Load versus Strain Relationships of Single and Continuous Span Full-Scale Pre-cast Prestressed Concrete Girders for Monorail Systems
Abstract
:1. Introduction
2. Construction Details of Girder Specimens
3. Material Properties
4. Preparation of Specimens
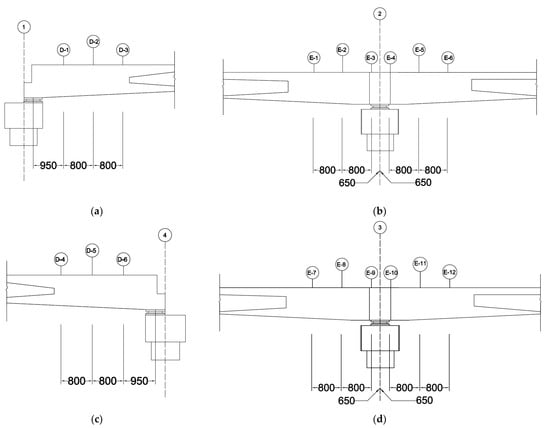
5. Instrumentation Details
6. Load Setup
7. Experimental Results
7.1. Strain-Longitudinal Steel Bars
7.1.1. Specimen SP-1
Loading Setup SP-1-L01
Loading Setup SP-1-L02
Loading Setup SP-1-L03
Loading Setup SP-1-L04
7.1.2. Specimen SP-2
7.1.3. Specimen SP-3
7.2. Comparison of Longitudinal Steel Strains
7.2.1. Comparison under Two-Point Service Loads
Comparison between SP-1-L02 and SP-2-L01
Comparison between SP-1-L01 and SP-3-L01
7.2.2. Comparison under Four-Point Service Loads for SP-1 and Two-Point Service Loads for SP-2 and SP-3
Comparison between SP-1-L03 and SP-2-L01
Comparison between SP-1-L03 and SP-3-L01
7.2.3. Comparison under Four-Point Ultimate Loads for SP-1 and Two-Point Ultimate Loads for SP-2 and SP-3
Comparison between SP-1-L04 and SP-2-L02
Comparison between SP-1-L04 and SP-3-L02
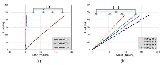
7.3. Transverse Reinforcement Strains
7.3.1. Specimen SP-1
Loading Setup SP-1-L01
Loading Setup SP-1-L02
Loading Setup SP-1-L03
Loading Setup SP-1-L04
7.3.2. Specimen SP-2
7.3.3. Specimen SP-3
7.4. Comparison of Stirrup Strain
7.4.1. Comparison under Two-Point Service Load
Comparison between SP-1-L02 and SP-2-L01
Comparison between SP-1-L01 and SP-3-L01
7.4.2. Comparison under Four-Point Service Load
Comparison between SP-1-L03 and SP-2-L01
Comparison between SP-1-L03 and SP-3-L01
7.4.3. Comparison under Four-Point Ultimate Load
Comparison between SP-1-L04 and SP-2-L02
Comparison between SP-1-L04 and SP-3-L02
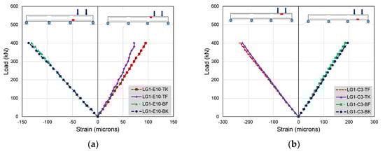
7.5. Tendon Strains
7.5.1. Tendon Strains in Specimen SP-1
Loading Setup SP-1-L01
Loading Setup SP-1-L02
Loading Setup SP-1-L03
Loading Setup SP-1-L04
7.5.2. Tendon Strains in Specimen SP-2
7.5.3. Tendon Strains in Specimen SP-3
7.6. Comparison of Tendon Strains
7.6.1. Comparison of Tendon Strains under Two-Point Service Loads
Comparison between Loading Setup SP-1-L01 and SP-3-L01
Comparison between Loading Setup SP-1-L01 and SP-2-L01
7.6.2. Comparison of Tendon Strains under Four-Point Service Loads
Comparison between Loading Setup SP-1-L03 and SP-3-L01
Comparison between Loading Setup SP-1-L03 and SP-2-L01
7.6.3. Comparison of Tendon Strains under Four-Point Ultimate Loads
Comparison between Loading Setup SP-1-L04 and SP-3-L02
Comparison between Loading Setup SP-1-L04 and SP-2-L02
7.7. Ultimate Deflections and Failure Modes
8. Conclusions
- Strains within longitudinal steel bars, stirrups, and prestressing tendons were limited well below their corresponding yield limits under service loads. This was observed for all three specimens considered in this study.
- Under two-point service loads, maximum longitudinal steel strains recorded in FPP were higher than those recorded at corresponding locations in the FPPC girder. This observation was found to be consistent, irrespective of whether the strains were positive or negative. It is worth mentioning that the highest longitudinal steel strains were recorded in specimen SP-3, followed by SP-2 and SP-1, respectively. A similar trend was observed for longitudinal steel strains under four-point service loads on specimen SP-1 and two-point service loads on specimens SP-2 and SP-3.
- At ultimate loads, longitudinal steel strains (positive and negative) in specimen SP-1 did not reach their yield values. However, corresponding steel strains in specimen SP-2 (i.e., flexure dominated) reached yield values in both positive and negative directions. Finally, specimen SP-3 (i.e., shear dominated) was able to mobilize yield strain in the positive direction only under ultimate load.
- For two-point loads limited to service limits, maximum stirrup strains were negligible in all specimens. At ultimate loads, the highest stirrup strains were recorded in specimen SP-1, i.e., three-span girder, within stirrups located at its exterior supports. Nonetheless, those values were lower than the yield strain of stirrups.
- Under two and four-point service loads, higher tendon strains were usually recorded in specimen SP-3 than those recorded at corresponding locations in specimen SP-1. A similar comparison under similar load levels revealed comparable tendon strains in specimens SP-1 and SP-2.
- Under ultimate loads, both single-span specimens achieved substantially higher tendon strains than those recorded at the corresponding locations in three-span specimen SP-1. However, maximum tendon strains in specimen SP-3 and exterior span of SP-1 were lower than the yield strain of tendons. This was not true for the interior span of specimen SP-1 and specimen SP-2, where tendon strain reached values significantly higher than yield strains. Nonetheless, the maximum tendon strain recorded within SP-1 was noticeably lower than that recorded in specimen SP-2.
Author Contributions
Funding
Informed Consent Statement
Acknowledgments
Conflicts of Interest
References
- Liu, X.; Liu, P.; Wang, Q.; Long, L. Feasibility Analysis on Application of Modified Concrete Contains Rubber Powder of Straddle Type Monorail Train Waste Tire. Procedia Environ. Sci. 2016, 31, 804–811. [Google Scholar] [CrossRef] [Green Version]
- Manoratna, D.A.; Kawata, K.; Yoshida, Y. Environmental Impact and Travel Time Savings of a New Monorail System in Colombo’s Commuting Traffic. Transp. Res. Part D Transp. Environ. 2017, 51, 122–128. [Google Scholar] [CrossRef]
- Kuwabara, T.; Hiraishi, M.; Goda, K.; Okamoto, S.; Ito, A.; Sugita, Y. New Solution for Urban Traffic: Small-Type Monorail System. In Proceedings of the 10th International Conference on Automated People Movers, Orlando, FL, USA, 1–4 May 2005. [Google Scholar]
- Yildiz, A.S.; Sivrioglu, S. Semi-Active Vibration Control of Lateral and Rolling Motions for a Straddle Type Monorail Vehicle. IFAC-PapersOnLine 2016, 49, 279–284. [Google Scholar] [CrossRef]
- Kim, J.T.; Park, J.H.; Hong, D.S.; Park, W.S. Hybrid Health Monitoring of Prestressed Concrete Girder Bridges by Sequential Vibration-Impedance Approaches. Eng. Struct. 2010, 32, 115–128. [Google Scholar] [CrossRef]
- Ai, D.; Luo, H.; Zhu, H. Numerical and Experimental Investigation of Flexural Performance on Pre-Stressed Concrete Structures Using Electromechanical Admittance. Mech. Syst. Signal Process. 2019, 128, 244–265. [Google Scholar] [CrossRef]
- Takebayashi, T.; Deeprasertwong, K.; Leung, Y.W. A Full-Scale Destructive Test of a Precast Segmental Box Girder Bridge with Dry Joints and External Tendons. Open PDF Proc. Inst. Civ. Eng. 2015, 104, 297–315. [Google Scholar] [CrossRef]
- Labia, Y.; Saiidi, M.S.; Douglas, B. Full-Scale Testing and Analysis of 20-Year-Old Pretensioned Concrete Box Girders. ACI Struct. J. 1997, 94, 471–482. [Google Scholar] [CrossRef]
- Graybeal, B.A. Flexural Behavior of an Ultrahigh-Performance Concrete I-Girder. J. Bridge Eng. 2008, 13, 602–610. [Google Scholar] [CrossRef]
- Grace, N.; Jensen, E.; Matsagar, V.; Penjendra, P. Performance of an AASHTO Beam Bridge Prestressed with CFRP Tendons. J. Bridge Eng. 2013, 18, 110–121. [Google Scholar] [CrossRef]
- Van Leeuwen, J.; Adebar, P. Full-Scale Test of Concrete-Steel Hybrid Bridge Girders. Can. J. Civ. Eng. 2011, 25, 96–103. [Google Scholar] [CrossRef]
- Song, T.; Yang, C.S.W.; Scott, D.W.; Shen, Y.; Li, G. Novel Finite Element Analysis of Curved Concrete Box Girders Using Hybrid Box Elements. J. Struct. Eng. 2020, 147, 04020284. [Google Scholar] [CrossRef]
- Abid, S.R.; Tayşi, N.; Özakça, M.; Xue, J.; Briseghella, B. Finite Element Thermo-Mechanical Analysis of Concrete Box-Girders. Structures 2021, 33, 2424–2444. [Google Scholar] [CrossRef]
- Sirisonthi, A.; Suparp, S.; Joyklad, P.; Hussain, Q.; Julphunthong, P. Experimental Study of the Load-Deformation Behaviour of the Precast Post-Tensioned Continuous Girder for Straddle Monorail: Full-Scale Load Test under Service and Ultimate Loading Conditions. Case Stud. Constr. Mater. 2021, 15, e00666. [Google Scholar] [CrossRef]
- Suparp, S.; Joyklad, P.; Sirisonthi, A.; Hussain, Q. Analysis of Full-Scale Precast Post-Tension (FPP) Girder for Straddle Monorail–Experimental and FEA Study. Structures 2022, 36, 521–532. [Google Scholar] [CrossRef]
- ASTM C39/C39M-18; Standard Test Method for Compressive Strength of Cylindrical Concrete Specimens. ASTM: West Conshohocken, PA, USA, 2020.
- ASTM A615/A615M-16; Standard Specification for Deformed and Plain Carbon-Steel Bars for Concrete Reinforcement. ASTM: West Conshohocken, PA, USA, 2018.
- ASTM C109/C109M-21; Standard Test Method for Compressive Strength of Hydraulic Cement Mortars. ASTM: West Conshohocken, PA, USA, 2021.






















































| Ingredients | Cement | Aggregate | Water | |
|---|---|---|---|---|
| Fine | Coarse | |||
| Quantity | 380 | 710 | 1100 | 210 |
| Components | Compressive Strength (MPa) |
|---|---|
| Cement grout | 45 |
| Pier segment | 62 |
| Left exterior girder | 65 |
| Right exterior girder | 64 |
| Interior girder | 65 |
| Reinforcement | Yield Strength (MPa) | Ultimate Strength (MPa) |
|---|---|---|
| DB16 | 420 | 480 |
| DB20 | 420 | 520 |
| DB25 | 440 | 560 |
| 7-wire strands | 1500 | 1800 |
| Specimen | Ultimate Load (kN) | Ultimate Deflection (mm) |
|---|---|---|
| SP-1 (interior girder) | 2740 | 212 |
| SP-2 | 1405 | 297 |
| Specimen | Peak Service Load (kN) | Peak Service Deflection (mm) |
|---|---|---|
| SP-1 (two-point load) | 400 | 22 |
| SP-1 (four-point load) | 300 | 9 |
| SP-3 | 800 | 96 |
Publisher’s Note: MDPI stays neutral with regard to jurisdictional claims in published maps and institutional affiliations. |
© 2022 by the authors. Licensee MDPI, Basel, Switzerland. This article is an open access article distributed under the terms and conditions of the Creative Commons Attribution (CC BY) license (https://creativecommons.org/licenses/by/4.0/).
Share and Cite
Suparp, S.; Sirisonthi, A.; Ali, N.; Saad, N.; Chaiyasarn, K.; Azab, M.; Joyklad, P.; Hussain, Q. Load versus Strain Relationships of Single and Continuous Span Full-Scale Pre-cast Prestressed Concrete Girders for Monorail Systems. Buildings 2022, 12, 1164. https://doi.org/10.3390/buildings12081164
Suparp S, Sirisonthi A, Ali N, Saad N, Chaiyasarn K, Azab M, Joyklad P, Hussain Q. Load versus Strain Relationships of Single and Continuous Span Full-Scale Pre-cast Prestressed Concrete Girders for Monorail Systems. Buildings. 2022; 12(8):1164. https://doi.org/10.3390/buildings12081164
Chicago/Turabian StyleSuparp, Suniti, Athasit Sirisonthi, Nazam Ali, Noha Saad, Krisada Chaiyasarn, Marc Azab, Panuwat Joyklad, and Qudeer Hussain. 2022. "Load versus Strain Relationships of Single and Continuous Span Full-Scale Pre-cast Prestressed Concrete Girders for Monorail Systems" Buildings 12, no. 8: 1164. https://doi.org/10.3390/buildings12081164
APA StyleSuparp, S., Sirisonthi, A., Ali, N., Saad, N., Chaiyasarn, K., Azab, M., Joyklad, P., & Hussain, Q. (2022). Load versus Strain Relationships of Single and Continuous Span Full-Scale Pre-cast Prestressed Concrete Girders for Monorail Systems. Buildings, 12(8), 1164. https://doi.org/10.3390/buildings12081164

