The Environmental Profile of Clinker, Cement, and Concrete: A Life Cycle Perspective Study Based on Ecuadorian Data
Abstract
:1. Introduction
2. Materials and Methods
2.1. Life Cycle Assessment
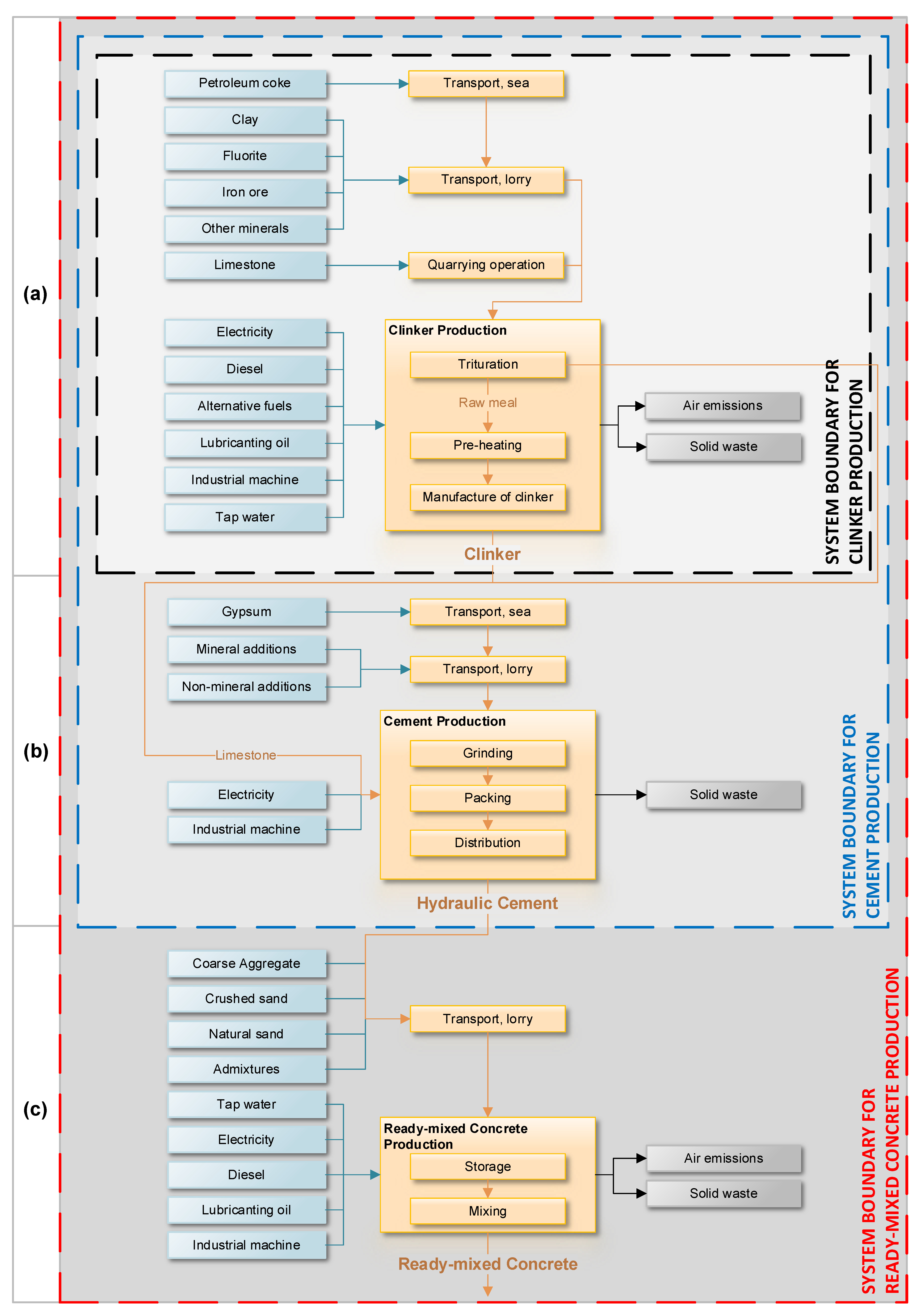
2.2. Scope
2.3. Life Cycle Inventory Analysis
2.3.1. Primary Data Collection
2.3.2. Secondary Data
2.4. Life Cycle Impact Assessment
Calculation
3. Results and Discussion
3.1. Life Cycle Inventory
3.2. Life Cycle Impact Assessment
3.2.1. Clinker
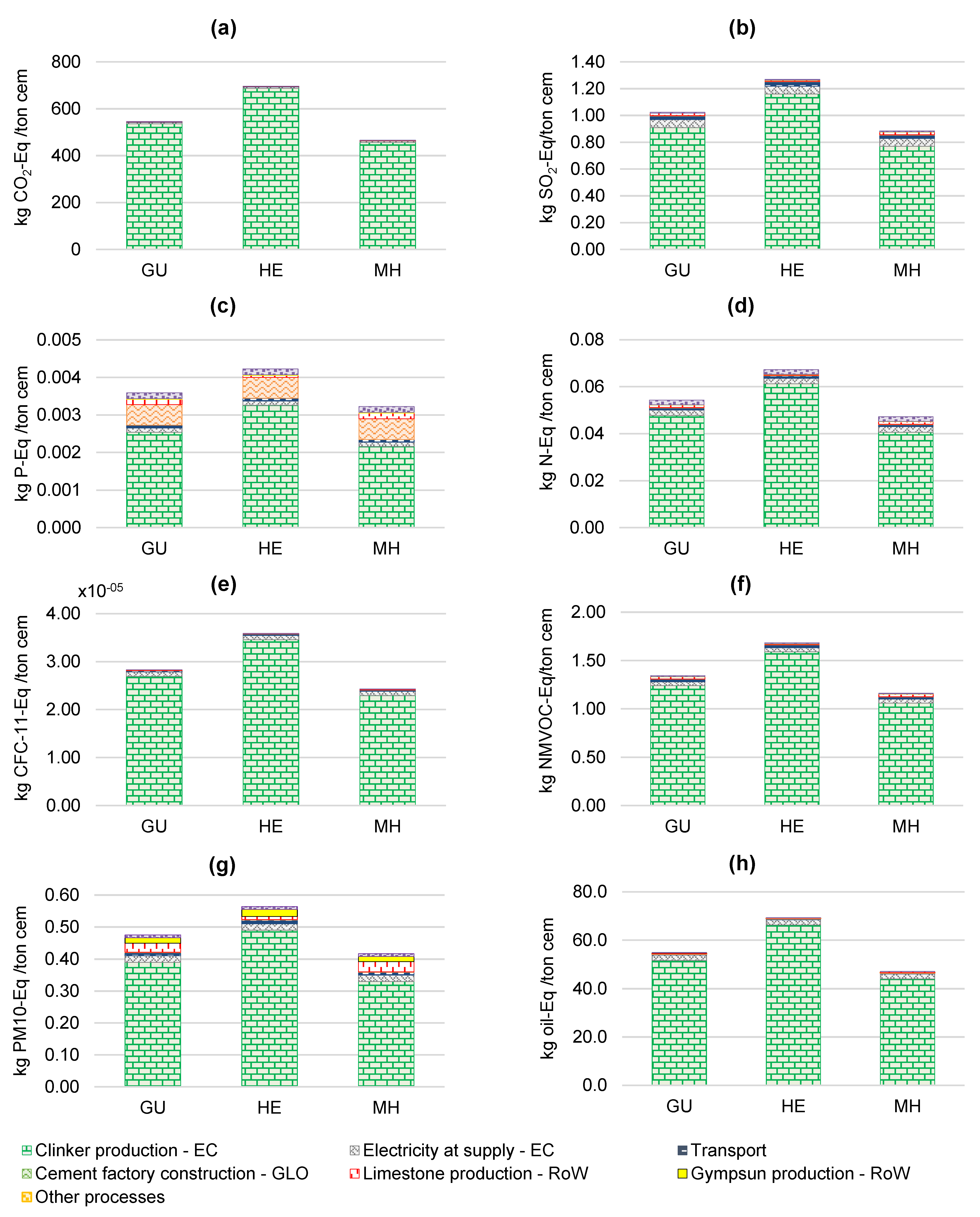
3.2.2. Cement
3.2.3. Concrete
4. Conclusions
Supplementary Materials
Author Contributions
Funding
Data Availability Statement
Acknowledgments
Conflicts of Interest
References
- United Nations; Department of Economic and Social Affairs; Population Division. World Urbanization Prospects; The 2018 Revision; United Nations: New York, NY, USA, 2019; pp. 9–10.
- United Nations. World Cities Report 2020: The Value of Sustainable Urbanization; UN-Habitat: Nairobi, Kenya, 2020; Volume 1, pp. 18–20.
- United Nations. Transforming Our World: The 2030 Agenda for Sustainable Development. United Nations Sustainable Knowledge Platform. Sustainable Development Goals. 2015; pp. 1–35. Available online: https://sustainabledevelopment.un.org/content/documents/21252030%20Agenda%20for%20Sustainable%20Development%20web.pdf (accessed on 1 February 2022).
- United Nations. The World ’s Cities in 2018; United Nations: New York, NY, USA, 2018.
- Sagastume Gutiérrez, A.; Cabello Eras, J.J.; Gaviria, C.A.; Van Caneghem, J.; Vandecasteele, C. Improved selection of the functional unit in environmental impact assessment of cement. J. Clean. Prod. 2017, 168, 463–473. [Google Scholar] [CrossRef]
- Imbabi, M.S.; Carrigan, C.; McKenna, S. Trends and developments in green cement and concrete technology. Int. J. Sustain. Built Environ. 2012, 1, 194–216. [Google Scholar] [CrossRef] [Green Version]
- Tatari, O.; Kucukvar, M. Sustainability Assessment of U.S. Construction Sectors: Ecosystems Perspective. J. Constr. Eng. Manag. 2012, 138, 918–922. [Google Scholar] [CrossRef]
- Banco Central del Ecuador. Reporte Trimestral del Mercado Laboral (Diciembre 2019); Banco Central del Ecuador: Quito, Ecuador, 2019. [Google Scholar]
- Chen, W.; Hong, J.; Xu, C. Pollutants generated by cement production in China, their impacts, and the potential for environmental improvement. J. Clean. Prod. 2015, 103, 61–69. [Google Scholar] [CrossRef]
- International Cement Review. The Global Cement ReportTM, 13th ed.; International Cement Review: Dorking, UK, 2019. [Google Scholar]
- Rodrigues, F.A.; Joekes, I. Cement industry: Sustainability, challenges and perspectives. Environ. Chem. Lett. 2011, 9, 151–166. [Google Scholar] [CrossRef]
- Supino, S.; Malandrino, O.; Testa, M.; Sica, D. Sustainability in the EU cement industry: The Italian and German experiences. J. Clean. Prod. 2016, 112, 430–442. [Google Scholar] [CrossRef]
- Humphreys, K.; Mahasenan, M. Towards a Sustainable Cement Industry. Substudy 8: Climate Change; World Business Council for Sustainable Development: Geneva, The Switzerland, 2002. [Google Scholar]
- Ellis, L.; Badel, A.; Chiang, M.; Park, R.; Chiang, Y. Toward electrochemical synthesis of cement-An electrolyzer-based process for decarbonating CaCO3 while producing useful gas streams. Proc. Natl. Acad. Sci. USA 2020, 117, 12584–12591. [Google Scholar] [CrossRef] [Green Version]
- International Energy Agency. Technology Roadmap—Low-Carbon Transition in the Cement Industry; International Energy Agency: Paris, France, 2018. [Google Scholar]
- Salas, D.A.; Ramirez, A.D.; Rodríguez, C.R.; Petroche, D.M.; Boero, A.J.; Duque-Rivera, J. Environmental impacts, life cycle assessment and potential improvement measures for cement production: A literature review. J. Clean. Prod. 2016, 113, 114–122. [Google Scholar] [CrossRef]
- World Health Organization. Health Risks of Air Pollution in Europe—HRAPIE Project, Recommendations for Concentration–Response Functions for Cost–Benefit Analysis of Particulate Matter, Ozone and Nitrogen Dioxide; World Health Organization: Copenhagen, Denmark, 2013. [Google Scholar]
- Van Goethem, T.M.W.J.; Azevedo, L.B.; Van Zelm, R.; Hayes, F.; Ashmore, M.R.; Huijbregts, M.A.J. Plant Species Sensitivity Distributions for ozone exposure. Environ. Pollut. 2013, 178, 1–6. [Google Scholar] [CrossRef] [PubMed] [Green Version]
- Zvereva, E.L.; Toivonen, E.; Kozlov, M.V. Changes in species richness of vascular plants under the impact of air pollution: A global perspective. Glob. Ecol. Biogeogr. 2008, 17, 305–319. [Google Scholar] [CrossRef]
- Roem, W.J.; Berendse, F. Soil acidity and nutrient supply ratio as possible factors determining changes in plant species diversity in grassland and heathland communities. Biol. Conserv. 2000, 92, 151–161. [Google Scholar] [CrossRef]
- FICEM. Cemento & Concreto de Iberoamérica y el Caribe; FICEM: Bogota, Colombia, 2020. [Google Scholar]
- Acebo, M.; Vera, J.; Rodríguez, J.; Zambrano, J. Estudios Industriales, Orientación Estratégica Para la Toma de Decisiones: Industria de la Construcción; ESPAE-ESPOL: Guayaquil, Ecuador, 2016. [Google Scholar]
- Anderson, R.; Dewar, J.D.; McKee, H.; Treasaden, I. Manual of Ready-Mixed Concrete; CRC Press: London, UK, 1992. [Google Scholar]
- Neville, A. Properties of Concrete, 4th ed.; Longman Group: Harlow, UK, 1995; ISBN 0-582-23070-5. [Google Scholar]
- Mehta, P.K.; Monteiro, P. Concrete. Structure, Properties and Materials, 2nd ed.; Prentice-Hall, Inc.: Hoboken, NJ, USA, 1993; ISBN 0131756214. [Google Scholar]
- Das, S.K.; Mishra, J.; Mustakim, S.M. Rice Husk Ash as a Potential Source Material for Geopolymer Concrete: A Review. Int. J. Appl. Eng. Res. 2018, 13, 81–84. [Google Scholar]
- Egüez Álava, H.; Tsangouri, E.; De Belie, N.; De Schutter, G. Chloride interaction with concretes subjected to a permanent splitting tensile stress level of 65%. Constr. Build. Mater. 2016, 127, 527–538. [Google Scholar] [CrossRef]
- Gagg, C.R. Cement and concrete as an engineering material: An historic appraisal and case study analysis. Eng. Fail. Anal. 2014, 40, 114–140. [Google Scholar] [CrossRef]
- Monteiro, P.J.M.; Miller, S.A.; Horvath, A. Towards sustainable concrete. Nat. Mater. 2017, 16, 698–699. [Google Scholar] [CrossRef]
- Van Den Heede, P.; De Belie, N. Environmental impact and life cycle assessment (LCA) of traditional and “green” concretes: Literature review and theoretical calculations. Cem. Concr. Compos. 2012, 34, 431–442. [Google Scholar] [CrossRef]
- INEC. Encuesta Nacional de Edificaciones (ENED), 2019; INEC: Quito, Ecuador, 2020. [Google Scholar]
- McDermot, E.; Agdas, D.; Rodríguez Díaz, C.R.; Rose, T.; Forcael, E. Improving performance of infrastructure projects in developing countries: An Ecuadorian case study. Int. J. Constr. Manag. 2020. [Google Scholar] [CrossRef]
- ISO. ISO-14040 Environmental Management—Life Cycle Assessment–Principles and Framework: International Organization for Standardization. 2006. Available online: https://www.iso.org/obp/ui#iso:std:iso:14040:ed-2:v1:en (accessed on 1 February 2022).
- Concrete needs to lose its colossal carbon footprint. Nature 2021, 597, 593–594. [CrossRef]
- Sartori, T.; Drogemuller, R.; Omrani, S.; Lamari, F. A schematic framework for Life Cycle Assessment (LCA) and Green Building Rating System (GBRS). J. Build. Eng. 2021, 38, 102180. [Google Scholar] [CrossRef]
- Feiz, R.; Ammenberg, J.; Baas, L.; Eklund, M.; Helgstrand, A.; Marshall, R. Improving the CO2 performance of cement, part I: Utilizing life-cycle assessment and key performance indicators to assess development within the cement industry. J. Clean. Prod. 2015, 98, 272–281. [Google Scholar] [CrossRef] [Green Version]
- García-Gusano, D.; Garraín, D.; Herrera, I.; Cabal, H.; Lechón, Y. Life cycle assessment of the Spanish cement industry: Implementation of environmental-friendly solutions. Clean Technol. Environ. Policy 2015, 17, 59–73. [Google Scholar] [CrossRef]
- Stafford, F.N.; Dias, A.C.; Arroja, L.; Labrincha, J.A.; Hotza, D. Life cycle assessment of the production of Portland cement: A Southern Europe case study. J. Clean. Prod. 2016, 126, 159–165. [Google Scholar] [CrossRef]
- Valderrama, C.; Granados, R.; Cortina, J.L.; Gasol, C.M.; Guillem, M.; Josa, A. Implementation of best available techniques in cement manufacturing: A life-cycle assessment study. J. Clean. Prod. 2012, 25, 60–67. [Google Scholar] [CrossRef]
- Çankaya, S.; Pekey, B. A comparative life cycle assessment for sustainable cement production in Turkey. J. Environ. Manag. 2019, 249, 109362. [Google Scholar] [CrossRef] [PubMed]
- García-Gusano, D.; Garraín, D.; Herrera, I.; Cabal, H.; Lechón, Y. Life Cycle Assessment of applying CO2 post-combustion capture to the Spanish cement production. J. Clean. Prod. 2015, 104, 328–338. [Google Scholar] [CrossRef]
- Li, C.; Nie, Z.; Cui, S.; Gong, X.; Wang, Z.; Meng, X. The life cycle inventory study of cement manufacture in China. J. Clean. Prod. 2014, 72, 204–211. [Google Scholar] [CrossRef]
- Tun, T.Z.; Bonnet, S.; Gheewala, S.H. Life cycle assessment of Portland cement production in Myanmar. Int. J. Life Cycle Assess. 2020, 25, 2106–2121. [Google Scholar] [CrossRef]
- Yang, D.; Fan, L.; Shi, F.; Liu, Q.; Wang, Y. Comparative study of cement manufacturing with different strength grades using the coupled LCA and partial LCC methods—A case study in China. Resour. Conserv. Recycl. 2017, 119, 60–68. [Google Scholar] [CrossRef]
- Vázquez-Rowe, I.; Ziegler-Rodriguez, K.; Laso, J.; Quispe, I.; Aldaco, R.; Kahhat, R. Production of cement in Peru: Understanding carbon-related environmental impacts and their policy implications. Resour. Conserv. Recycl. 2019, 142, 283–292. [Google Scholar] [CrossRef]
- Nakic, D. Environmental evaluation of concrete with sewage sludge ash based on LCA. Sustain. Prod. Consum. 2018, 16, 193–201. [Google Scholar] [CrossRef]
- Kleijer, A.L.; Lasvaux, S.; Citherlet, S.; Viviani, M. Product-specific Life Cycle Assessment of ready mix concrete: Comparison between a recycled and an ordinary concrete. Resour. Conserv. Recycl. 2017, 122, 210–218. [Google Scholar] [CrossRef]
- Hossain, M.U.; Cai, R.; Ng, S.T.; Xuan, D.; Ye, H. Sustainable natural pozzolana concrete—A comparative study on its environmental performance against concretes with other industrial by-products. Constr. Build. Mater. 2020, 270, 121429. [Google Scholar] [CrossRef]
- Turk, J.; Cotič, Z.; Mladenovič, A.; Šajna, A. Environmental evaluation of green concretes versus conventional concrete by means of LCA. Waste Manag. 2015, 45, 194–205. [Google Scholar] [CrossRef] [PubMed]
- Gmünder, S.; Myers, N.; Laffley, J.; Rubio, L.; Belizario Silva, F. Life Cycle Inventories of Cement, Concrete and Related Industries-Colombia and Peru for the SRI Project; Ecoinvent Association: Zürich, Switzerland, 2017. [Google Scholar]
- Muigai, R. Life Cycle Inventories of Cement, Concrete and Related Industries—South Africa; Ecoinvent Association: Zürich, Switzerland, 2017. [Google Scholar]
- Marceau, M.L.; Nisbet, M.A.; VanGeem, M.G. Life Cycle Inventory of Portland Cement Concrete. SN3011 Portl. Cem. Assoc. Skokie Ill. PCA; 2007. Available online: https://www.osti.gov/servlets/purl/1223003 (accessed on 1 February 2022).
- Bushi, L.; Meil, J. An Environmental Life Cycle Assessment of Portland-Limestone and Ordinary Portland Cements in Concrete; Cement Association of Canada: Ottawa, Canada, 2014. [Google Scholar]
- Silva, F.B.; Oliveira, L.A.; Yoshida, O.S.; John, V.M. Variability of environmental impact of ready-mix concrete: A case study for Brazil. IOP Conf. Ser. Earth Environ. Sci. 2019, 323, 012132. [Google Scholar] [CrossRef]
- ISO. ISO 14044:2006. Environmental Management—Life Cycle Assessment—Requirements And Guidelines ISO 14044. Int. Organ. Stand. 2006, 2006. Available online: https://www.iso.org/obp/ui/es/#iso:std:iso:14044:ed-1:v1:en (accessed on 1 February 2022).
- Ross, S.; Evans, D.; Webber, M. How LCA studies deal with uncertainty. Int. J. Life Cycle Assess. 2002, 7, 47–52. [Google Scholar] [CrossRef]
- Park, K.B.; Lin, R.S.; Han, Y.; Wang, X.Y. Model-Based Methods to Produce Greener Metakaolin Composite Concrete. Appl. Sci. 2021, 11, 10704. [Google Scholar] [CrossRef]
- Long, G.; Gao, Y.; Xie, Y. Designing more sustainable and greener self-compacting concrete. Constr. Build. Mater. 2015, 84, 301–306. [Google Scholar] [CrossRef]
- Ghalehnovi, M.; Roshan, N.; Taghizadeh, A.; Shamsabadi, E.A.; Hadigheh, S.A.; de Brito, J. Production of Environmentally Friendly Concrete Incorporating Bauxite Residue and Silica Fume. J. Mater. Civ. Eng. 2021, 34, 04021423. [Google Scholar] [CrossRef]
- Shamsabadi, E.A.; Ghalehnovi, M.; de Brito, J.; Khodabakhshian, A. Performance of Concrete with Waste Granite Powder: The Effect of Superplasticizers. Appl. Sci. 2018, 8, 1808. [Google Scholar] [CrossRef] [Green Version]
- Lippiatt, B.C. BEES 4.0: Building for Environmental and Economic Sustainability. Technical Manual and User Guide|NIST. Natl. Inst. Stand. Technol. Gaithersbg. 2000. Available online: https://nvlpubs.nist.gov/nistpubs/TechnicalNotes/NIST.TN.2032.pdf (accessed on 1 February 2022).
- Konečný, P.; Ghosh, P.; Hrabová, K.; Lehner, P.; Teplý, B. Effective methodology of sustainability assessment of concrete mixtures. Mater. Struct. 2020, 53, 1–15. [Google Scholar] [CrossRef]
- Müller, H.S. Sustainable structural concrete—From today’s approach to future challenge. Struct. Concr. 2013, 14, 299–300. [Google Scholar] [CrossRef]
- Mueller, H.S.; Haist, M.; Moffatt, J.S.; Vogel, M. Design, Material Properties and Structural Performance of Sustainable Concrete. Procedia Eng. 2017, 171, 22–32. [Google Scholar] [CrossRef]
- ASTM International. ASTM International. ASTM C1157/C1157M—20a, standard performance specification for hydraulic cement. In Annual Book of ASTM Standards; ASTM International: West Conshohocken, PA, USA, 2020; Volume 04.01, ISBN 978-1-6822-1426. [Google Scholar]
- Wernet, G.; Bauer, C.; Steubing, B.; Reinhard, J.; Moreno-Ruiz, E.; Weidema, B. The ecoinvent database version 3 (part I): Overview and methodology. Int. J. Life Cycle Assess. 2016, 21, 1218–1230. [Google Scholar] [CrossRef]
- Ramirez, A.D.; Boero, A.; Rivela, B.; Melendres, A.M.; Espinoza, S.; Salas, D.A. Life cycle methods to analyze the environmental sustainability of electricity generation in Ecuador: Is decarbonization the right path? Renew. Sustain. Energy Rev. 2020, 134, 110373. [Google Scholar] [CrossRef]
- Ramirez, A.D.; Rivela, B.; Boero, A.; Melendres, A.M. Lights and shadows of the environmental impacts of fossil-based electricity generation technologies: A contribution based on the Ecuadorian experience. Energy Policy 2019, 125, 467–477. [Google Scholar] [CrossRef]
- MERNNR; Ministerio de Ambiente y Agua MAAE; Agencia de Regulación y Control de Energía y Recursos Naturales No; Renovables ARCERNNR; Operador Nacional de Electricidad CENACE. Factor de Emisión de CO2 del Sistema Nacional Interconectado de Ecuador 2019; MERNNR: Quito, Ecuador, 2020; Available online: https://www.ambiente.gob.ec/wp-content/uploads/downloads/2020/11/factor_de_emision_de_co2_del_sistema_nacional_interconectado_de_ecuador_-_informe_2019.pdf (accessed on 1 February 2022).
- Goedkoop, M.; Heijungs, R.; De Schryver, A.; Struijs, J.; Van Zelm, R. ReCiPe 2008 A Life Cycle Impact Assessment Method Which Comprises Harmonised Category Indicators at the Midpoint and the Endpoint Level First Edition (Version 1.08) Report I: Characterisation Mark Huijbregts 3. 2013. Available online: https://www.rivm.nl/sites/default/files/2018-11/ReCiPe%202008_A%20lcia%20method%20which%20comprises%20harmonised%20category%20indicators%20at%20the%20midpoint%20and%20the%20endpoint%20level_First%20edition%20Characterisation.pdf (accessed on 1 February 2022).
- GreenDelta openLCA.org|openLCA Is a Free, Professional Life Cycle Assessment (LCA) and Footprint Software with a Broad Range of Features and Many Available Databases, Created by GreenDelta since 2006. Available online: https://www.openlca.org/ (accessed on 5 February 2021).
- Fennell, P.S.; Davis, S.J.; Mohammed, A. Decarbonizing cement production. Joule 2021, 5, 1305–1311. [Google Scholar] [CrossRef]
- Chen, C.; Habert, G.; Bouzidi, Y.; Jullien, A. Environmental impact of cement production: Detail of the different processes and cement plant variability evaluation. J. Clean. Prod. 2010, 18, 478–485. [Google Scholar] [CrossRef]
- Li, C.; Cui, S.; Nie, Z.; Gong, X.; Wang, Z.; Itsubo, N. The LCA of portland cement production in China. Int. J. Life Cycle Assess. 2015, 20, 117–127. [Google Scholar] [CrossRef]
- Josa, A.; Aguado, A.; Cardim, A.; Byars, E. Comparative analysis of the life cycle impact assessment of available cement inventories in the EU. Cem. Concr. Res. 2007, 37, 781–788. [Google Scholar] [CrossRef] [Green Version]
- Gursel, A.P.; Ostertag, C. Comparative life-cycle impact assessment of concrete manufacturing in Singapore. Int. J. Life Cycle Assess. 2017, 22, 237–255. [Google Scholar] [CrossRef]





| Impact Categories | Unit | This Study | Literature Reviewed |
|---|---|---|---|
| Global Warming Potential—GWP100 | kg CO2-Eq | 897.04 | 850–929 1 |
| Terrestrial Acidification Potential—TAP100 | kg SO2-Eq | 1.52 | 8.41 2 |
| Freshwater Eutrophication Potential—FEP | kg P-Eq | 0.42 × 10−2 | 1.21 × 10−2 3 |
| Marine Eutrophication Potential—MEP | kg N-Eq | 0.08 | ------ |
| Ozone Depletion Potential—ODPinf | kg CFC−11-Eq | 4.51 × 10−5 | ------ |
| Photochemical Oxidant Formation Potential—POFP | kg NMVOC-Eq | 2.08 | 1.24 3 |
| Particulate Matter Formation Potential—PMFP | kg PM10-Eq | 0.65 | ------ |
| Fossil Depletion Potential—FDP | kg oil-Eq | 86.48 | ------ |
| Impact Categories | Unit | This Study | Literature Reviewed | ||
|---|---|---|---|---|---|
| GU 1 | HE 2 | MH 3 | |||
| Global Warming Potential—GWP100 | kg CO2-Eq | 545.78 | 696.81 | 465.89 | 632–950 4 452–850 5 |
| Terrestrial Acidification Potential—TAP100 | kg SO2-Eq | 1.03 | 1.27 | 0.88 | 1.467–4.1 6 0.87–1.16 7 |
| Freshwater Eutrophication Potential—FEP | kg P-Eq | 3.59 × 10−3 | 4.23 × 10−3 | 3.22 × 10−3 | 1.23 × 10−2 8 |
| Marine Eutrophication Potential—MEP | kg N-Eq | 0.054 | 0.067 | 0.047 | -- |
| Ozone Depletion Potential—ODP | kg CFC−11-Eq | 2.83 × 10−5 | 3.59 × 10−5 | 2.43 × 10−5 | 9.60 × 10−9 4.20 × 10−5 9 |
| Photochemical Oxidant Formation Potential—POFP | kg NMVOC-Eq | 1.34 | 1.68 | 1.16 | 1.09 8 |
| Particulate Matter Formation Potential—PMFP | kg PM10-Eq | 0.48 | 0.56 | 0.42 | ------ |
| Fossil Depletion Potential—FDP | kg oil-Eq | 54.85 | 69.30 | 47.14 | ------ |
| Compressive Strength | GWP100 kg CO2-Eq | TAP100 kg SO2-Eq | FEP kg P-Eq | MEP kg N-Eq | ODPinf kg CFC−11-Eq | POFP kg NMVOC-Eq | PMFP kg PM10-Eq | FDP kg Oil-Eq |
|---|---|---|---|---|---|---|---|---|
| 2.5 MPa | 126.02 | 0.35 | 5.79 × 10−3 | 0.019 | 0.93 × 10−5 | 0.50 | 0.17 | 22.55 |
| 15 MPa | 206.80 | 0.49 | 8.04 × 10−3 | 0.027 | 1.35 × 10−5 | 0.67 | 0.23 | 30.17 |
| 18 MPa | 225.84 | 0.54 | 9.40 × 10−3 | 0.029 | 1.45 × 10−5 | 0.72 | 0.25 | 33.43 |
| 21 MPa | 237.22 | 0.55 | 9.73 × 10−3 | 0.030 | 1.50 × 10−5 | 0.75 | 0.26 | 34.85 |
| 24 MPa | 256.08 | 0.60 | 10.2 × 10−3 | 0.033 | 1.63 × 10−5 | 0.81 | 0.28 | 37.89 |
| 28 MPa | 267.54 | 0.62 | 10.3 × 10−3 | 0.034 | 1.66 × 10−5 | 0.83 | 0.29 | 38.91 |
| 30 MPa | 290.85 | 0.67 | 11.4 × 10−3 | 0.036 | 1.85 × 10−5 | 0.90 | 0.32 | 43.17 |
| 35 MPa | 310.31 | 0.69 | 11.2 × 10−3 | 0.038 | 1.88 × 10−5 | 0.93 | 0.32 | 44.87 |
| 40 MPa | 355.38 | 0.77 | 11.8 × 10−3 | 0.041 | 2.07 × 10−5 | 1.02 | 0.35 | 50.86 |
| 45 MPa | 379.38 | 0.83 | 11.2 × 10−3 | 0.045 | 2.29 × 10−5 | 1.12 | 0.39 | 52.25 |
| 50 MPa | 382.03 | 0.82 | 12.0 × 10−3 | 0.044 | 2.23 × 10−5 | 1.10 | 0.38 | 53.37 |
| 60 MPa | 419.55 | 0.89 | 13.3 × 10−3 | 0.048 | 2.40 × 10−5 | 1.17 | 0.41 | 59.18 |
| 80 MPa | 442.14 | 0.91 | 12.3 × 10−3 | 0.048 | 2.46 × 10−5 | 1.19 | 0.41 | 60.25 |
Publisher’s Note: MDPI stays neutral with regard to jurisdictional claims in published maps and institutional affiliations. |
© 2022 by the authors. Licensee MDPI, Basel, Switzerland. This article is an open access article distributed under the terms and conditions of the Creative Commons Attribution (CC BY) license (https://creativecommons.org/licenses/by/4.0/).
Share and Cite
Petroche, D.M.; Ramirez, A.D. The Environmental Profile of Clinker, Cement, and Concrete: A Life Cycle Perspective Study Based on Ecuadorian Data. Buildings 2022, 12, 311. https://doi.org/10.3390/buildings12030311
Petroche DM, Ramirez AD. The Environmental Profile of Clinker, Cement, and Concrete: A Life Cycle Perspective Study Based on Ecuadorian Data. Buildings. 2022; 12(3):311. https://doi.org/10.3390/buildings12030311
Chicago/Turabian StylePetroche, Daniel M., and Angel D. Ramirez. 2022. "The Environmental Profile of Clinker, Cement, and Concrete: A Life Cycle Perspective Study Based on Ecuadorian Data" Buildings 12, no. 3: 311. https://doi.org/10.3390/buildings12030311
APA StylePetroche, D. M., & Ramirez, A. D. (2022). The Environmental Profile of Clinker, Cement, and Concrete: A Life Cycle Perspective Study Based on Ecuadorian Data. Buildings, 12(3), 311. https://doi.org/10.3390/buildings12030311
