Strategy for Improving the Indoor Environment of Office Spaces in Subtropical Cities
Abstract
:1. Introduction
2. Experimental Setting
2.1. Description of Test Office
2.2. Experimental Equipment
3. Methodology
3.1. The Evaluation Indicator of Improving Efficiency of Indoor Temperature and Relative Humidity
3.2. The Evaluation Indicator of Indoor Air Quality
4. Test, Analysis Results and Discussions
4.1. Variation of Temperature and Humidity Analysis
4.2. Particulate Matter Analysis
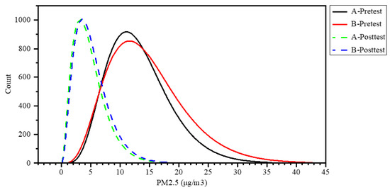
4.2.1. Comparison of PM2.5 between before and after Improvement
4.2.2. The Comparison of PM10 Concentration before and after Improvement
4.2.3. Monitoring and Analysis of Total Suspended Particulates (TSP)
5. Comprehensive Analysis and Discussions
5.1. The Improved Efficiency of Indoor Temperature and Relative Humidity
- Seating area:
- 2.
- Photocopier area:
5.2. Improving Efficiency for Indoor Air Quality
- 1.
- Seating area:
- (1)
- Indicator of indoor air quality for PM2.5 concentrations:
- (2)
- Indicator of indoor air quality for PM10 concentrations:
- (3)
- Indicator of indoor air quality for TSP concentrations:
- 2.
- Photocopier area:
- (1)
- Indicator of indoor air quality for PM2.5 concentrations:
- (2)
- Indicator of indoor air quality for PM10 concentrations:
- (3)
- Indicator of indoor air quality for TSP concentrations:
5.3. Fraction Defective Analysis
6. Conclusions
- By improving the forced ventilation system and external air exchange system, the indoor temperature and relative humidity maintained around 26 °C and 55%, respectively, during office hours.
- The improved efficiency of temperature and relative humidity increased 27.27% and 56.56% for the seating area and 66.67% and 76.11% for the photocopier area, respectively.
- The improved benefits of air quality for the seating area using the indicator of indoor air quality for PM2.5, PM 10 and TSP during working period reached to the “Satisfactory” quality condition, the “Super” quality condition and the “Super” quality condition, respectively.
- The improved benefits of air quality for the photocopying area using the indicator of indoor air quality for PM2.5, PM10 and TSP during working period all reached to the “Super” quality condition.
- The analysis results showed that the most commonly measured PM2.5, PM10 concentration in photocopier area has been decreased from 11 μg/ m3 to 3 μg/ m3 and from 20 μg/ m3 to 5 μg/ m3, respectively through the total number of sampling.
Author Contributions
Funding
Institutional Review Board Statement
Informed Consent Statement
Data Availability Statement
Conflicts of Interest
References
- Shrestha, P.M.; Humphrey, J.L.; Carlton, E.J.; Adgate, J.L.; Barton, K.E.; Root, E.D.; Miller, S.L. Impact of outdoor air pollution on indoor air quality in low-income homes during wildfire seasons. Int. J. Environ. Res. Public Health 2019, 16, 3535. [Google Scholar] [CrossRef] [Green Version]
- Leung, D.Y.C. Outdoor-indoor air pollution in urban environment: Challenges and opportunity. Front. Environ. Sci. 2015, 2, 2. [Google Scholar] [CrossRef]
- Szczepanik-Ścisło, N.; Ścisło, Ł. Air leakage modelling and its influence on the air quality inside a garage. In Proceedings of the E3S Web of Conferences, Polanica-Zdrój, Poland, 16–18 April 2018; EDP Sciences: Les Ulis, France, 2018; Volume 44. [Google Scholar] [CrossRef] [Green Version]
- Stafford, T.M. Indoor air quality and academic performance. J. Environ. Econ. Manag. 2015, 70, 34–50. [Google Scholar] [CrossRef] [Green Version]
- Pulimeno, M.; Piscitelli, P.; Colazzo, S.; Colao, A.; Miani, A. Indoor air quality at school and students’ performance: Recommendations of the UNESCO Chair on Health Education and Sustainable Development & the Italian Society of Environmental Medicine (SIMA). Health Promot. Perspect. 2020, 10, 169–174. [Google Scholar] [CrossRef]
- Sharma, P.K.; Mondal, A.; Jaiswal, S.; Saha, M.; Nandi, S.; De, T.; Saha, S. IndoAirSense: A framework for indoor air quality estimation and forecasting. Atmos. Pollut. Res. 2021, 12, 10–22. [Google Scholar] [CrossRef]
- Bughio, M.; Schuetze, T.; Mahar, W.A. Comparative analysis of indoor environmental quality of architectural campus buildings’ lecture halls and its’ perception by building users, in Karachi, Pakistan. Sustainability. 2020, 12, 2995. [Google Scholar] [CrossRef] [Green Version]
- Jia, L.-R.; Han, J.; Chen, X.; Li, Q.-Y.; Lee, C.-C.; Fung, Y.-H. Interaction between thermal comfort, indoor air quality and ventilation energy consumption of educational buildings: A comprehensive review. Buildings 2021, 11, 591. [Google Scholar] [CrossRef]
- Staveckis, A.; Borodinecs, A. Impact of impinging jet ventilation on thermal comfort and indoor air quality in office buildings. Energy Build. 2021, 235, 110738. [Google Scholar] [CrossRef]
- Ameen, A.; Cehlin, M.; Larsson, U.; Karimipanah, T. Experimental investigation of the ventilation performance of different air distribution systems in an office environment—cooling mode. Energies 2019, 12, 1354. [Google Scholar] [CrossRef] [Green Version]
- Jayasree, T.K.; Jinshah, B.S.; Visakha, V.L.; Srinivas, T. Assessment of air change effectiveness and thermal comfort in a naturally ventilated kitchen with insect-proof screen using CFD. J. Green Build. 2021, 16, 37–56. [Google Scholar] [CrossRef]
- Park, D.Y.; Chang, S. Effects of combined central air conditioning diffusers and window-integrated ventilation system on indoor air quality and thermal comfort in an office. Sustain. Cities Soc. 2020, 61, 102292. [Google Scholar] [CrossRef]
- Schnotale, J. CFD simulations and measurements of carbon dioxide transport in a passive house. In Proceedings of the Refrigeration Science and Technology, 24th IIR International Congress of Refrigeration 2015, Yokohama, Japan, 16–22 August 2015; pp. 4065–4072. [Google Scholar]
- Leder, S.; Newsham, G.R.; Veitch, J.A.; Mancini, S.; Charles, K.E. Effects of office environment on employee satisfaction: A new analysis. Build. Res. Inf. 2015, 44, 34–50. [Google Scholar] [CrossRef] [Green Version]
- Szczepanik-Scislo, N. Improving Household safety via a dynamic air terminal device in order to decrease carbon monoxide migration from a gas furnace. Int. J. Environ. Res. Public Health 2022, 19, 1676. [Google Scholar] [CrossRef]
- Atarodi, Z.; Karimyan, K.; Gupta, V.K.; Abbasi, M.; Moradi, M. Evaluation of indoor air quality and its symptoms in office building–A case study of Mashhad, Iran. Data Brief. 2018, 20, 74–79. [Google Scholar] [CrossRef] [PubMed]
- De Oliveira, C.C.; Rupp, R.F.; Ghisi, E. Assessment of air quality perception and its effects on users—thermal comfort in office buildings. Science 2021, 3, 47. [Google Scholar] [CrossRef]
- Park, J.; Loftness, V.; Aziz, A.; Wang, T.-H. Critical factors and thresholds for user satisfaction on air quality in office environments. Build. Environ. 2019, 164, 106310. [Google Scholar] [CrossRef]
- Willems, S.; Saelens, D.; Heylighen, A. Patient well-being, adaptation of and to indoor conditions, and hospital room design: Two mixed methods case studies. Build. Res. Inf. 2021, 50, 105–133. [Google Scholar] [CrossRef]
- Milhem, S.A.; Verriele, M.; Nicolas, M.; Thevenet, F. Indoor use of essential oil-based cleaning products: Emission rate and indoor air quality impact assessment based on a realistic application methodology. Atmos. Environ. 2021, 246, 118060. [Google Scholar] [CrossRef]
- Jiang, J.; Ding, X.; Isaacson, K.P.; Tasoglou, A.; Huber, H.; Shah, A.D.; Jung, N.; Boor, B.E. Ethanol-based disinfectant sprays drive rapid changes in the chemical composition of indoor air in residential buildings. J. Hazard. Mater. Lett. 2021, 2, 100042. [Google Scholar] [CrossRef] [PubMed]
- U.S. Environmental Protection Agency. Progress Cleaning the Air and Improving People’s Health. Available online: https://www.epa.gov/clean-air-act-overview/progress-cleaning-air-and-improving-peoples-health (accessed on 17 March 2022).
- Megahed, N.A.; Ghoneim, E.M. Indoor air quality: Rethinking rules of building design strategies in post-pandemic architecture. Environ. Res. 2021, 193, 110471. [Google Scholar] [CrossRef]
- Navaratnam, S.; Nguyen, K.; Selvaranjan, K.; Zhang, G.; Mendis, P.; Aye, L. Designing post COVID-19 buildings: Approaches for achieving healthy buildings. Buildings 2022, 12, 74. [Google Scholar] [CrossRef]
- Norhidayah, A.; Chia-Kuang, L.; Azhar, M.; Nurulwahida, S. Indoor air quality and sick building syndrome in three selected buildings. Procedia Eng. 2013, 53, 93–98. [Google Scholar] [CrossRef] [Green Version]
- Greenwich, M.; Jahr-Schaffrath, B.L. A process incapability index. Int. J. Qual. Reliab. Manag. 1995, 12, 58–71. [Google Scholar] [CrossRef]
- Sung, W.-P.; Chen, K.-S. An analytical method for the process capability of a precision component of an instrument. Int. J. Adv. Manuf. Technol. 2003, 1, 126–131. [Google Scholar] [CrossRef]
- Kane, V.E. Process capability indices. J. Qual. Technol. 1986, 18, 41–52. [Google Scholar] [CrossRef]
- Sung, W.-P.; Shih, M.-H.; Chen, K.-S. Analytical method for promoting process capability of shock absorption steel. J. Zhejiang Univ. A 2003, 4, 388–392. [Google Scholar] [CrossRef]
- Pearn, W.L.; Chen, K.-S. Multiprocess performance analysis: A case study. Qual. Eng. 1997, 10, 1–8. [Google Scholar] [CrossRef]
- Huang, R.L. Field experiments on thermal comfort in campus classrooms in Taiwan. J. Energy Build. 2006, 38, 53–62. [Google Scholar]
- U.S. Environmental Protection Agency. The National Ambient Air Quality Standards for Particle Pollution, Revised Air Quality Standards for Particle Pollution and Updates to the Air Quality Index (AQI). 2012. Available online: https://www3.epa.gov/airquality// (accessed on 17 March 2022).
- Environmental Protection Administration, Executive Yuan, Taiwan, Taiwan Air Quality Index, AQI. Available online: https://airtw.epa.gov.tw/cht/Information/Standard/AirQualityIndicator.aspx (accessed on 17 March 2022).










| Quality Condition | Cpu Values |
|---|---|
| Inadequate | Cpu < 1.000 |
| Capable | 1.000 ≤ Cpu < 1.333 |
| Satisfactory | 1.333 ≤ Cpu < 1.500 |
| Excellent | 1.500 ≤ Cpu < 2.000 |
| Super | 2.000 ≤ Cpu |
| Temp | RH | |||||||
|---|---|---|---|---|---|---|---|---|
| Day | μ | σ | Ci | μ | σ | Ci | ||
| 1 | Before Change | A | 26.27 | 0.99 | 0.19 | 49.95 | 2.27 | 0.55 |
| B | 26.56 | 0.83 | 0.11 | 49.45 | 2.12 | 0.63 | ||
| After change | A | 25.05 | 1.47 | 0.77 | 57.93 | 3.47 | 0.37 | |
| B | 26.71 | 1.21 | 0.21 | 54.36 | 3.89 | 0.28 | ||
| 2 | Before Change | A | 25.16 | 1.23 | 0.62 | 50.85 | 2.58 | 0.42 |
| B | 26.13 | 0.86 | 0.18 | 49.09 | 3.02 | 0.78 | ||
| After change | A | 24.42 | 1.08 | 1.01 | 61.04 | 3.57 | 0.87 | |
| B | 26.36 | 1.02 | 0.18 | 56.65 | 4.19 | 0.36 | ||
| 3 | Before Change | A | 26.27 | 0.99 | 0.19 | 42.45 | 9.97 | 4.57 |
| B | 25.89 | 1.08 | 0.30 | 50.15 | 4.01 | 0.70 | ||
| After change | A | 24.33 | 1.09 | 1.08 | 61.78 | 2.92 | 0.97 | |
| B | 26.29 | 0.83 | 0.14 | 57.25 | 3.51 | 0.31 | ||
| 4 | Before Change | A | 25.16 | 1.23 | 0.62 | 36.75 | 3.63 | 6.16 |
| B | 26.27 | 1.06 | 0.21 | 50.76 | 4.99 | 0.76 | ||
| After change | A | 24.18 | 0.94 | 1.14 | 62.76 | 2.34 | 1.17 | |
| B | 26.02 | 0.71 | 0.17 | 58.36 | 3.57 | 0.43 | ||
| 5 | Before Change | A | 26.27 | 0.99 | 0.19 | 36.65 | 4.38 | 6.32 |
| B | 26.27 | 1.33 | 0.30 | 51.44 | 6.37 | 0.95 | ||
| After change | A | 24.40 | 0.83 | 0.95 | 62.00 | 1.91 | 0.94 | |
| B | 26.22 | 0.69 | 0.12 | 57.71 | 3.04 | 0.29 | ||
| 6 | Before Change | A | 26.27 | 0.99 | 0.19 | 41.29 | 0.46 | 3.34 |
| B | 28.51 | 0.50 | 0.43 | 62.45 | 0.83 | 1.00 | ||
| After change | A | 28.69 | 0.47 | 0.51 | 66.80 | 1.15 | 2.50 | |
| B | 29.07 | 0.26 | 0.71 | 66.58 | 1.45 | 2.42 | ||
| 7 | Before Change | A | 25.16 | 1.23 | 0.62 | 41.16 | 0.63 | 3.41 |
| B | 28.87 | 0.34 | 0.60 | 62.18 | 0.80 | 0.93 | ||
| After change | A | 29.29 | 0.74 | 0.93 | 64.38 | 1.16 | 1.59 | |
| B | 29.64 | 0.49 | 1.14 | 64.31 | 0.72 | 1.55 | ||
| PM2.5 | PM10 | TSP | |||||||||
|---|---|---|---|---|---|---|---|---|---|---|---|
| Day | μ | σ | Cpu | μ | σ | Cpu | μ | σ | Cpu | ||
| 1 | Before Change | A | 16.15 | 3.23 | −0.12 | 40.58 | 11.11 | 0.28 | 54.25 | 14.22 | 1.78 |
| B | 14.90 | 2.72 | 0.01 | 39.03 | 9.49 | 0.39 | 55.60 | 14.21 | 1.75 | ||
| After change | A | 13.35 | 2.26 | 0.24 | 21.95 | 5.25 | 1.78 | 26.82 | 6.38 | 5.39 | |
| B | 12.20 | 2.70 | 0.35 | 21.34 | 6.66 | 1.43 | 28.09 | 8.44 | 4.02 | ||
| 2 | Before Change | A | 23.39 | 57.64 | −0.05 | 102.83 | 446.75 | −0.04 | 139.26 | 591.23 | −0.01 |
| B | 16.32 | 18.53 | −0.02 | 48.06 | 84.19 | 0.01 | 67.34 | 103.06 | 0.20 | ||
| After change | A | 5.10 | 2.05 | 1.61 | 12.41 | 5.62 | 2.23 | 17.34 | 6.71 | 5.60 | |
| B | 4.56 | 1.97 | 1.77 | 13.13 | 6.74 | 1.82 | 21.51 | 9.75 | 3.71 | ||
| 3 | Before Change | A | 13.33 | 7.39 | 0.08 | 29.29 | 17.19 | 0.40 | 42.57 | 22.77 | 1.28 |
| B | 13.07 | 7.42 | 0.09 | 29.83 | 16.94 | 0.40 | 45.24 | 20.69 | 1.37 | ||
| After change | A | 4.02 | 0.68 | 5.39 | 9.68 | 2.06 | 6.53 | 14.49 | 3.33 | 11.55 | |
| B | 3.57 | 0.61 | 6.28 | 10.40 | 4.90 | 2.69 | 18.45 | 9.93 | 3.75 | ||
| 4 | Before Change | A | 15.97 | 6.13 | −0.05 | 30.75 | 14.63 | 0.44 | 41.48 | 17.11 | 1.72 |
| B | 16.48 | 8.26 | −0.06 | 37.16 | 26.57 | 0.16 | 54.65 | 35.68 | 0.70 | ||
| After change | A | 4.15 | 1.75 | 2.07 | 10.57 | 9.21 | 1.43 | 15.04 | 12.52 | 3.06 | |
| B | 3.64 | 1.49 | 2.54 | 11.62 | 11.70 | 1.09 | 19.29 | 16.71 | 2.21 | ||
| 5 | Before Change | A | 12.51 | 9.82 | 0.08 | 27.96 | 18.42 | 0.40 | 40.05 | 19.99 | 1.50 |
| B | 12.01 | 9.23 | 0.11 | 29.11 | 18.09 | 0.38 | 44.89 | 21.07 | 1.35 | ||
| After change | A | 3.27 | 0.83 | 4.73 | 8.02 | 1.85 | 7.57 | 12.47 | 3.68 | 10.65 | |
| B | 2.91 | 0.78 | 5.14 | 8.66 | 3.44 | 4.01 | 16.21 | 9.45 | 4.02 | ||
| 6 | Before Change | A | 18.37 | 3.90 | −0.29 | 22.48 | 5.59 | 1.64 | 22.73 | 5.66 | 6.32 |
| B | 17.96 | 4.36 | −0.23 | 22.84 | 7.48 | 1.21 | 23.43 | 8.91 | 3.99 | ||
| After change | A | 8.53 | 4.11 | 0.52 | 11.21 | 6.38 | 2.03 | 11.90 | 7.06 | 5.58 | |
| B | 8.13 | 3.94 | 0.58 | 10.60 | 6.09 | 2.16 | 11.30 | 6.87 | 5.76 | ||
| 7 | Before Change | A | 14.00 | 2.06 | 0.16 | 16.54 | 3.39 | 3.29 | 16.60 | 3.40 | 11.12 |
| B | 13.22 | 1.78 | 0.33 | 15.72 | 2.89 | 3.96 | 15.79 | 2.85 | 13.34 | ||
| After change | A | 6.98 | 1.23 | 2.17 | 9.89 | 2.77 | 4.83 | 10.37 | 3.10 | 12.87 | |
| B | 6.76 | 1.13 | 2.42 | 9.34 | 2.30 | 5.88 | 9.86 | 2.69 | 14.86 | ||
| Test Point | The Total Number of Samples (A) | Standardize Standard Values (B) | Before Improvement More Than (B). Number of Samples (C) | Improved More Than (B). The Number of Samples (D). | Before Change (Unqualified Ratio) C/A×100 | After Change (Unqualified Ratio) D/A×100 | |
|---|---|---|---|---|---|---|---|
| PM2.5 | A | 385 | 15 | 137 | 8 | 35.58% | 2.08% |
| B | 385 | 15 | 157 | 10 | 40.78% | 2.60% | |
| PM10 | A | 385 | 50 | 33 | 2 | 8.57% | 0.52% |
| B | 385 | 50 | 32 | 1 | 8.31% | 0.26% |
Publisher’s Note: MDPI stays neutral with regard to jurisdictional claims in published maps and institutional affiliations. |
© 2022 by the authors. Licensee MDPI, Basel, Switzerland. This article is an open access article distributed under the terms and conditions of the Creative Commons Attribution (CC BY) license (https://creativecommons.org/licenses/by/4.0/).
Share and Cite
Sung, W.-P.; Chen, T.-Y.; Liu, C.-H. Strategy for Improving the Indoor Environment of Office Spaces in Subtropical Cities. Buildings 2022, 12, 412. https://doi.org/10.3390/buildings12040412
Sung W-P, Chen T-Y, Liu C-H. Strategy for Improving the Indoor Environment of Office Spaces in Subtropical Cities. Buildings. 2022; 12(4):412. https://doi.org/10.3390/buildings12040412
Chicago/Turabian StyleSung, Wen-Pei, Ting-Yu Chen, and Chun-Hao Liu. 2022. "Strategy for Improving the Indoor Environment of Office Spaces in Subtropical Cities" Buildings 12, no. 4: 412. https://doi.org/10.3390/buildings12040412
APA StyleSung, W.-P., Chen, T.-Y., & Liu, C.-H. (2022). Strategy for Improving the Indoor Environment of Office Spaces in Subtropical Cities. Buildings, 12(4), 412. https://doi.org/10.3390/buildings12040412

