Performance-Based Compositive Passive Control Analysis of Multi-Tower Building with Chassis: Optimization of Kelvin-Voigt Dampers
Abstract
:1. Introduction
2. Analytical Model and Motion Equation
2.1. Analytical Model of Multi-Tower Building (MTB) Adopted Compositive Passive Control (CPC) Method
2.2. State Equation of Single Degree of Freedom (DOF) System of MTB
2.3. Extended State Equation of Clough–Penzien Spectral Model
2.4. Structure Random Response Solution
3. Optimization of CPC Method
3.1. Performance Parameter Optimization of Passive Control Unit
3.2. Optimization Process
4. Example Analysis of CPC Method Application
4.1. Optimization of Performance Parameters Single-DOF System
4.2. Analysis of Vibration Control of Multi-DOF System
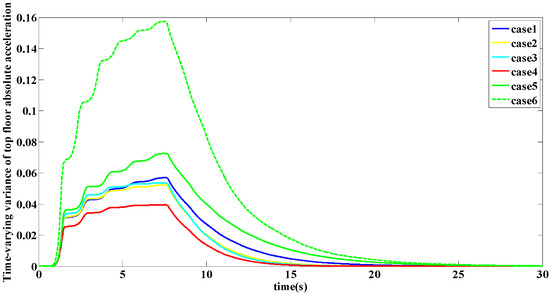
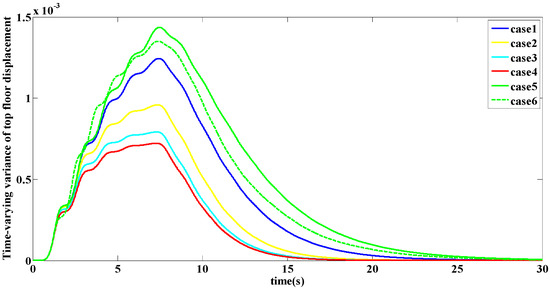
4.2.1. Effectiveness Analysis
- Case 1: The MTB adopts a CPC method. On the basis of inter-story isolation, the Kelvin-Voigt model is also used between adjacent towers, as shown in model 3 in Figure 5, and the connection control device is arranged on the first layer of the tower;
- Case 2: The MTB adopts a CPC method. The connecting control device is arranged on the sixth layer of the tower;
- Case 3: The MTB adopts a CPC method. The connecting control device is arranged on the 11th layer of the tower;
- Case 4: The MTB adopts a CPC method. The connecting control device is arranged on the 16th layer of the tower;
- Case 5: MTB adopts seismic scheme. It is similar to model 2, but it is formed as an uncontrolled structure without the interlayer seismic isolation, as shown in model 1 in Figure 5;
- Case 6: MTB adopts isolation scheme, as shown in model 2 in Figure 5.
4.2.2. Layout Optimization of Multi-DOF System
5. Conclusions
- The optimized performance parameters of the connection control device calculated based on the single-DOF layer shear model of MTB are also applicable to the multi-DOF layer shear model. The structural responses calculated by single-DOF layer shear model and multi-DOF layer shear model are basically the same;
- When the performance parameters and layout scheme of the control device are reasonable, the CPC method has good damping effect on the displacement response and absolute acceleration response of the structure; compared with the isolation scheme, it keeps the advantages of the isolation scheme, and reduces the response amplification caused by the interlayer isolation;
- Relatively speaking, the CPC method is better for a tower with small natural frequency and can control the structural response well. In order to effectively restrict the displacement response of the left and right towers and avoid the amplification of part of the layer response, the connection control device is better to arranged near the isolation layer;
- Taking the minimum total energy of structural vibration as the optimization objective, it is better to arrange the connection control device at the top of the structure. The control effect can reach more than 69.63%, and the highest can reach 84.64% under the condition of random ground motion as input.
- In the analysis of the paper, the effectiveness of the CPC method is studied and verified only through theoretical analysis and numerical simulation. In the subsequent research, the finite element simulation or shaking table test can be used to further verify and analysis. Besides, the plane of the calculation model selected in this paper is relatively regular, and only the horizontal excitation is considered. For structures with irregular shapes, or asymmetric structures, such as asymmetric three-tower structures, there must be torsional effect under seismic action. In the subsequent study, it is necessary to combine the coupling and torsional law of the large chassis tower system, and the optimization design of more complex passive control devices under bidirectional or three-dimensional seismic waves.
Author Contributions
Funding
Institutional Review Board Statement
Informed Consent Statement
Data Availability Statement
Conflicts of Interest
References
- Priestley, M. Performance Based Seismic Design. Bull. N. Z. Soc. Earthq. Eng. 2000, 33, 325–346. [Google Scholar] [CrossRef] [Green Version]
- Qiang, X.; Chen, C.C. Performance-based seismic design of structures: A direct displacement-based approach. Eng. Struct. 2003, 25, 1803–1813. [Google Scholar] [CrossRef]
- Gaxiola-Camacho, J.R.; Azizsoltani, H.; Villegas-Mercado, F.J.; Achintya, H. A novel reliability technique for implementation of Performance-Based Seismic Design of structures. Eng. Struct. 2017, 142, 137–147. [Google Scholar] [CrossRef] [Green Version]
- Dang, Y.; Huo, K.C.; Qin, F.F. Lateral-Torsional Coupled Seismic Response of Asymmetric Multi-Tower Base Isolated Structures with Large Floors. Adv. Mater. Res. 2011, 243–249, 3975–3979. Available online: https://www.scientific.net/AMR.243-249.3975 (accessed on 12 December 2021). [CrossRef]
- Petti, L.; Giannattasio, G.; De Iuliis, M.; Palazzo, B. Small scale experimental testing to verify the effectiveness of the base isolation and tuned mass dampers combined control strategy. Smart Struct. Syst. 2010, 6, 57–72. [Google Scholar] [CrossRef] [Green Version]
- Mehair, Y.; Nelson, L.; Elisa, L.; John, L.W. Effect of podium interference on shear force distributions in tower walls supporting tall buildings. Eng. Struct. 2017, 148, 639–659. [Google Scholar] [CrossRef]
- Zhou, Y.; Chen, P.; Wang, C.Y.; Zhang, L.X.; Lu, L. Seismic performance evaluation of tall, multi-tower reinforced concrete buildings with large bottom podiums. Struct. Concr. 2018, 19, 1591–1607. [Google Scholar] [CrossRef]
- Zhou, Y.; Chen, P.; Zhang, L.X.; Wang, C.Y.; Lu, L. Shaking table tests and numerical analysis of an over-track multi-tower building. Struct. Infrastruct. Eng. 2019, 15, 230–243. [Google Scholar] [CrossRef]
- Moehle, J.P. Seismic Response of Vertically Irregular Structures. J. Struct. Eng. 2014, 110, 2002–2014. [Google Scholar] [CrossRef]
- Elnashai, A.; Soliman, M. Effect of Building Configuration on Seismic Response Parameters; University of Missouri—Rolla: St. Louis, MO, USA, April 1995; pp. 7, 26. Available online: https://scholarsmine.mst.edu/icrageesd/03icrageesd/session07/15/ (accessed on 12 December 2021).
- Du, Y.F.; Jia, S.X. Analysis of torsional vibration response isolated in multi-tower structure with large podium subjected to multi-dimensional earthquake. Earthq. Resist. Eng. Retrofit. 2012, 34, 62–67. Available online: http://en.cnki.com.cn/Article_en/CJFDTOTAL-GCKZ201205011.htm (accessed on 12 December 2021). (In Chinese).
- Wu, Y.X.; Lu, J.F.; Zhao, X.; Lin, Y.Q. Model Test and Lateral–Torsional Coupling Effect Analysis of the Mid-story Isolation Structure with Large Chassis. Adv. Eng. Sci. 2018, 50, 48–55. Available online: http://en.cnki.com.cn/Article_en/CJFDTotal-SCLH201806007.htm (accessed on 12 December 2021). (In Chinese).
- Ryan, K.L.; Earl, C.L. Analysis and design of inter-story isolation systems with nonlinear devices. J. Earthq. Eng. 2010, 7, 1044–1062. [Google Scholar] [CrossRef]
- Koh, T.; Kobayashi, M. Vibratory characteristics and earthquake response of midstory isolated buildings. Mem. Inst. Sci. Technol. 2000, 39, 97–114. [Google Scholar]
- Earl, C.L. Effectiveness and feasibility of inter-story isolation systems. Master’s Thesis, Utah State University, Logan, UT, USA, 2007. Available online: https://www.proquest.com/docview/304807965?accountid=130516 (accessed on 12 December 2021).
- Zhou, F.L. Advanced passive control techniques for retrofit of existing buildings. In Proceedings of the 12th WCEE Conference, Auckland, New Zealand, 30 January–4 February 2000; Vancouver Ltd.: Vancouver, BC, Canada, 2007; pp. 1–7. Available online: https://www.iitk.ac.in/nicee/wcee/article/0194.pdf (accessed on 12 December 2021).
- Wang, S.J.; Chang, K.C.; Hwang, J.S.; Lee, B.H. Simplified analysis of mid-story seismically isolated buildings. Earthq. Eng. Eng. Vib. 2011, 40, 119–133. [Google Scholar] [CrossRef]
- Xu, Y.L.; He, Q.; Ko, J.M. Dynamic response of damper-connected adjacent buildings under earthquake excitation. Eng. Struct. 1999, 21, 135–148. [Google Scholar] [CrossRef]
- Zhang, W.S.; Xu, Y.L. Dynamic characteristics and seismic response of adjacent building s linked by discrete dampers. Earthq. Eng. Struct. Dyn. 1999, 28, 1163–1185. [Google Scholar] [CrossRef]
- Xu, Y.L.; Zhang, W.S.; Ko, J.M. Experimental investigation of adjacent building s connected by fluid damper. Earthq. Eng. Struct. Dyn. 1999, 28, 601–631. [Google Scholar] [CrossRef]
- Basili, M.; Angelis, M.D. A reduced order model for optimal design of 2-mdof adjacent structures connected by hysteretic dampers. J. Sound Vib. 2007, 306, 297–317. [Google Scholar] [CrossRef]
- Basili, M.; Angelis, M.D. Optimal passive control of adjacent structures interconnected with nonlinear hysteretic devices. J. Sound Vib. 2007, 301, 106–125. [Google Scholar] [CrossRef]
- Matsagar, V.A.; Jangid, R.S. Viscoelastic damper connected to adjacent structures involving seismic isolation. Statyba 2005, 11, 309–322. [Google Scholar] [CrossRef]
- Quinonero, F.; Massegu, J.R.; Rossell, J.M.; Karimi, H.R. Semiactive-passive structural vibration control strategy for adjacent structures under seismic excitation. J. Frankl. Inst. 2012, 349, 3003–3026. [Google Scholar] [CrossRef]
- Quinonero, F.; Massegu, J.R.; Rossell, J.M.; Karimi, H.R. Vibration control for adjacent structures using local state information. Mechatronics 2014, 24, 336–344. [Google Scholar] [CrossRef] [Green Version]
- Klein, R.E.; Healey, M.D. Semi-Active Control of Wind Induced Oscillations in Structures. Struct. Control 1987, 354–369. [Google Scholar] [CrossRef]
- Zhu, H.P.; Xu, Y.L. Optimum parameters of Maxwell model-defined dampers used to link adjacent structures. J. Sound Vib. 2005, 279, 253–274. [Google Scholar] [CrossRef]
- Zhu, H.P.; Wen, Y.P.; Iemura, H.A. Study on interaction control for seismic response of parallel structures. Comput. Struct. 2001, 79, 231–242. [Google Scholar] [CrossRef]
- Zhu, H.P.; Lemura, H. A study of response control on the passive coupling element between two parallel structures. Struct. Eng. Mech. 2000, 9, 383–396. [Google Scholar] [CrossRef]
- Wu, Q.Y.; Dai, J.Z.; Zhu, H.P. Optimum Design of Passive Control Devices for Reducing the Seismic Response of Twin-Tower-Connected Structures. J. Earthq. Eng. 2018, 22, 826–860. [Google Scholar] [CrossRef]
- Patel, C.C.; Jangid, R.S. Seismic response of dynamically similar adjacent buildings connected with viscous dampers. IES J. Part A Civ. Struct. Eng. 2010, 3, 1–13. [Google Scholar] [CrossRef]
- Patel, C.C. Random response analysis of adjacent structures connected with friction damper. Asian J. Civ. Eng. 2021, 22, 1115–1129. [Google Scholar] [CrossRef]
- Teng, J. Theory, Technology and Method of Structural Random Vibration; Science Press: Beijing, China, 2009. (In Chinese) [Google Scholar]
- Fang, T. Engineering Random Vibration; National Defense Industry Press: Beijing, China, 1995; Available online: http://img.sslibrary.com/n/slib/book/slib/10651331/89934eed94114334b344b3f01fe1f236/bb7a7c31ea20dd0eb9fc96293b28fdeb.shtml?dxbaoku=false&deptid=2705&fav=http%3A%2F%2Fwww.sslbrary.com%2Freader%2Fpdg%2Fpgreader%3Fd%3Dd0d360de62f70fabbb93e5380e63a5bb%26ssid%3D10651331&fenlei=1806010203&spage=1&t=5&username=218.95.214.4&view=-1 (accessed on 12 December 2021). (In Chinese)
- Zhong, W.X. Making great efforts to create the road of independent innovation in engineering application of random vibration theory in China. Appl. Math. Mech. 2017, 38, 3. Available online: https://d.wanfangdata.com.cn/periodical/xmgljs201902003 (accessed on 12 December 2021). (In Chinese).
- Grigoriu, M.; Soong, T.W. Random Vibration of Mechanical and Structural Systems. NASA STI/Recon Tech. Rep. A 1993, 93, 14690. Available online: https://ui.adsabs.harvard.edu/abs/1993STIA...9314690S/abstract (accessed on 12 December 2021).
- Robson, J.D. Random vibration and statistical linearization. J. Sound Vib. 1990, 141, 532–533. Available online: https://www.researchgate.net/publication/239289840_Random_vibration_and_statistical_linearization (accessed on 12 December 2021). [CrossRef]
- Housner, G.W. Characteristics of strong motion earthquakes. Bull. Seismol. Soc. Am. 1947, 37, 19–37. Available online: https://www.researchgate.net/publication/245644155_Characteristics_of_Strong_Motion_Earthquakes (accessed on 12 December 2021). [CrossRef]
- Kanai, K.; Yoshizawa, S.; Suzuki, T. An empirical formula for the spectrum of strong earthquake motions. Bull. Earthq. Res. Inst. Univ. Tokyo 1963, 41, 261–270. Available online: https://www.researchgate.net/publication/29773851_An_Empirical_Formula_for_the_Spectrum_of_Strong_Earthquake_Motions_II (accessed on 12 December 2021).
- Tajimi, H. A statistical method of determining the maxi-mum response of a building structure during an earth-quake. In Proceedings of the Second World Conference on Earthquake Engineering (WCEE), Tokyo, Japan, 11–18 July 1960; Volume 2, pp. 781–798. Available online: https://www.researchgate.net/publication/245080913_A_Statistical_Method_of_Determining_the_Maximum_Response_of_a_Building_Structure_during_An_Earthquake (accessed on 12 December 2021).
- Clough, R.W.; Penzien, J.; Griffin, D.S. Dynamics of structures. J. Appl. Mech. 1977, 44, 366. Available online: https://www.researchgate.net/publication/258886062_Dynamics_of_Structures (accessed on 12 December 2021). [CrossRef] [Green Version]
- OU, J.P.; Niu, D.T.; Du, X.L. The model of random ground motion and its parameters are used to determine. Seism. Eng. Eng. Vib. 1991, 11, 45–54. Available online: http://qikan.cqvip.com/Qikan/Article/Detail?id=462511 (accessed on 12 December 2021). (In Chinese).
- Li, H.J.; Chen, C. An improved Jinjing Qingpu model for stable earthquake ground motion. Eng. Mech. 2014, 31, 158–163. Available online: http://www.cqvip.com/QK/95324X/20142/48618314.html (accessed on 12 December 2021). (In Chinese).




















Publisher’s Note: MDPI stays neutral with regard to jurisdictional claims in published maps and institutional affiliations. |
© 2022 by the authors. Licensee MDPI, Basel, Switzerland. This article is an open access article distributed under the terms and conditions of the Creative Commons Attribution (CC BY) license (https://creativecommons.org/licenses/by/4.0/).
Share and Cite
Zhang, S.; Hu, Y.; Zhang, C.; Li, S.; Tan, P. Performance-Based Compositive Passive Control Analysis of Multi-Tower Building with Chassis: Optimization of Kelvin-Voigt Dampers. Buildings 2022, 12, 137. https://doi.org/10.3390/buildings12020137
Zhang S, Hu Y, Zhang C, Li S, Tan P. Performance-Based Compositive Passive Control Analysis of Multi-Tower Building with Chassis: Optimization of Kelvin-Voigt Dampers. Buildings. 2022; 12(2):137. https://doi.org/10.3390/buildings12020137
Chicago/Turabian StyleZhang, Shangrong, Yuchen Hu, Chi Zhang, Shihao Li, and Ping Tan. 2022. "Performance-Based Compositive Passive Control Analysis of Multi-Tower Building with Chassis: Optimization of Kelvin-Voigt Dampers" Buildings 12, no. 2: 137. https://doi.org/10.3390/buildings12020137
APA StyleZhang, S., Hu, Y., Zhang, C., Li, S., & Tan, P. (2022). Performance-Based Compositive Passive Control Analysis of Multi-Tower Building with Chassis: Optimization of Kelvin-Voigt Dampers. Buildings, 12(2), 137. https://doi.org/10.3390/buildings12020137

