Limewashes with Linseed Oil and Its Effect on Water and Salt Transport
Abstract
:1. Introduction
- How do the water absorption and the drying kinetics of two types of porous systems vary with limewash coatings with an increasing amount of linseed oil?
- How do the drying kinetics of the limewashed porous substrates vary in the presence of a salt solution instead of pure water?
- How do the limewashes influence the development of salt efflorescence or degradation during drying of the salt-laden substrates?
2. Materials and Methods
2.1. Materials
2.1.1. Lime Putty and Linseed Oil
2.1.2. Preparation of the Limewashes
2.1.3. Substrates
2.1.4. Application of the Limewashes
2.1.5. Testing Procedures
3. Results and Discussion
4. Conclusions
- Increasing the oil dosage induces an increment in the degree of water-repellence of the limewash in both stones, though none achieved hydrophobic properties; this increment is more or less linear with increasing amount of oil added.
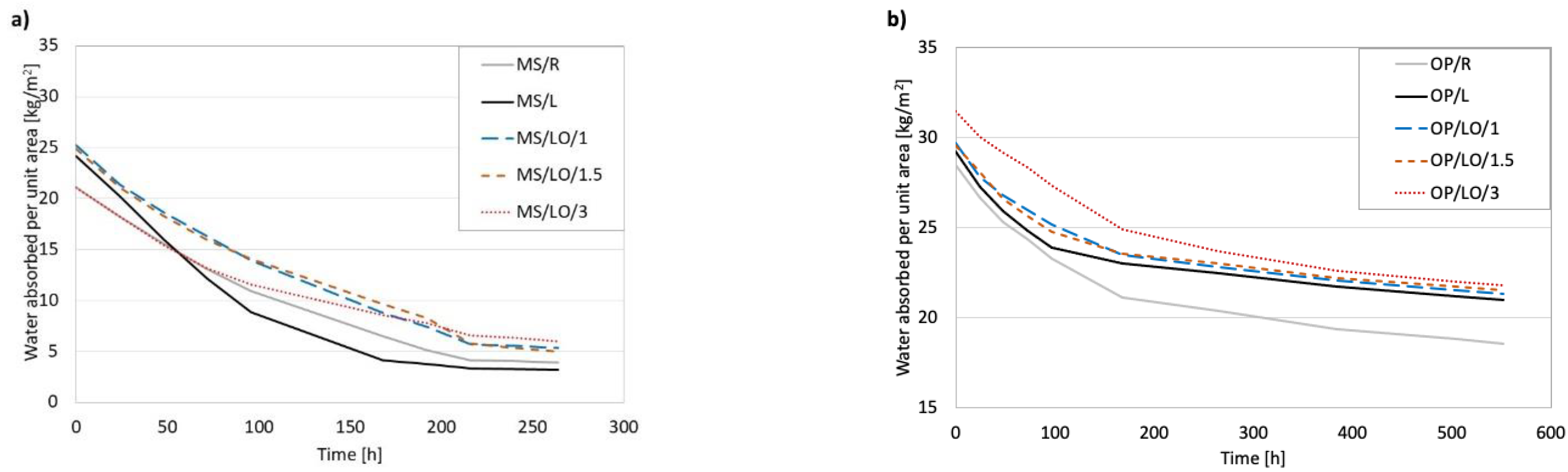
- There is a substantial reduction of the capillarity water absorption rate in Mšené coated with limewashes. Pure limewash alone promoted a relevant decrease in the capillary water uptake, further enhanced with increasing oil dosage. In the case of Opuka, the water absorption rate is considerably less influenced by the limewashes compared with Mšené.
- The effect of the limewashes on the drying with pure water was not very significant with both pure limewash and limewash with linseed oil. The drying rate was slightly accelerated by the pure limewash, which is in line with other studies.
- The evaporation rate was substantially reduced in the presence of the NaCl solution in comparison with that of pure water. Only salt efflorescence developed in Mšené and the limewash seemed to favour the development of efflorescence without damaging the paint, whereas bulging of the paint and delamination of the stone surface occurred in all Opuka specimens.
- In Mšené stone, lime can penetrate into the pores of the stone matrix and favour moisture and salt transport. In the case of Opuka, lime remains at the surface and shows no adhesion to the substrate.
Author Contributions
Funding
Institutional Review Board Statement
Informed Consent Statement
Data Availability Statement
Acknowledgments
Conflicts of Interest
References
- Faria, P.; Tavares, M.; Menezes, M.; Veiga, R.; Margalha, G. Traditional Portuguese techniques for application and maintenance of historic renders. In Proceedings of the 2nd Historic Mortars Conference HMC2010 and RILEM TC 203-RHM Final Workshop, Prague, Czech Republic, 22–24 September 2010; pp. 609–617. [Google Scholar]
- Gonçalves, T.D.; Pel, L.; Delgado Rodrigues, J. Worsening of dampness and salt damage after restoration interventions: Use of water-repellent additives in plasters and renders. In Proceedings of the 1st Historical Mortars Conference, Lisbon, Portugal, 24–26 September 2008. [Google Scholar]
- Mold, P.; Godbey, R. Limewash: Compatible coverings for masonry and stucco. In Proceedings of the International Building Lime Symposium, Orlando, FL, USA, 9–11 March 2005. [Google Scholar]
- Schofield, J. Finishing off: Using limewash and distemper in old buildings. Struct. Surv. 1991, 9, 364–369. [Google Scholar] [CrossRef]
- Silva, J.M.; Moura, A.R. Defects of inadequate paintings over mortars in old facades. In Proceedings of the 1st Historical Mortars Conference, Lisbon, Portugal, 24–26 September 2008. [Google Scholar]
- Sickels, L.B. Organic additives in mortars. Edinb. Archit. Res. 1981, 8, 7–20. [Google Scholar]
- Rowland, I.D. Vitruvius: Ten Books on Architecture; Cambridge University Press: Cambridge, UK, 1999. [Google Scholar] [CrossRef]
- Taliaferro, S. Documentation and Testing of Nineteenth-century Limewash Recipes in the United States. Master’s Thesis, Columbia University, Columbia, SC, USA, 2015. [Google Scholar]
- Hošek, J.; Ludvík, L. Historical Plasters: Research, Repair, and Typologies; Grada Publishing: Prague, Czech Republic, 2007. (In Czech) [Google Scholar]
- Malinowski, R. Concretes and mortars in ancient aqueducts. Concr. Int. 1979, 1, 66–76. [Google Scholar]
- Fiori, C.; Vandini, M.; Prati, S.; Chiavari, G. Vaterite in the mortars of a mosaic in the Saint Peter Basilica, Vatican (Rome). J. Cult. Herit. 2009, 10, 248–257. [Google Scholar] [CrossRef]
- Fang, S.; Zhang, H.; Zhang, B.; Li, G. A study of Tung-oil-lime putty: A traditional lime-based mortar. Int. J. Adhes. Adhes. 2014, 48, 224–230. [Google Scholar] [CrossRef]
- Falchi, L.; Slanzi, D.; Speri, l.; Poli, I.; Zendri, E. Optimization of sustainable, NaCl-resistant and water-repellent renders through evolutionary experimental design. Constr. Build. Mater. 2017, 147, 876–889. [Google Scholar] [CrossRef]
- Gonçalves, T.D.; Brito, V.; Musacchi, J. The whole and the parts: Can lime coatings enhance the drying of salt laden materials? Constr. Build. Mater. 2014, 57, 179–189. [Google Scholar] [CrossRef]
- EN 459-1; Building Lime. Part 1: Definitions, Specifications and Conformity Criteria. iTeh Standards: Etobicoke, ON, Canada, 2010.
- Nunes, C.; Viani, A.; Ševčík, R. Microstructural analysis of lime paste with the addition of linseed oil, stand oil, and rapeseed oil. Constr. Build. Mater. 2020, 238, 117780. [Google Scholar] [CrossRef]
- Derluyn, H.; Boone, M.A.; Boone, M.N.; De Kock, T.; Desarnaud, J.; Peetermans, S.; Molari, L.; De Miranda, S.; Shahidzadeh, N.; Cnudde, V. Salt crystallization dynamics in building rocks: A 4D study using laboratory X-ray micro-CT. In Proceedings of the 2nd International Conference on Tomography of Materials and Structures, National Institute of Scientific Research, Quebec, Canada, 29 June–3 July 2015; pp. 565–568. [Google Scholar]
- Shahidzadeh-Bonn, N.; Desarnaud, J.; Bertrand, F.; Chateau, X.; Bonn, D. Damage in porous media due to salt crystallization. Phys. Rev. E 2010, 81, 066110. [Google Scholar] [CrossRef] [PubMed] [Green Version]
- Pavlík, Z.; Michálek, P.; Pavlíková, M.; Kopecká, I.; Maxová, I.; Černý, R. Water and salt transport and storage properties of Mšené sandstone. Constr. Build. Mater. 2008, 22, 1736–1748. [Google Scholar] [CrossRef]
- Schutznerová-Havelková, V. The thousand year old building stone of Romanesque Prague. Bull. Int. Assoc. Eng. Geol. 1979, 19, 374–380. [Google Scholar] [CrossRef]
- Nunes, C.; Mlsnová, K.; Válek, J. Limewashes with linseed oil: Effect on the moisture transport of natural stone. In Proceedings of the 14th International Congress on the Deterioration and Conservation of Stone, Göttingen, Germany, 7–12 September 2020; Siegesmund, S., Middendorf, B., Eds.; Mitteldeutscher Verlag: Halle, Germany, 2020; pp. 591–596. [Google Scholar]
- RILEM 25-PEM. Recommended tests to measure the deterioration of stone and to assess the effectiveness of treatment methods, Mater. Struct. 1980, 13, 175–253.
- Godts, S.; Hayen, R.; De Clercq, H. Common salt mixtures database: A tool to identify research needs. In Proceedings of the 3rd International Conference on Salt Weathering of Buildings and Stone Sculptures, Brussels, Belgium, 14–16 October 2016; De Clercq, H., Ed.; KIK-IRPA: Brussels, Belgium, 2016; pp. 185–198. [Google Scholar]
- Hall, C.; Hoff, W.D. Water Transport in Brick, Stone and Concrete, 2nd ed.; CRC Press: New York, NY, USA, 2012. [Google Scholar] [CrossRef]
- Brito, V.; Diaz Gonçalves, T. Artisanal lime paints and their influence on moisture transport during drying. In Proceedings of the 3rd Historic Mortars Conference HMC2013, Glasgow, UK, 11–14 September 2013. [Google Scholar]
- Ferreira Pinto, A.P.; Passinhas, H.; Gomes, A.; Silva, B. Suitability of different paint coatings for renders based on natural hydraulic lime. In Proceedings of the International RILEM Conference on Materials Systems and Structures in Civil Engineering; Rorig-Dalgaard, I., Ioannou, I., Eds.; RILEM Publications S.A.R.L.: Lyngby, Denmark, 2016; pp. 175–184. [Google Scholar]
- Brito, V.; Diaz Gonçalves, T. Drying Kinetics of Porous Stones in the Presence of NaCl and NaNO3: Experimental Assessment of the Factors Affecting Liquid and Vapour Transport. Transp. Porous Med. 2013, 100, 193–210. [Google Scholar] [CrossRef]
- Desarnaud, J.; Derluyn, H.; Molari, L.; de Miranda, S.; Cnudde, V.; Shahidzadeh, N. Drying of salt contaminated porous media: Effect of primary and secondary nucleation. J. App. Phys. 2015, 118, 114901. [Google Scholar] [CrossRef] [Green Version]
- Stenberg, C.; Svensson, M.; Johansson, M. A study of the drying of linseed oils with different fatty acid patterns using RTIR-spectroscopy and chemiluminescence (CL). Ind. Crops Prod. 2005, 21, 263–272. [Google Scholar] [CrossRef]
- Zehnder, K.; Arnold, A. Crystal Growth in Salt Efflorescence. J. Cryst. Growth 1989, 97, 513–521. [Google Scholar] [CrossRef]
- Slížková, Z.; Drdácký, M.; Moreau, C. Objects in the Czech Republic—Opuka Stone: Characterisation for Treatment Trials and Demonstration, Documentation, Condition Assessment and Sampling; Stonecore Project Report (Deliverable WP4, task 4.2); IBZ-Salzchemie GMBH & CO KG: Nafplio, Greece, 2009. [Google Scholar]
- MacWilliam, K.; Nunes, C. Towards a More Realistic and Effective Use of Sodium Sulfate in Accelerated Ageing of Natural Stone. In Proceedings of the International Conference Structural Analysis of Historical Constructions, Cusco, Peru, 11–13 September 2018; RILEM Bookseries: 18. Aguilar, R., Torrealva, D., Moreira, S., Pando, M.A., Ramos, L.F., Eds.; Springer International Publishing: New York, NY, USA, 2019; pp. 1949–1958. [Google Scholar] [CrossRef]
- Přikryl, R.; Lokajíček, T.; Svobodová, J.; Weishauptová, Z. Experimental weathering of marlstone from Přední Kopanina (Czech Republic)—Historical building stone of Prague. Build. Environ. 2003, 38, 1163–1171. [Google Scholar] [CrossRef]
- Petkovic, J.; Huinink, H.P.; Pel, L.; Kopinga, K.; van Hees, R.P.J. Salt transport in plaster/substrate layers. Mater. Struct. 2007, 40, 475–490. [Google Scholar] [CrossRef]










| Stone | Stone Code | Open Porosity 1 (%) | Bulk Density 1 (kg·m−3) | Main Pore Size 2 (µm) |
|---|---|---|---|---|
| Mšené | MS | 33.3 (±1.4) | 1899 (±39) | 27 |
| Opuka | OP | 23.6 (±1.4) | 2037 (±41) | 0.2 |
| Stone | Limewash Type | Specimen Code |
|---|---|---|
| Mšené | Without limewash Pure limewash Limewash + 1% oil Limewash + 1.5% oil Limewash + 3% oil | MS/R MS/L MS/LO-1 MS/LO-1.5 MS/LO-3 |
| Opuka | Without limewash Pure limewash Limewash + 1% oil Limewash + 1.5% oil Limewash + 3% oil | OP/R OP/L OP/LO-1 OP/LO-1.5 OP/LO-3 |
| Specimen | Contact Angle | Capillarity Coefficient (kg·m−2·h−1/2) | Capillarity R2 | Drying Rate Water (kg·m−2·h) | Drying Rate Salt (kg·m−2·h) |
|---|---|---|---|---|---|
| MS/R MS/L MS/LO-1 MS/LO-1.5 MS/LO-3 | * * 28 (±11) 34 (±6) 70 (±4) | 36.28 (±1.96) 19.25 (±2.78) 13.20 (±0.84) 5.27 (±0.46) 0.66 (±0.05) | 0.99 0.95 0.95 0.96 0.99 | 0.23 (±0.03) 0.28 (±0.02) 0.28 (±0.01) 0.29 (±0.00) 0.26 (±0.02) | 0.08 (±0.01) 0.16 (±0.05) 0.08 (±0.01) 0.08 (±0.03) 0.06 (±0.01) |
| OP/R OP/L OP/LO-1 OP/LO-1.5 OP/LO-3 | * * 25 (±3) 29 (±3) 85 (±6) | 2.09 (±0.05) 1.88 (±0.04) 1.76 (±0.13) 1.74 (±0.04) 1.35 (±0.06) | 1 0.99 1 1 0.99 | 0.19 (±0.01) 0.22 (±0.02) 0.20 (±0.03) 0.20 (±0.01) 0.20 (±0.02) | 0.054 (±0.003) 0.053 (±0.006) 0.052 (±0.006) 0.051 (±0.003) 0.046 (±0.003) |
Publisher’s Note: MDPI stays neutral with regard to jurisdictional claims in published maps and institutional affiliations. |
© 2022 by the authors. Licensee MDPI, Basel, Switzerland. This article is an open access article distributed under the terms and conditions of the Creative Commons Attribution (CC BY) license (https://creativecommons.org/licenses/by/4.0/).
Share and Cite
Nunes, C.L.; Mlsnová, K.; Slížková, Z. Limewashes with Linseed Oil and Its Effect on Water and Salt Transport. Buildings 2022, 12, 402. https://doi.org/10.3390/buildings12040402
Nunes CL, Mlsnová K, Slížková Z. Limewashes with Linseed Oil and Its Effect on Water and Salt Transport. Buildings. 2022; 12(4):402. https://doi.org/10.3390/buildings12040402
Chicago/Turabian StyleNunes, Cristiana Lara, Kateřina Mlsnová, and Zuzana Slížková. 2022. "Limewashes with Linseed Oil and Its Effect on Water and Salt Transport" Buildings 12, no. 4: 402. https://doi.org/10.3390/buildings12040402
APA StyleNunes, C. L., Mlsnová, K., & Slížková, Z. (2022). Limewashes with Linseed Oil and Its Effect on Water and Salt Transport. Buildings, 12(4), 402. https://doi.org/10.3390/buildings12040402

