Analysis of Factors Influencing the Job Satisfaction of New Generation of Construction Workers in China: A Study Based on DEMATEL and ISM
Abstract
:1. Introduction
2. Literature Review
2.1. Job Satisfaction
2.2. Influencing Factors of Job Satisfaction
2.2.1. Job Characteristics
2.2.2. Personal Traits
2.2.3. Social Environment
2.3. Establishment of the Influencing Factor Index System of Job Satisfaction of the NGCW
- Papers have no explicit focus on the influencing factors of job satisfaction.
- Papers are not published in English.
- Papers are duplicates, or papers are retrieved in two or more databases.
- Papers are less reliable or are of poor quality.
- This study has no access to the full text of the papers.
3. Research Methods
3.1. Method and Model
3.2. DEMATEL-ISM Hybrid Modeling Process
3.2.1. Data Collection
3.2.2. DEMATEL Analysis
- Establishment of direct influence matrix
- Composition of a normalized direct-relation matrix
- Establishment of comprehensive influence matrix A
- Calculation of the influencing degree, influenced degree, centrality and causality
- Developing a cause–effect diagram
3.2.3. ISM Analysis
- Integrating DEMATEL-ISM to establish a reachability matrix
- Establishment of a multi-level hierarchical structure model
4. Results of DEMATEL-ISM Hybrid Modeling
4.1. Importance and Causal Relations among Various Factors
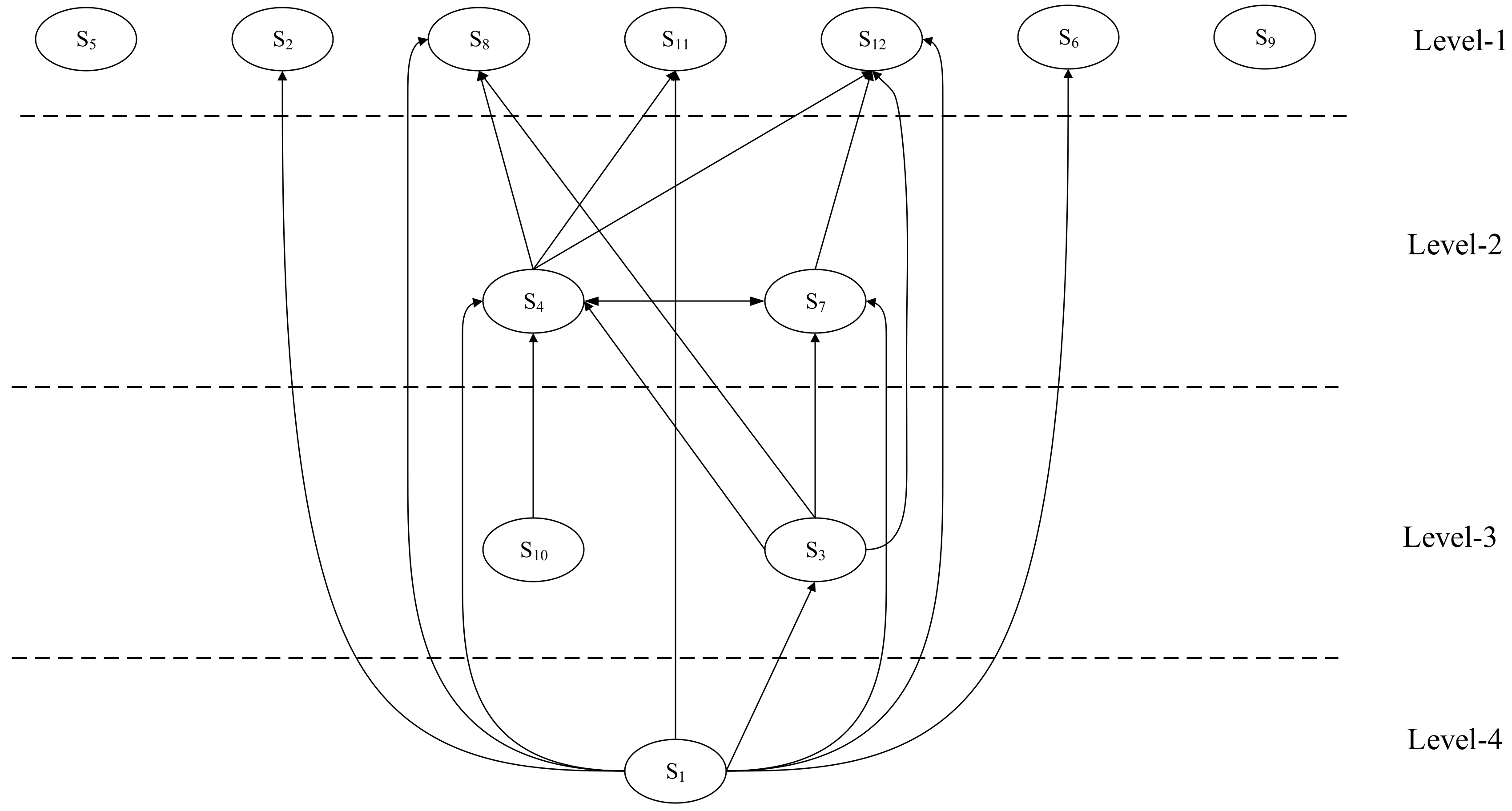
4.2. Interrelationships and Influence Mechanisms among Various Factors
- Root layer
- Controllable layer
- Key layer
- Direct layer
4.3. DEMATEL-ISM Analysis
5. Discussion and Implications
5.1. Discussion
5.1.1. Influencing Path of Factors on Job Satisfaction of NGCWs
5.1.2. Combination of DEMATEL and ISM
5.2. Research Implications
5.2.1. Theoretical Implications
5.2.2. Practical Implications
6. Conclusions and Limitations
6.1. Conclusions
- (1)
- This study identifies 12 influencing factors of the job satisfaction of the NGCW from personal traits, job characteristics and social environment, including education level, consciousness of safeguarding rights, career development, competency, labor intensity, working environment, salaries and rewards, rights protection, colleague relationships, leadership style, professional respect and work–family balance.
- (2)
- Education level, competency, labor intensity, and leadership style come under cause factors of NGCWs’ job satisfaction, whereas career development, salaries and rewards, colleague relationship, professional respect, rights protection, working environment, work-family balance, and consciousness of safeguarding rights belong to effect factors of NGCWs’ job satisfaction.
- (3)
- Education level is located in the root layer and has a continuous impact on the job satisfaction of the NGCW. Leadership style and competency lie in the controllable layer, which are deep influencing factors. Factors in the key layer include career development and salaries and rewards, which have close interrelationships with other factors. Consciousness of safeguarding rights, labor intensity, working environment, rights protection, colleague relationships, professional respect and work–family balance are direct influencing factors.
- (4)
- Education level, competency, career development, salaries and rewards, rights protection and work–family balance are critical influencing factors of the job satisfaction of the NGCW. Decision makers should consider and address these factors on a high priority basis to improve the job satisfaction of the NGCW.
- (5)
- The results obtained by DEMATEL and ISM are consistent in most cases. This means that the framework for the integration of DEMATAL and ISM is reliable and under control. It can provide a simple and reliable analysis model that plays a vital role in understanding the interaction mechanisms and hierarchical structures of factors.
6.2. Limitations and Future Research
Author Contributions
Funding
Institutional Review Board Statement
Informed Consent Statement
Data Availability Statement
Acknowledgments
Conflicts of Interest
References
- Frimpong, B.E.; Sunindijo, R.Y.; Wang, C. Towards Improving Performance of the Construction Industry in Ghana: A SWOT Approach. Civ. Eng. Dimens. 2020, 22, 37–46. [Google Scholar] [CrossRef]
- Li, W.; Wang, W.; Gao, H.; Zhu, B.; Gong, W.; Liu, Y.; Qin, Y. Evaluation of regional metafrontier total factor carbon emission performance in China’s construction industry: Analysis based on modified non-radial directional distance function. J. Clean. Prod. 2020, 256, 120425. [Google Scholar] [CrossRef]
- Kang, L.; Wu, C.; Liao, X.; Wang, B. Safety performance and technology heterogeneity in China’s provincial construction industry. Saf. Sci. 2020, 121, 83–92. [Google Scholar] [CrossRef]
- Pradhananga, P.; ElZomor, M.; Santi Kasabdji, G. Identifying the Challenges to Adopting Robotics in the US Construction Industry. J. Construct. Eng. Manag. 2021, 147, 05021003. [Google Scholar] [CrossRef]
- Wang, T.; Li, Y.; Zhang, L.; Li, G. Case study of integrated prefab accommodations system for migrant on-site construction workers in China. J. Prof. Iss. Eng. Ed. Pract. 2016, 142, 05016005. [Google Scholar] [CrossRef]
- Zhao, L.; Liu, S.; Zhang, W. New trends in internal migration in China: Profiles of the New-generation migrants. China World Econ. 2018, 26, 18–41. [Google Scholar] [CrossRef]
- Ye, G.; Wang, Y.; Zhang, Y.; Wang, L.; Xie, H.; Fu, Y.; Zuo, J. Impact of migrant workers on total factor productivity in Chinese construction industry. Sustainability 2019, 11, 926. [Google Scholar] [CrossRef] [Green Version]
- National Bureau of Statistics of China. Monitoring and Survey Report on Migrant Workers in 2020. Available online: http://www.stats.gov.cn/tjsj/zxfb/202104/t20210430_1816933.html (accessed on 30 April 2021).
- Torghabeh, Z.J.; Buchholz, B.; Stentz, T.L. Assessment of physical risk factors using the posture, activity, tools, and handling (path) method in construction glass and glazing work. Int. J. Adv. Eng. Technol. 2020, 13, 80–93. [Google Scholar]
- Lingard, H.; Turner, M. Exploring the relationship between bodily pain and work-life balance among manual/non-managerial construction workers. Community Work Fam. 2021, 24, 1–18. [Google Scholar] [CrossRef]
- Hosseini, M.R.; Chileshe, N.; Zillante, G. Investigating the factors associated with job satisfaction of construction workers in South Australia. Australas. J. Constr. Econ. Build. 2014, 14, 1–17. [Google Scholar] [CrossRef] [Green Version]
- Jebens, E.; Mamen, A.; Medbø, J.I.; Knudsen, O.; Veiersted, K.B. Are elderly construction workers sufficiently fit for heavy manual labour? Ergonomics 2015, 58, 450–462. [Google Scholar] [CrossRef]
- China National Radio. Where is the Road for Over-Aged Migrant Workers after Issuing Construction Industry Clearance Orders in Many Places? Available online: http://hn.cnr.cn/hnpdgb/fcpd/20220318/t20220318_525769609.html (accessed on 18 March 2022).
- China Construction Industry Association. Statistical Analysis of Construction Industry Development in 2021. Available online: http://www.zgjzy.org.cn/search/list/1.html (accessed on 10 March 2022).
- Tao, L.; Wu, C.; Chiang, Y.H.; Wong, F.K.W.; Liang, S. Generational perceptions of freedom-related work values: Hong Kong’s implementation of a no-saturday-site-work policy in construction. J. Construct. Eng. Manag. 2017, 143, 06017002. [Google Scholar] [CrossRef]
- Wong, F.K.W.; Chiang, Y.H.; Abidoye, F.A.; Liang, S. Interrelation between human factor–related accidents and work patterns in construction industry. J. Construct. Eng. Manag. 2019, 145, 04019021. [Google Scholar] [CrossRef]
- Kim, S.; Chang, S.; Castro-Lacouture, D. Dynamic modeling for analyzing impacts of skilled labor shortage on construction project management. J. Manag. Eng. 2020, 36, 04019035. [Google Scholar] [CrossRef]
- Shrestha, B.K.; Choi, J.O.; Shrestha, P.P.; Lim, J.; Nikkhah Manesh, S. Employment and wage distribution investigation in the construction industry by gender. J. Manag. Eng. 2020, 36, 06020001. [Google Scholar] [CrossRef]
- Azeez, M.; Gambatese, J.; Hernandez, S. What do construction workers really want? A study about representation, importance, and perception of US construction occupational rewards. J. Construct. Eng. Manag. 2019, 145, 04019040. [Google Scholar] [CrossRef]
- Hickey, P.J.; Cui, Q. Gender diversity in US construction industry leaders. J. Manag. Eng. 2020, 36, 04020069. [Google Scholar] [CrossRef]
- Manesh, S.N.; Choi, J.O.; Shrestha, B.K.; Lim, J.; Shrestha, P.P. Spatial analysis of the gender wage gap in architecture, civil engineering, and construction occupations in the United States. J. Manag. Eng. 2020, 36, 04020023. [Google Scholar] [CrossRef]
- Chan, A.P.C.; Chiang, Y.H.; Wong, F.K.W.; Liang, S.; Abidoye, F.A. Work–life balance for construction manual workers. J. Construct. Eng. Manag. 2020, 146, 04020031. [Google Scholar] [CrossRef]
- Francis, V.; Prosser, A. Career counselors’ perceptions of construction as an occupational choice. J. Prof. Iss. Eng. Ed. Pract. 2013, 139, 59–71. [Google Scholar] [CrossRef]
- Clark, A.E. Job satisfaction in Britain. Br. J. Ind. Relat. 1996, 34, 189–217. [Google Scholar] [CrossRef]
- Gazioglu, S.; Tansel, A. Job satisfaction in Britain: Individual and job related factors. Appl. Econ. 2006, 38, 1163–1171. [Google Scholar] [CrossRef] [Green Version]
- Roelen, C.A.M.; Koopmans, P.C.; Groothoff, J.W. Which work factors determine job satisfaction? Work 2008, 30, 433–439. [Google Scholar]
- Marzuki, P.F.; Permadi, H.; Sunaryo, I. Factors affecting job satisfaction of workers in Indonesian construction companies. J. Civ. Eng. Manag. 2012, 18, 299–309. [Google Scholar] [CrossRef] [Green Version]
- Templer, K.J. Five-factor model of personality and job satisfaction: The importance of agreeableness in a tight and collectivistic Asian society. Appl. Psychol. 2012, 61, 114–129. [Google Scholar] [CrossRef]
- Hwang, B.G.; Zhao, X.; Lim, J. Job satisfaction of project managers in green construction projects: Influencing factors and improvement strategies. Eng. Constr. Archit. Manag. 2019, 27, 205–226. [Google Scholar] [CrossRef]
- Mustapha, N. The influence of financial reward on job satisfaction among academic staffs at public universities in Kelantan, Malaysia. Int. J. Bus. Soc. Sci. 2013, 4, 244–248. [Google Scholar]
- Anin, E.K.; Ofori, I.; Okyere, S. Factors affecting job satisfaction of employees in the construction supply chain in the Ashanti region of Ghana. Eur. J. Bus. Manag. 2015, 7, 2222–2839. [Google Scholar]
- Ling, F.Y.Y.; Ning, Y.; Chang, Y.H.; Zhang, Z. Human resource management practices to improve project managers’ job satisfaction. Eng. Constr. Archit. Manag. 2018, 25, 654–669. [Google Scholar] [CrossRef]
- Wang, H.; Pan, L.; Heerink, N. Working conditions and job satisfaction of China’s new generation of migrant workers: Evidence from an inland city. Soc. Sci. Electron. Publ. 2013, 207, 340–346. [Google Scholar] [CrossRef]
- Cheng, Z.; Wang, H.; Smyth, R. Happiness and job satisfaction in urban China: A comparative study of two generations of migrants and urban locals. Urban Stud. 2014, 51, 2160–2184. [Google Scholar] [CrossRef] [Green Version]
- Zhong, B.L.; Chan, S.S.; Liu, T.B.; Jin, D.; Hu, C.Y.; Chiu, H.F. Mental health of the old-and new-generation migrant workers in China: Who are at greater risk for psychological distress? Oncotarget 2017, 8, 59791. [Google Scholar] [CrossRef] [PubMed] [Green Version]
- Ni, G.; Zhu, Y.; Zhang, Z.; Qiao, Y.; Li, H.; Xu, N.; Deng, Y.; Yuan, Z.; Wang, W. Influencing mechanism of job satisfaction on safety behavior of new generation of construction workers based on Chinese context: The mediating roles of work engagement and safety knowledge sharing. Int. J. Environ. Res. Public Health 2020, 17, 8361. [Google Scholar] [CrossRef] [PubMed]
- Ma, H.; Topolansky Barbe, F.; Zhang, Y.C. Can Social Capital and Psychological Capital Improve the Entrepreneurial Performance of the New Generation of Migrant Workers in China? Sustainability 2018, 10, 3964. [Google Scholar] [CrossRef] [Green Version]
- He, S.; Wang, K. China’s New Generation Migrant Workers’ Urban Experience and Well-being. In Mobility, Sociability and Well-being of Urban Living; Wang, D., He, S., Eds.; Springer: Berlin/Heidelberg, Germany, 2016. [Google Scholar]
- Deng, X. Embedding ‘familiness’ in HRM practices to retain a new generation of migrant workers in China. Asia Pac. Bus. Rev. 2018, 24, 561–577. [Google Scholar] [CrossRef]
- Franceschini, I.; Siu, K.; Chan, A. The “rights awakening” of Chinese migrant workers: Beyond the generational perspective. Crit. Asian Stud. 2016, 48, 422–442. [Google Scholar] [CrossRef]
- Zeng, H.; Ke, Q.; Yu, X. Investigating the factors affecting the residential satisfaction of new-generation migrants: A case study of Hangzhou in China. Int. J. Urban Sci. 2021, 25, 16–30. [Google Scholar] [CrossRef]
- Srivastava, S.; Kanpur, R. A study on quality of work life: Key elements & It’s Implications. IOSR J. Bus. Manag. Ver. I 2014, 16, 54–59. [Google Scholar]
- Rotimi, J.O.B.; Ramanayaka, C.D.E.; Olatunji, O.A.; Rotimi, F.E. Migrant construction workers’ demography and job satisfaction: A New Zealand study. Eng. Constr. Archit. Manag. 2021, 28. ahead-of-print. [Google Scholar] [CrossRef]
- Sang, K.J.C.; Ison, S.G.; Dainty, A.R.J. The job satisfaction of UK architects and relationships with work-life balance and turnover intentions. Eng. Constr. Archit. Manag. 2009, 16, 288–300. [Google Scholar] [CrossRef]
- Ho, P.H.K. Labour and skill shortages in Hong Kong’s construction industry. Eng. Constr. Archit. Manag. 2016, 23, 533–550. [Google Scholar] [CrossRef]
- Sang, L.; Xia, D.; Ni, G.; Cui, Q.; Wang, J.; Wang, W. Influence mechanism of job satisfaction and positive affect on knowledge sharing among project members: Moderator role of organizational commitment. Eng. Constr. Archit. Manag. 2020, 27, 245–269. [Google Scholar] [CrossRef]
- Stoilkovska, B.B.; Žileska Pančovska, V.; Mijoski, G. Relationship of safety climate perceptions and job satisfaction among employees in the construction industry: The moderating role of age. Int. J. Occup. Saf. Ergon. 2015, 21, 440–447. [Google Scholar] [CrossRef]
- Navarro-Abal, Y.; Sáenz-de la Torre, L.C.; Gómez-Salgado, J.; Climent-Rodríguez, J.A. Job satisfaction and perceived health in Spanish construction workers during the economic crisis. Int. J. Environ. Res. Public Health 2018, 15, 2188. [Google Scholar] [CrossRef] [Green Version]
- Ling, F.Y.Y.; Loo, C.M. Characteristics of jobs and jobholders that affect job satisfaction and work performance of project managers. J. Manag. Eng. 2015, 31, 04014039. [Google Scholar] [CrossRef]
- Bowen, P.; Cattell, K. Job satisfaction of South African quantity surveyors. Eng. Constr. Archit. Manag. 2008, 15, 260–269. [Google Scholar] [CrossRef]
- Alzubi, K.M.; Alkhateeb, A.M.; Hiyassat, M.A. Factors affecting the job satisfaction of construction engineers: Evidence from Jordan. Int. J. Constr. Manag. 2020, 20, 1–19. [Google Scholar] [CrossRef]
- Chileshe, N.; Haupt, T.C. The effect of age on the job satisfaction of construction workers. J. Eng. Des. Technol. 2010, 8, 107–118. [Google Scholar] [CrossRef]
- Tutuncu, O.; Kozak, M. An investigation of factors affecting job satisfaction. Int. J. Hosp. Tour. Adm. 2007, 8, 1–19. [Google Scholar] [CrossRef]
- Locke, E.A. The nature and causes of job satisfaction. In Handbook of Industrial and Organizational Psychology; Dunnette, M.D., Ed.; Rand McNally: Chicago, IL, USA, 1976. [Google Scholar]
- Ilies, R.; Judge, T.A. An experience-sampling measure of job satisfaction and its relationships with affectivity, mood at work, job beliefs, and general job satisfaction. Eur. J. Work. Organ. Psy. 2004, 13, 367–389. [Google Scholar] [CrossRef]
- Alegre, I.; Mas-Machuca, M.; Berbegal-Mirabent, J. Antecedents of employee job satisfaction: Do they matter? J. Bus. Res. 2016, 69, 1390–1395. [Google Scholar] [CrossRef]
- Vila, L.E.; García-Mora, B. Education and the determinants of job satisfaction. Educ. Econ. 2005, 13, 409–425. [Google Scholar] [CrossRef]
- Jung, H.S.; Yoon, H.H. The impact of employees’ positive psychological capital on job satisfaction and organizational citizenship behaviors in the hotel. Int. J. Contemp. Hosp. Manag. 2015, 27, 1135–1156. [Google Scholar] [CrossRef]
- Salisu, J.B.; Chinyio, E.; Suresh, S. The impact of compensation on the job satisfaction of public sector construction workers of jigawa state of Nigeria. Bus. Manag. Rev. 2015, 6, 282. [Google Scholar]
- Sony, M.; Mekoth, N. The relationship between emotional intelligence, frontline employee adaptability, job satisfaction and job performance. J. Retail. Consum. Serv. 2016, 30, 20–32. [Google Scholar] [CrossRef]
- Çelik, G.; Oral, E. Mediating effect of job satisfaction on the organizational commitment of civil engineers and architects. Int. J. Constr. Manag. 2021, 21, 969–986. [Google Scholar] [CrossRef]
- Spector, P.E. Job Satisfaction: Application, Assessment, Causes, and Consequences; Sage Publications: Thousand Oaks, CA, USA, 1997. [Google Scholar]
- Spector, P.E. Measurement of human service staff satisfaction: Development of the Job Satisfaction Survey. Am. J. Commun. Psychol. 1985, 13, 693–713. [Google Scholar] [CrossRef]
- Pagan, R. Ageing and disability: Job satisfaction differentials across Europe. Soc. Sci. Med. 2011, 72, 206–215. [Google Scholar] [CrossRef]
- Guglielmi, D.; Avanzi, L.; Chiesa, R.; Mariani, M.G.; Bruni, I.; Depolo, M. Positive aging in demanding workplaces: The gain cycle between job satisfaction and work engagement. Front. Psychol. 2016, 7, 1224. [Google Scholar] [CrossRef] [Green Version]
- Green, F.; Tsitsianis, N. An investigation of national trends in job satisfaction in Britain and Germany. Br. J. Ind. Relat. 2005, 43, 401–429. [Google Scholar] [CrossRef] [Green Version]
- Wang, Z.; Jing, X. Job Satisfaction among Immigrant Workers: A Review of Determinants. Soc. Indic. Res. 2017, 139, 381–401. [Google Scholar] [CrossRef]
- Albuainain, N.; Sweis, G.; AlBalkhy, W.; Sweis, R.; Lafhaj, Z. Factors Affecting Occupants’ Satisfaction in Governmental Buildings: The Case of the Kingdom of Bahrain. Buildings 2021, 11, 231. [Google Scholar] [CrossRef]
- Hsu, L.C.; Liao, P.W. From job characteristics to job satisfaction of foreign workers in Taiwan’s construction industry: The mediating role of organizational commitment. Hum. Factors Ergonom. Manuf. Serv. Ind. 2016, 26, 243–255. [Google Scholar] [CrossRef]
- Bakotić, D. Relationship between job satisfaction and organisational performance. Econ. Res.-Ekon. Istraživanja 2016, 29, 118–130. [Google Scholar] [CrossRef]
- Hackman, J.R.; Oldham, G.R. Work Redesign; Addison Wesley: Reading, MA, USA, 1980. [Google Scholar]
- Groot, W.; van den Brink, H.M. Job satisfaction of older workers. Int. J. Manpow. 1999, 20, 343–360. [Google Scholar] [CrossRef]
- Love, P.; Edwards, D.; Wood, E. Loosening the Gordian knot: The role of emotional intelligence in construction. Eng. Constr. Archit. Manag. 2011, 18, 50–65. [Google Scholar] [CrossRef]
- Judge, T.A.; Heller, D.; Mount, M.K. Five-factor model of personality and job satisfaction: A meta-analysis. J. Appl. Psychol. 2002, 87, 530. [Google Scholar] [CrossRef] [Green Version]
- Furnham, A.; Petrides, K.V.; Jackson, C.J.; Cotter, T. Do personality factors predict job satisfaction? Pers. Individ. Differ. 2002, 33, 1325–1342. [Google Scholar] [CrossRef] [Green Version]
- Lingard, H.; Francis, V. The work-life experiences of office and site-based employees in the Australian construction industry. Constr. Manag. Econ. 2004, 22, 991–1002. [Google Scholar] [CrossRef]
- Arksey, H.; O’Malley, L. Scoping studies: Towards a methodological framework. Int. J. Soc. Res. Methodol. 2005, 8, 19–32. [Google Scholar] [CrossRef] [Green Version]
- Van Saane, N.; Sluiter, J.K.; Verbeek, J.H.A.M.; Frings-Dresen, M.H.W. Reliability and validity of instruments measuring job satisfaction—A systematic review. Occup. Med. 2003, 53, 191–200. [Google Scholar] [CrossRef] [Green Version]
- Zhao, X.; Hwang, B.G.; Lim, J. Job satisfaction of project managers in green construction projects: Constituents, barriers, and improvement strategies. J. Clean Prod. 2020, 246, 118968. [Google Scholar] [CrossRef]
- Malone, E.K.; Issa, R.R. Work-life balance and organizational commitment of women in the US construction industry. J. Prof. Iss. Eng. Ed. Pract. 2013, 139, 87–98. [Google Scholar] [CrossRef]
- Quyen, B.T.T.; Lan, V.T.H.; Minh, H.V. Job satisfaction of healthcare workers in Vietnam: A multilevel study. Int. J. Healthc. Manag. 2021, 14, 1091–1097. [Google Scholar] [CrossRef]
- Eissenstat, S.J.; Lee, Y.; Hong, S. An Examination of Barriers and Facilitators of Job Satisfaction and Job Tenure among Persons with Disability in South Korea. Rehabil. Couns. Bull. 2021, 64, 1–12. [Google Scholar] [CrossRef]
- Wan, H.; Yoo, C.S.; Cho, I. Educational Mismatch and Job Satisfaction in China. J. Appl. Econ. Bus. Res. 2020, 10, 131–147. [Google Scholar]
- Shan, Y.; Imran, H.; Lewis, P.; Zhai, D. Investigating the latent factors of quality of work-life affecting construction craft worker job satisfaction. J. Constr. Eng. Manag. 2017, 143, 04016134. [Google Scholar] [CrossRef]
- Li, J.; Wang, W.; Sun, G.; Jiang, Z.; Cheng, Z. Supervisor–Subordinate Guanxi and Job Satisfaction among Migrant Workers in China. Soc. Indic. Res. 2016, 139, 293–307. [Google Scholar] [CrossRef]
- Mandic, K.; Bobar, V.; Delibašić, B. Modeling Interactions among Criteria in MCDM Methods: A Review. In Proceedings of the International Conference on Decision Support System Technology, Belgrade, Serbia, 27–29 May 2015; pp. 98–109. [Google Scholar]
- Hassan, I.U.; Asghar, S. A framework of software project scope definition elements: An ISM-DEMATEL approach. IEEE Access 2021, 9, 26839–26870. [Google Scholar] [CrossRef]
- Trivedi, A.; Jakhar, S.K.; Sinha, D. Analyzing barriers to inland waterways as a sustainable transportation mode in India: A dematel-ISM based approach. J. Clean. Prod. 2021, 295, 126301. [Google Scholar] [CrossRef]
- Xie, K.; Liu, Z. Factors influencing escalator-related incidents in China: A systematic analysis using ISM-DEMATEL method. Int. J. Environ. Res. Public Health 2019, 16, 2478. [Google Scholar] [CrossRef] [Green Version]
- Nasrollahi, M.; Fathi, M.R.; Sobhani, S.M.; Khosravi, A.; Noorbakhsh, A. Modeling resilient supplier selection criteria in desalination supply chain based on fuzzy DEMATEL and ISM. Int. J. Manag. Sci. Eng. Manag. 2021, 16, 264–278. [Google Scholar] [CrossRef]
- Shen, J.; Li, F.; Shi, D.; Li, H.; Yu, X. Factors affecting the economics of distributed natural gas-combined cooling, heating and power systems in China: A systematic analysis based on the integrated decision making trial and evaluation laboratory-interpretative structural modeling (DEMATEL-ISM) technique. Energies 2018, 11, 2318. [Google Scholar]
- Shieh, J.I.; Wu, H.H.; Huang, K.K. A DEMATEL method in identifying key success factors of hospital service quality. Knowl.-Based Syst. 2010, 23, 277–282. [Google Scholar] [CrossRef]
- Song, S.; Zuo, Z.; Cao, Y.; Wang, L. Analysis of social risk causes of rail transit construction projects based on DEMATEL-ISM. In Proceedings of the Fifth International Conference on Transportation Engineering, Dalian, China, 26–27 September 2015; pp. 1868–1875. [Google Scholar]
- Zhou, D.Q.; Zhang, L. Establishing hierarchy structure in complex systems based on the integration of DEMATEL and ISM. J. Manag. Sci. China 2008, 11, 20–26. [Google Scholar]
- Wang, L.; Cao, Q.; Zhou, L. Research on the influencing factors in coal mine production safety based on the combination of DEMATEL and ISM. Saf. Sci. 2018, 103, 51–61. [Google Scholar] [CrossRef]
- Tseng, M.L. Application of ANP and DEMATEL to evaluate the decision-making of municipal solid waste management in Metro Manila. Environ. Monit. Assess. 2009, 156, 181–197. [Google Scholar] [CrossRef]
- Zhang, P.K.; Luo, F. Influencing factors of runway incursion risk and their interaction mechanism based on DEMATEL-ISM. Teh. Vjesn. 2017, 24, 1853–1862. [Google Scholar]
- Leveson, N.G. Applying systems thinking to analyze and learn from events. Saf. Sci. 2011, 49, 55–64. [Google Scholar] [CrossRef]
- Hsu, C.C. Evaluation criteria for blog design and analysis of causal relationships using factor analysis and DEMATEL. Expert Syst. Appl. 2012, 39, 187–193. [Google Scholar] [CrossRef]
- Cebi, S. Determining importance degrees of website design parameters based on interactions and types of websites. Decis. Support Syst. 2013, 54, 1030–1043. [Google Scholar] [CrossRef]
- Wu, H.H.; Chen, H.K.; Shieh, J.I. Evaluating performance criteria of employment service outreach program personnel by DEMATEL method. Expert Syst. Appl. 2010, 37, 5219–5223. [Google Scholar] [CrossRef]
- Wu, H.H.; Tsai, Y.N. A DEMATEL method to evaluate the causal relations among the criteria in auto spare parts industry. Appl. Math. Comput. 2011, 218, 2334–2342. [Google Scholar] [CrossRef]
- Mandal, A.; Deshmukh, S.G. Vendor selection using interpretive structural modelling (ISM). Int. J. Oper. Prod. Manag. 1994, 14, 52–59. [Google Scholar] [CrossRef]
- Jharkharia, S.; Shankar, R. IT-enablement of supply chains: Understanding the barriers. J. Enterp. Inf. Manag. 2005, 18, 11–27. [Google Scholar] [CrossRef]
- Kannan, G.; Haq, A.N. Analysis of interactions of criteria and sub-criteria for the selection of supplier in the built-in-order supply chain environment. Int. J. Prod. Res. 2007, 45, 3831–3852. [Google Scholar] [CrossRef]
- Obi, L.; Awuzie, B.; Obi, C.; Omotayo, T.S.; Oke, A.; Osobajo, O. BIM for Deconstruction: An Interpretive Structural Model of Factors Influencing Implementation. Buildings 2021, 11, 227. [Google Scholar] [CrossRef]
- Guo, L.; Huang, J.; Zhang, Y. Education development in China: Education return, quality, and equity. Sustainability 2019, 11, 3750. [Google Scholar] [CrossRef] [Green Version]
- Cheng, Z. The new generation of migrant workers in urban China. In Urban China in the New Era; Springer: Berlin/Heidelberg, Germany, 2014; pp. 125–153. [Google Scholar]
- Wang, X.; Wang, X.; Huang, Y. Chinese construction worker reluctance toward vocational skill training. J. Eng. Des. Technol. 2019, 17, 155–171. [Google Scholar] [CrossRef]
- Pan, W.; Chen, L.; Zhan, W. Positioning construction workers’ vocational training of Guangdong in the global political-economic spectrum of skill formation. Eng. Constr. Archit. Manag. 2021, 28, 2489–2515. [Google Scholar] [CrossRef]
- Wang, X.; Wang, X.; Liu, X. Chinese construction worker alacrity toward mobility. Hum. Syst. Manag. 2019, 38, 43–54. [Google Scholar] [CrossRef]
- Guo, S.; Ding, L.; Zhang, Y.; Skibniewski, M.J.; Liang, K. Hybrid recommendation approach for behavior modification in the Chinese construction industry. J. Constr. Eng. Manag. 2019, 145, 04019035. [Google Scholar] [CrossRef]
- Liu, T.; Leisering, L. Protecting injured workers: How global ideas of industrial accident insurance travelled to China. J. Chin. Gov. 2017, 2, 106–123. [Google Scholar] [CrossRef]
- Brown, A.; Kitchell, M.; O’Neill, T.; Lockliear, J.; Vosler, A.; Kubek, D.; Dale, L. Identifying meaning and perceived level of satisfaction within the context of work. Work 2001, 16, 219–226. [Google Scholar]
- Kazaz, A.; Manisali, E.; Ulubeyli, S. Effect of basic motivational factors on construction workforce productivity in Turkey. J. Civ. Eng. Manag. 2008, 14, 95–106. [Google Scholar] [CrossRef] [Green Version]
- Ding, G.; Yang, Z.; Wang, T. Research on public health epidemic prevention system in Chinese construction industry. J. Archit. Res. Dev. 2020, 4, 1–7. [Google Scholar] [CrossRef]
- Al Balkhy, W.; Sweis, R.; Lafhaj, Z. Barriers to Adopting Lean Construction in the Construction Industry—The Case of Jordan. Buildings 2021, 11, 222. [Google Scholar] [CrossRef]
- Qi, B.; Razkenari, M.; Li, J.; Costin, A.; Kibert, C.; Qian, S. Investigating US industry practitioners’ perspectives towards the adoption of emerging technologies in industrialized construction. Buildings 2020, 10, 85. [Google Scholar] [CrossRef]
- Pan, M.; Linner, T.; Pan, W.; Cheng, H.; Bock, T. Structuring the context for construction robot development through integrated scenario approach. Autom. Constr. 2020, 114, 103174. [Google Scholar] [CrossRef] [Green Version]
- Chauhan, A.; Singh, A.; Jharkharia, S. An interpretive structural modeling (ISM) and decision-making trail and evaluation laboratory (DEMATEL) method approach for the analysis of barriers of waste recycling in India. J. Air Waste Manag. Assoc. 2018, 68, 100–110. [Google Scholar] [CrossRef]
- Zhou, D.Q.; Zhang, L.; Li, H.W. A study of the system’s hierarchical structure through integration of DEMATEL and ISM. In Proceedings of the 2006 International Conference on Machine Learning and Cybernetics, Dalian, China, 13–16 August 2006; pp. 1449–1453. [Google Scholar]
- Kumar, A.; Dixit, G. An analysis of barriers affecting the implementation of e-waste management practices in India: A novel ISM-DEMATEL approach. Sustain. Prod. Consump. 2018, 14, 36–52. [Google Scholar] [CrossRef]
- Yuen, K.F.; Loh, H.S.; Zhou, Q.; Wong, Y.D. Determinants of job satisfaction and performance of seafarers. Transp. Res. Part A Policy Pract. 2018, 110, 1–12. [Google Scholar] [CrossRef]
- Samarajeewa, C.T.; Rajaratnam, D.; Disaratna, P.A.P.V.D.S.; Perera, B.A.K.S.; Wijewickrama, M.K.C.S. Quality Circles: An Approach to Determine the Job Satisfaction of Construction Employees. Int. J. Constr. Educ. Res. 2021, 17, 1–16. [Google Scholar] [CrossRef]
- Akomah, B.B.; Ahinaquah, L.K.; Mustapha, Z. Skilled labour shortage in the building construction industry within the central region. Balt. J. Real Estate Econ. Constr. Manag. 2020, 8, 83–92. [Google Scholar] [CrossRef]
- Kerdngern, N.; Thanitbenjasith, P. Influence of contemporary leadership on job satisfaction, organizational commitment, and turnover intention: A case study of the construction industry in Thailand. Int. J. Eng. Bus. Manag. 2017, 9, 1847979017723173. [Google Scholar] [CrossRef] [Green Version]
- Penconek, T.; Tate, K.; Bernardes, A.; Lee, S.; Micaroni, S.P.; Balsanelli, A.P.; de Moura, A.A.; Cummings, G.G. Determinants of nurse manager job satisfaction: A systematic review. Int. J. Nurs. Stud. 2021, 118, 103906. [Google Scholar] [CrossRef] [PubMed]
- Bhardwaj, A.; Mishra, S.; Jain, T.K. An analysis to understanding the job satisfaction of employees in banking industry. Mater. Today Proc. 2021, 37, 170–174. [Google Scholar] [CrossRef]





| Code | Influencing Factors | Description | References |
|---|---|---|---|
| 1 | Career development | Vocational skills training and promotion opportunities for construction workers | [11,25,26,27,29,49,53,59,70,78,79] |
| 2 | Labor intensity | Working hours and workload of construction workers | [11,25,26,59,70,76,78,79] |
| 3 | Working environment | Working environment of construction workers on site | [26,31,51,59,70,79] |
| 4 | Salaries and rewards | Fixed amount paid to workers for the work performed, which is calculated on a daily, monthly or annual basis | [11,26,27,29,31,49,51,59,70,76,78,79] |
| 5 | Rights protection | Provided labor protection and purchased insurance for construction workers | [25,31,59,70,79] |
| 6 | Colleague relationships | Attitudes of construction workers towards their co-workers | [11,26,27,29,31,51,59,70,78,79,80] |
| 7 | Leadership style | Supervisor’s attitude and behavior towards construction workers | [26,27,29,31,51,53,59,70,78,79,80] |
| Variable | Categories | Number of Experts |
|---|---|---|
| Affiliation | University | 10 |
| Construction enterprises | 4 | |
| Project management companies | 6 | |
| Title | Lecturer | 1 |
| Associate professor | 8 | |
| Professor | 1 | |
| Assistant engineer | 6 | |
| Senior engineer | 3 | |
| Professor level senior engineer | 1 | |
| Experience | Less than 5 years | 2 |
| Between 6 and 10 years | 2 | |
| Between 11 and 15 years | 8 | |
| Between 16 and 20 years | 4 | |
| More than 20 years | 4 |
| Factor | S1 | S2 | S3 | S4 | S5 | S6 | S7 | S8 | S9 | S10 | S11 | S12 |
|---|---|---|---|---|---|---|---|---|---|---|---|---|
| S1 | 0.00 | 2.35 | 2.30 | 2.60 | 1.40 | 1.85 | 2.40 | 1.90 | 1.45 | 1.80 | 2.10 | 1.95 |
| S2 | 1.05 | 0.00 | 1.00 | 1.20 | 1.10 | 1.10 | 1.15 | 2.50 | 1.00 | 1.05 | 1.30 | 1.35 |
| S3 | 1.80 | 1.10 | 2.40 | 0.00 | 1.45 | 1.65 | 2.50 | 1.80 | 1.45 | 1.60 | 1.90 | 1.70 |
| S4 | 1.65 | 1.50 | 1.50 | 1.70 | 1.50 | 1.60 | 2.30 | 1.95 | 1.60 | 1.55 | 2.05 | 2.00 |
| S5 | 1.00 | 1.05 | 1.95 | 2.05 | 0.00 | 1.65 | 2.20 | 1.55 | 0.85 | 1.00 | 1.25 | 1.95 |
| S6 | 1.25 | 1.15 | 1.75 | 1.85 | 1.55 | 0.00 | 1.40 | 1.25 | 1.10 | 1.10 | 1.50 | 1.70 |
| S7 | 1.50 | 1.35 | 1.30 | 1.65 | 1.95 | 1.60 | 0.00 | 1.70 | 1.30 | 1.15 | 1.75 | 2.15 |
| S8 | 1.35 | 2.25 | 1.65 | 2.00 | 1.45 | 1.90 | 1.80 | 0.00 | 1.00 | 1.00 | 1.65 | 1.75 |
| S9 | 0.60 | 1.10 | 1.25 | 1.95 | 0.80 | 1.30 | 1.00 | 1.30 | 0.00 | 1.25 | 1.10 | 1.55 |
| S10 | 0.90 | 1.55 | 1.70 | 2.00 | 1.50 | 1.80 | 1.65 | 1.80 | 1.55 | 0.00 | 1.60 | 1.60 |
| S11 | 1.10 | 1.65 | 2.30 | 2.60 | 1.20 | 1.75 | 1.40 | 1.80 | 1.25 | 1.40 | 0.00 | 1.50 |
| S12 | 1.30 | 1.55 | 1.00 | 1.20 | 1.25 | 1.35 | 1.85 | 1.65 | 1.55 | 1.35 | 1.25 | 0.00 |
| Factor | S1 | S2 | S3 | S4 | S5 | S6 | S7 | S8 | S9 | S10 | S11 | S12 |
|---|---|---|---|---|---|---|---|---|---|---|---|---|
| S1 | 0.243 | 0.384 | 0.412 | 0.467 | 0.327 | 0.380 | 0.438 | 0.410 | 0.309 | 0.324 | 0.391 | 0.412 |
| S2 | 0.200 | 0.185 | 0.246 | 0.281 | 0.218 | 0.241 | 0.265 | 0.314 | 0.201 | 0.204 | 0.249 | 0.269 |
| S3 | 0.295 | 0.307 | 0.288 | 0.434 | 0.303 | 0.343 | 0.409 | 0.372 | 0.285 | 0.292 | 0.354 | 0.371 |
| S4 | 0.292 | 0.327 | 0.389 | 0.331 | 0.308 | 0.345 | 0.405 | 0.383 | 0.294 | 0.293 | 0.363 | 0.386 |
| S5 | 0.218 | 0.251 | 0.289 | 0.322 | 0.192 | 0.286 | 0.334 | 0.301 | 0.214 | 0.221 | 0.271 | 0.319 |
| S6 | 0.224 | 0.251 | 0.287 | 0.325 | 0.253 | 0.213 | 0.299 | 0.286 | 0.222 | 0.223 | 0.277 | 0.304 |
| S7 | 0.269 | 0.300 | 0.349 | 0.390 | 0.306 | 0.323 | 0.287 | 0.350 | 0.264 | 0.260 | 0.330 | 0.369 |
| S8 | 0.254 | 0.325 | 0.329 | 0.368 | 0.277 | 0.324 | 0.349 | 0.268 | 0.243 | 0.244 | 0.315 | 0.341 |
| S9 | 0.172 | 0.219 | 0.245 | 0.285 | 0.195 | 0.237 | 0.246 | 0.253 | 0.149 | 0.203 | 0.229 | 0.264 |
| S10 | 0.233 | 0.294 | 0.322 | 0.370 | 0.277 | 0.317 | 0.340 | 0.339 | 0.263 | 0.198 | 0.310 | 0.332 |
| S11 | 0.227 | 0.283 | 0.289 | 0.348 | 0.250 | 0.298 | 0.311 | 0.321 | 0.237 | 0.244 | 0.225 | 0.309 |
| S12 | 0.243 | 0.287 | 0.317 | 0.362 | 0.260 | 0.291 | 0.339 | 0.324 | 0.257 | 0.250 | 0.288 | 0.256 |
| Factors | Influencing Degree Ri | Ranking | Influenced Degree Di | Ranking | Centrality mi | Ranking | Causality ni | Ranking |
|---|---|---|---|---|---|---|---|---|
| S1 | 4.498 | 1 | 2.869 | 12 | 7.366 | 6 | 1.629 | 1 |
| S2 | 2.872 | 11 | 3.415 | 8 | 6.287 | 11 | −0.542 | 12 |
| S3 | 4.054 | 3 | 3.761 | 5 | 7.814 | 3 | 0.293 | 3 |
| S4 | 4.116 | 2 | 4.284 | 1 | 8.399 | 1 | −0.168 | 5 |
| S5 | 3.215 | 9 | 3.164 | 9 | 6.379 | 10 | 0.051 | 4 |
| S6 | 3.162 | 10 | 3.599 | 7 | 6.761 | 8 | −0.436 | 10 |
| S7 | 3.796 | 4 | 4.021 | 2 | 7.817 | 2 | −0.226 | 6 |
| S8 | 3.637 | 5 | 3.920 | 4 | 7.557 | 4 | −0.284 | 9 |
| S9 | 2.698 | 12 | 2.939 | 11 | 5.636 | 12 | −0.241 | 7 |
| S10 | 3.594 | 6 | 2.956 | 10 | 6.550 | 9 | 0.638 | 2 |
| S11 | 3.344 | 8 | 3.602 | 6 | 6.945 | 7 | −0.258 | 8 |
| S12 | 3.473 | 7 | 3.929 | 3 | 7.402 | 5 | −0.457 | 11 |
| Factor | S1 | S2 | S3 | S4 | S5 | S6 | S7 | S8 | S9 | S10 | S11 | S12 |
|---|---|---|---|---|---|---|---|---|---|---|---|---|
| S1 | 1 | 1 | 1 | 1 | 0 | 1 | 1 | 1 | 0 | 0 | 1 | 1 |
| S2 | 0 | 1 | 0 | 0 | 0 | 0 | 0 | 0 | 0 | 0 | 0 | 0 |
| S3 | 0 | 0 | 1 | 1 | 0 | 0 | 1 | 1 | 0 | 0 | 0 | 1 |
| S4 | 0 | 0 | 1 | 1 | 0 | 0 | 1 | 1 | 0 | 0 | 1 | 1 |
| S5 | 0 | 0 | 0 | 0 | 1 | 0 | 0 | 0 | 0 | 0 | 0 | 0 |
| S6 | 0 | 0 | 0 | 0 | 0 | 1 | 0 | 0 | 0 | 0 | 0 | 0 |
| S7 | 0 | 0 | 0 | 1 | 0 | 0 | 1 | 0 | 0 | 0 | 0 | 1 |
| S8 | 0 | 0 | 0 | 1 | 0 | 0 | 0 | 1 | 0 | 0 | 0 | 0 |
| S9 | 0 | 0 | 0 | 0 | 0 | 0 | 0 | 0 | 1 | 0 | 0 | 0 |
| S10 | 0 | 0 | 0 | 1 | 0 | 0 | 0 | 0 | 0 | 1 | 0 | 0 |
| S11 | 0 | 0 | 0 | 0 | 0 | 0 | 0 | 0 | 0 | 0 | 1 | 0 |
| S12 | 0 | 0 | 0 | 1 | 0 | 0 | 0 | 0 | 0 | 0 | 0 | 1 |
| Factor | Level | |||
|---|---|---|---|---|
| S1 | 1, 2, 3, 4, 6, 7, 8, 11, 12 | 1 | 1 | |
| S2 | 2 | 1, 2 | 2 | 1 |
| S3 | 3, 4, 7, 8, 12 | 1, 3, 4, | 3, 4 | |
| S4 | 3, 4, 7, 8, 11, 12 | 1, 3, 4, 7, 8, 10, 12 | 3, 4, 7, 8, 12 | |
| S5 | 5 | 5, | 5 | 1 |
| S6 | 6 | 1, 6 | 6 | 1 |
| S7 | 4, 7, 12 | 1, 3, 4, 7 | 4, 7 | |
| S8 | 4, 8 | 1, 3, 4, 8 | 4, 8 | 1 |
| S9 | 9 | 9 | 9 | 1 |
| S10 | 4, 10 | 10 | 10 | |
| S11 | 11 | 1, 4, 11 | 11 | 1 |
| S12 | 4, 12 | 1, 3, 4, 7, 12 | 4, 12 | 1 |
| Factor Code | Factors | Level |
|---|---|---|
| S1 | Education Level | 4 |
| S2 | Consciousness of Safeguarding Rights | 1 |
| S3 | Competency | 3 |
| S4 | Career Development | 2 |
| S5 | Labor Intensity | 1 |
| S6 | Working Environment | 1 |
| S7 | Salaries and Rewards | 2 |
| S8 | Rights Protection | 1 |
| S9 | Colleague Relationships | 1 |
| S10 | Leadership Style | 3 |
| S11 | Professional Respect | 1 |
| S12 | Work–Family Balance | 1 |
Publisher’s Note: MDPI stays neutral with regard to jurisdictional claims in published maps and institutional affiliations. |
© 2022 by the authors. Licensee MDPI, Basel, Switzerland. This article is an open access article distributed under the terms and conditions of the Creative Commons Attribution (CC BY) license (https://creativecommons.org/licenses/by/4.0/).
Share and Cite
Ni, G.; Li, H.; Jin, T.; Hu, H.; Zhang, Z. Analysis of Factors Influencing the Job Satisfaction of New Generation of Construction Workers in China: A Study Based on DEMATEL and ISM. Buildings 2022, 12, 609. https://doi.org/10.3390/buildings12050609
Ni G, Li H, Jin T, Hu H, Zhang Z. Analysis of Factors Influencing the Job Satisfaction of New Generation of Construction Workers in China: A Study Based on DEMATEL and ISM. Buildings. 2022; 12(5):609. https://doi.org/10.3390/buildings12050609
Chicago/Turabian StyleNi, Guodong, Huaikun Li, Tinghao Jin, Haibo Hu, and Ziyao Zhang. 2022. "Analysis of Factors Influencing the Job Satisfaction of New Generation of Construction Workers in China: A Study Based on DEMATEL and ISM" Buildings 12, no. 5: 609. https://doi.org/10.3390/buildings12050609
APA StyleNi, G., Li, H., Jin, T., Hu, H., & Zhang, Z. (2022). Analysis of Factors Influencing the Job Satisfaction of New Generation of Construction Workers in China: A Study Based on DEMATEL and ISM. Buildings, 12(5), 609. https://doi.org/10.3390/buildings12050609

