Study on Seismic Response and Parameter Influence in a Transformer–Bushing with Inerter Isolation System
Abstract
:1. Introduction
2. Theoretical Analysis of Transformer–Bushing with Inerter Isolation Systems
2.1. Mechanical Model of Inerter Element and IIS
2.2. Mechanical Model of Transformer–Bushing System with IIS
3. Parameter Analysis of IIS
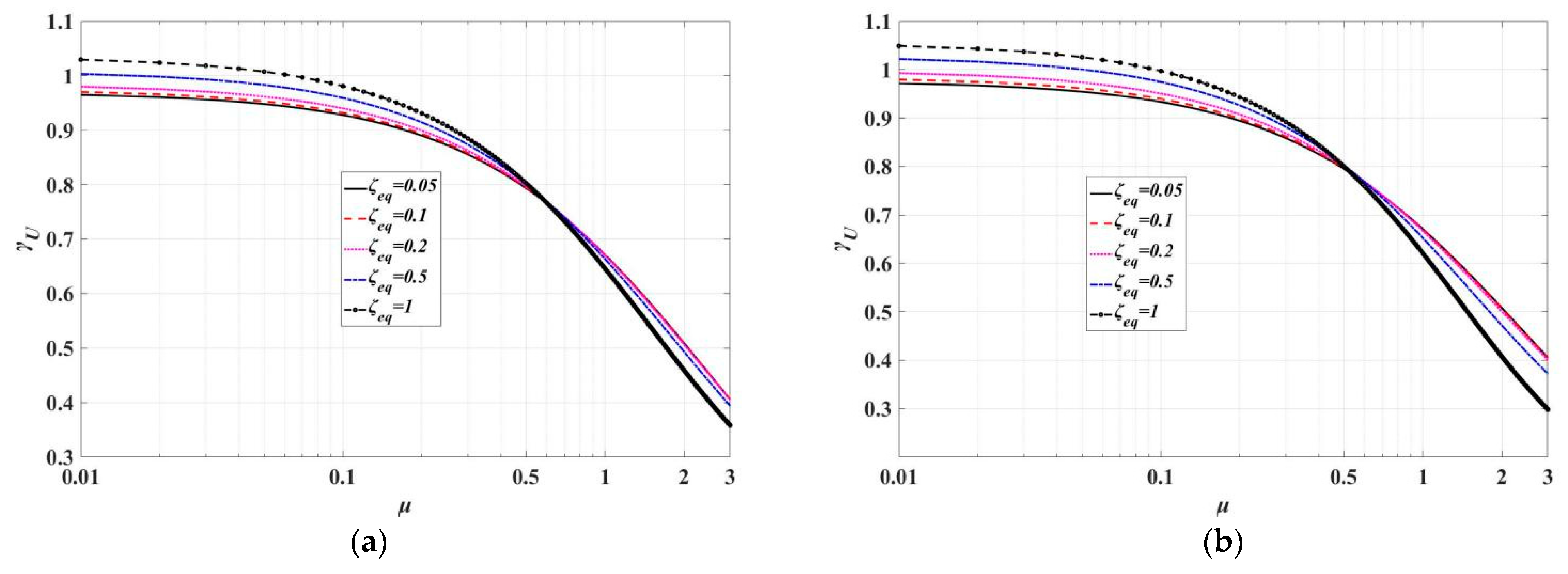
3.1. Relative Displacement Response Ratio γU
3.2. Displacement Response Ratio of Isolation Layer γID
3.3. Base Shear Force Response Ratio γSF
3.4. Parameters Optimization Design of IIS
4. Seismic Response
5. Conclusions
- The equivalent mass coefficient and damping coefficient of IIS can be amplified by an inerter element, and the inerter–mass ratio and damping ratio are reduced simultaneously under the condition of meeting the performance demand after parameter optimization.
- The proposed optimal design utilizes the most efficient parameter set of inerter–mass ratio and damping ratio for the relative displacement ratio of the bushing and tank in the extremum condition. The parameter optimization design method proved to be effective in meeting the target demand of relative displacement response of the bushing and tank, while base shear force and isolation displacement were reduced simultaneously.
- Based on results from response history analysis under ground motion records, IIS can significantly suppress the resonance response of the structure and the continuous vibration response in the stable state and its peak displacement can be reduced by 50% compared with IB. IIS has a smaller displacement of the isolation layer than IB, and the peak displacement is about 45–60% of IB.
Author Contributions
Funding
Institutional Review Board Statement
Informed Consent Statement
Data Availability Statement
Conflicts of Interest
References
- Meigen, C.; Fulin, Z.; Ping, P.; Guangping, Z.; Zhengguo, G. Seismic response of transformer and bushing isolation system and parameter analysis of isolation layer. Proc. CSEE 2012, 32, 166–174. [Google Scholar]
- Li, T.; Hai–Yang, P.; Rui–Sheng, M. Probabilistic seismic demand model and fragility analysis of transmission tower subjected to near–field ground motions. J. Constr. Steel Res. 2019, 156, 266–275. [Google Scholar]
- Meirovitch, L. Dynamics and Control of Structures; John Wiley & Sons: New York, NY, USA, 1990. [Google Scholar]
- Soong, T.T.; Dargush, G.F. Passive Energy Dissipation Systems in Structural Engineering; Wiley: Chichester, UK, 1997. [Google Scholar]
- Cao, M.; Fan, R.; Li, S.; Cao, C.; Lu, Z.; Zhang, X. Design and application of seismic isolation system of large power transformer and bushings system. Power Syst. Technol. 2011, 35, 130–135. [Google Scholar]
- Fujita, T.; Fujita, S.; Yoshizawa, T.; Suzuki, S. Base Isolation Support of Heavy Equipment with Laminated Rubber Bearings–2. Jpn. Soc. Mech. Eng. 1985, 51, 461. [Google Scholar]
- Bonacina, G.; Bonetti, P.; Martelli, A.; Bettinali, F.; Serino, G. Seismic base isolation of gas insulated electrical substations: Design, experimental and numerical activities, evaluation of the applicability. In Proceedings of the 10th European Conference on Earthquake Engineering, Vienna, Austria, 28 August–2 September 1995. [Google Scholar]
- Pham, T. Two–Dimensional Shaking Table Test of Transformer Bushing with Seismic Isolation Device; MCEER Report; Department of Civil and Environmental Engineering, University of California at Irvin: Irvine, CA, USA, 2005. [Google Scholar]
- Murota, N.; Feng, M.Q.; Liu, G.Y. Earthquake Simulator Testing of Base–Isolated Power Transformers. IEEE Trans Power Deliv 2006, 21, 1291–1299. [Google Scholar] [CrossRef]
- Murota, N.; Feng, M.Q.; Liu, G.Y. Experimental and Analytical Studies of Base Isolation Systems for Seismic Protection of Power Transformers; Technical Report MCEER-05-0008; Multidisciplinary Center for Earthquake Engineering Research: Buffalo, NY, USA, 2005. [Google Scholar]
- Jiyu, L.; Junxiong, L.; Ruimin, L.; Peimin, L. Experiment and system identification of base–isolated electric power transformer. Earthq. Eng. Eng. Vib. 2001, 109–116. [Google Scholar]
- Lee, S.H.; Min, K.W.; Hwang, J.S.; Kim, J. Evaluation of equivalent damping ratio of a structure with added dampers. Eng. Struct. 2004, 26, 335–346. [Google Scholar] [CrossRef]
- Smith, M.C.; Wang, F.C. Performance benefits in passive vehicle suspensions employing inerters. Veh. Syst. Dyn. 2004, 42, 235–257. [Google Scholar] [CrossRef] [Green Version]
- Smith, M.C. Synthesis of mechanical networks: The inerter. IEEE Trans. Autom. Control 2002, 47, 1648–1662. [Google Scholar] [CrossRef] [Green Version]
- Swift, S.J.; Smith, M.C.; Glover, A.R.; Papageorgiou, C.; Gartner, B.; Houghton, N.E. Design and modelling of a fluid inerter. Int. J. Control 2013, 86, 2035–2051. [Google Scholar] [CrossRef]
- Ikago, K.; Saito, K.; Inoue, N. Seismic control of single–degree–of–freedom structure using tuned viscous mass damper. Earthq. Eng. Struct. Dyn. 2012, 41, 453–474. [Google Scholar] [CrossRef]
- Pan, C.; Zhang, R. Design of structure with inerter system based on stochastic response mitigation ratio. Struct. Control Health Monit. 2018, 25, e2169. [Google Scholar] [CrossRef]
- Pan, C.; Zhang, R.; Luo, H.; Li, C.; Shen, H. Demand–based optimal design of oscillator with parallel–layout viscous inerter damper. Struct. Control Health Monit. 2018, 25, e2051. [Google Scholar] [CrossRef]
- Hwang, J.S.; Kim, J.; Kim, Y.M. Rotational inertia dampers with toggle bracing for vibration control of a building structure. Eng. Struct. 2007, 29, 1201–1208. [Google Scholar] [CrossRef]
- Zhang, R.F.; Zhao, Z.P.; Dai, K.S. Seismic response mitigation of a wind turbine tower using a tuned parallel inerter mass system. Eng. Struct. 2019, 180, 29–39. [Google Scholar] [CrossRef]
- Zhao, Z.P.; Zhang, R.F.; Wierschem, N.E.; Jiang, Y.Y.; Pan, C. Displacement mitigationoriented design and mechanism for inerter–based isolation system. J. Vib. Control 2020, 27, 1991–2003. [Google Scholar] [CrossRef]
- Gao, H.; Wang, H.; Li, J.; Wang, Z.; Liang, R.; Xu, Z.; Ni, Y. Optimum design of viscous inerter damper targeting multi–mode vibration mitigation of stay cables. Eng. Struct. 2021, 226, 111375. [Google Scholar] [CrossRef]
- Sugimura, Y.; Goto, W.; Tanizawa, H.; Saito, K.; Nimomiya, T. Response control effect of steel building structure using tuned viscous mass damper. In Proceedings of the 15th World Conference on Earthquake Engineering, Lisbon, Portugal, 25–28 September 2012. [Google Scholar]
- Kurata, M.; Leon, R.T.; Desroches, R. Rapid seismic rehabilitation strategy: Concept and testing of cable bracing with couples resisting damper. J. Struct. Eng. 2012, 138, 354–362. [Google Scholar] [CrossRef]
- Xie, L.; Ban, X.; Xue, S.; Ikago, K.; Kang, J.; Tang, H. Theoretical Study on a Cable–Bracing Inerter System for Seismic Mitigation. Appl. Sci. 2019, 9, 4096. [Google Scholar] [CrossRef] [Green Version]
- Xue, S.; Kang, J.; Xie, L.; Zhang, R.; Ban, X. Cross–Layer Installed Cable–Bracing Inerter System for MDOF Structure Seismic Response Control. Appl. Sci. 2020, 10, 5914. [Google Scholar] [CrossRef]
- Wang, H.; Gao, H.; Li, J.; Wang, Z.; Ni, Y.; Liang, R. Optimum design and performance evaluation of the tuned inerter–negative–stiffness damper for seismic protection of single–degree–of–freedom structures. Int. J. Mech. Sci. 2021, 212, 106805. [Google Scholar] [CrossRef]
- Luo, H.; Zhang, R.F.; Weng, D.G. Mitigation of liquid sloshing in storage tanks by using a hybrid control method. Soil Dyn. Earthq. Eng. 2016, 90, 183–195. [Google Scholar] [CrossRef]
- Jiang, Y.Y.; Zhao, Z.P.; Zhang, R.F.; De Domenico, D.; Pan, C. Optimal design based on analytical solution for storage tank with inerter isolation system. Soil Dyn. Earthq. Eng. 2020, 129, 105924. [Google Scholar] [CrossRef]
- Losanno, D.; Calabrese, A.; Madera–Sierra, I.E.; Spizzuaco, M.; Marulanda, J.; Thomson, P.; Serino, G. Recycled versus Natural–Rubber Fiber–Reinforced Bearings for Base Isolation: Review of the Experimental Findings. J. Earthq. Eng. 2022, 26, 1921–1940. [Google Scholar] [CrossRef]
- Losanno, D.; Palumbo, F.; Calabrese, A.; Barrasso, T.; Vaiana, N. Preliminary Investigation of Aging Effects on Recycled Rubber Fiber Reinforced Bearings (RR–FRBs). J. Earthq. Eng. 2021, 1–18. [Google Scholar] [CrossRef]
- Kelly, J.M. Seismic isolation for earthquake–resistant design. In Earthquake–Resistant Design with Rubber; Springer: London, UK, 1997; pp. 1–18. [Google Scholar]
- Vaiana, N.; Spizzuoco, M.; Serino, G. Wire rope isolators for seismically base–isolated lightweight structures: Experimental characterization and mathematical modeling. Eng. Struct. 2017, 140, 498–514. [Google Scholar] [CrossRef]
- Nagarajaiah, S.; Reinhorn, A.M.; Constantinou, M.C. Nonlinear Dynamic Analysis of 3–D–Base–Isolated Structures. J. Struct. Eng. 1991, 117, 2035–2054. [Google Scholar] [CrossRef] [Green Version]
- Pellecchia, D.; Feudo, S.L.; Vaiana, N.; Dion, J.L.; Rosati, L. A procedure to model and design elastomeric–based isolation systems for the seismic protection of rocking art objects. Comput.-Aided Civ. Infrastruct. Eng. 2021. [Google Scholar] [CrossRef]



















| Parameters of Bushing | Low Frequency Bushing | High Frequency Bushing | ||
|---|---|---|---|---|
| LB–1 | LB–2 | HB–1 | HB–2 | |
| μb | 0.060 | 0.220 | 0.005 | 0.020 |
| h(m) | 5.0 | 10.0 | 1.2 | 2.5 |
| fb(Hz) | 2.1 | 1.2 | 7.1 | 3.5 |
| Parameters | LB–1 | LB–2 | HB–1 | HB–2 | |
|---|---|---|---|---|---|
| Tank | mt(kg) | 10.0 × 104 | 15.0 × 104 | 5.0 × 104 | 7.5 × 104 |
| Bushing | μb | 0.060 | 0.220 | 0.005 | 0.020 |
| h(m) | 5.00 | 10.00 | 1.20 | 2.50 | |
| fb(Hz) | 2.10 | 1.20 | 7.10 | 3.50 | |
| μ | 0.854 | 1.056 | 0.618 | 0.791 | |
| IIS | κ | 0.071 | 0.095 | 0.048 | 0.063 |
| ζeq | 0.113 | 0.171 | 0.055 | 0.070 | |
| Primary index | γU | 0.600 | 0.500 | 0.700 | 0.650 |
| Additional index | γID | 0.461 | 0.353 | 0.621 | 0.588 |
| γSF | 0.452 | 0.598 | 0.275 | 0.364 |
Publisher’s Note: MDPI stays neutral with regard to jurisdictional claims in published maps and institutional affiliations. |
© 2022 by the authors. Licensee MDPI, Basel, Switzerland. This article is an open access article distributed under the terms and conditions of the Creative Commons Attribution (CC BY) license (https://creativecommons.org/licenses/by/4.0/).
Share and Cite
Zhang, R.; Cao, M.; Huang, J. Study on Seismic Response and Parameter Influence in a Transformer–Bushing with Inerter Isolation System. Buildings 2022, 12, 530. https://doi.org/10.3390/buildings12050530
Zhang R, Cao M, Huang J. Study on Seismic Response and Parameter Influence in a Transformer–Bushing with Inerter Isolation System. Buildings. 2022; 12(5):530. https://doi.org/10.3390/buildings12050530
Chicago/Turabian StyleZhang, Ruoyu, Meigen Cao, and Jizhong Huang. 2022. "Study on Seismic Response and Parameter Influence in a Transformer–Bushing with Inerter Isolation System" Buildings 12, no. 5: 530. https://doi.org/10.3390/buildings12050530
APA StyleZhang, R., Cao, M., & Huang, J. (2022). Study on Seismic Response and Parameter Influence in a Transformer–Bushing with Inerter Isolation System. Buildings, 12(5), 530. https://doi.org/10.3390/buildings12050530

