fixed-base building; (d) top acceleratrion of the base-isolated building.
Figure 19. Response ratio of peak top responses to peak top response in the x direction at configuration 0°: (a) top displacement of fixed-base building; (b) top displacement of the base-isolated building; (c) top acceleration of fixed-base building; (d) top acceleratrion of the base-isolated building.
Buildings 12 01208 g019aBuildings 12 01208 g019b
Figure 20. Response ratio of base displacement to that in the x direction at configuration 0°: (a) STD of the base-isolated building; (b) peak of the base-isolated building.
Figure 20. Response ratio of base displacement to that in the x direction at configuration 0°: (a) STD of the base-isolated building; (b) peak of the base-isolated building.
Buildings 12 01208 g020
Figure 21. Response ratio of the combined response to that at configuration 0°: (a) top displacement; (b) base displacement; and (c) top acceleration.
Figure 21. Response ratio of the combined response to that at configuration 0°: (a) top displacement; (b) base displacement; and (c) top acceleration.
Buildings 12 01208 g021
Table 1. Modal force coefficients.
Table 1. Modal force coefficients.
Angle   α
(°)
Mean CoefficientsSTD Coefficients
c ¯ 1 x c ¯ 2 x c ¯ 1 y c ¯ 2 y C 1 x C 2 x C 1 y C 2 y
00.59−0.130.000.000.140.050.180.07
50.60−0.13−0.030.000.130.050.170.07
100.57−0.12−0.060.010.140.050.140.06
150.58−0.13−0.020.010.120.040.120.06
200.57−0.130.07−0.010.120.040.100.05
250.56−0.130.17−0.030.120.040.100.04
300.55−0.130.25−0.050.110.040.100.04
350.52−0.120.33−0.080.110.040.100.04
400.50−0.120.40−0.090.100.040.100.04
450.46−0.110.44−0.100.100.040.100.04
500.42−0.100.49−0.110.100.040.100.04
Publisher’s Note: MDPI stays neutral with regard to jurisdictional claims in published maps and institutional affiliations.

Share and Cite

MDPI and ACS Style

Pang, H.; Yang, Q.; Liu, M.; Hui, Y.; Cheng, B. The Influence of Wind Direction on the Inelastic Responses of a Base-Isolated Square Section High-Rise Building. Buildings 2022, 12, 1208. https://doi.org/10.3390/buildings12081208

AMA Style

Pang H, Yang Q, Liu M, Hui Y, Cheng B. The Influence of Wind Direction on the Inelastic Responses of a Base-Isolated Square Section High-Rise Building. Buildings. 2022; 12(8):1208. https://doi.org/10.3390/buildings12081208

Chicago/Turabian Style

Pang, Huawei, Qingshan Yang, Min Liu, Yi Hui, and Baolong Cheng. 2022. "The Influence of Wind Direction on the Inelastic Responses of a Base-Isolated Square Section High-Rise Building" Buildings 12, no. 8: 1208. https://doi.org/10.3390/buildings12081208

APA Style

Pang, H., Yang, Q., Liu, M., Hui, Y., & Cheng, B. (2022). The Influence of Wind Direction on the Inelastic Responses of a Base-Isolated Square Section High-Rise Building. Buildings, 12(8), 1208. https://doi.org/10.3390/buildings12081208

Note that from the first issue of 2016, this journal uses article numbers instead of page numbers. See further details here.

Article Metrics

Back to TopTop