Statistical Evaluation and Development of General Thermal Comfort Equations for Naturally Ventilated Buildings in Humid and Dry Hot Climates
Abstract
1. Introduction
2. Brief Literature Review
2.1. Health and Thermal Comfort
2.2. Energy and Thermal Comfort
2.3. Buildings and Thermal Comfort
3. Materials and Methods
- A database was elaborated compiling the parameters (slope, intercept, equilibrium temperature, and applicability interval) of thermal comfort equations for hot-humid and hot-dry zones. Two conditions were considered relevant for an equation to be included: the type of climate is specified, and the equations are calculated using data gathered in spaces (no matter the type) with natural ventilation (NV) or free running (FR). This database enabled understanding of the chronological development in terms of thermal comfort, and served as a repository of data regarding construction parameters of adaptive models and case studies.
- The Shapiro–Wilk test for normality was applied to the parameters of the models for hot-humid and hot-dry climates, and the significance level was α = 0.05. The relevance of applying this test is to determine whether the parameters of the comfort equations follow or approximate a normal distribution.
- Outliers were identified and eliminated through discordance tests for univariate samples that tended to be normal. Deviation/extension, Grubbs, Dixon, and high-order moments tests [55] were applied. Considering the rigor of any statistical analysis, it was necessary to use these tests to rule out outliers, as well as to characterize what arises from them.
- The mean and variance of the parameters associated with humid and dry climates were determined and compared using the F-test (Fisher test) and Student’s t-test. These tests were conducted using 5% and 1% significance levels.
- The zones with the highest probability of transit for the comfort equations by type of climate were determined. The authors consider it significant to graphically denote the trend and the points of incidence of the parameters that make up each equation; this allows determination of the differences in the plane between HD and HH climates.
- Average thermal comfort equations were proposed for hot-humid and hot-dry climates, including buildings with adequate natural ventilation or free running.
- (a)
- Shapiro–Wilk normality test
- (b)
- Determination of deviated data for normal distribution
- (c)
- F-test and Student’s t-test, for comparison of samples
4. Results
4.1. Database
4.2. Evaluation of the Normality in Population Samples
| Reference | n | a 1 | b 1 | Temperature of Equilibrium Teq (°C) | Applicability Range for Tout (°C) 1 | |
|---|---|---|---|---|---|---|
| Nicol and Roaf (1996) | [12] | 4927 | 17.00 | 0.38 | 27.42 | [5, 35] |
| Humphreys and Nicol (1998) | [62] | n.a. 2 | 11.9 | 0.534 | 25.54 | Undefined |
| Nicol et al. (1999) | [13] | n.a. 2 | 18.5 | 0.36 | 28.91 | [5, 35] |
| de Dear and Brager (2002) | [14] | n.a. 2 | 17.8 | 0.31 | 25.80 | [10, 33.5] |
| Bouden and Ghrab (2005) | [16] | 200 | 10.35 | 0.5179 | 21.47 | [8, 35] |
| Zain et al. (2007) | [63] | n.a. 2 | 17.6 | 0.31 | 25.51 | Undefined |
| Rijal et al. (2009) | [26] | 601 | 15.4 | 0.516 | 31.82 | >10 |
| Nguyen et al. (2012) | [18] | 583 | 18.83 | 0.341 | 28.57 | [26, 34] |
| Toe and Kubota (2013) | [2] | 2837 | 13.80 | 0.57 | 32.09 | [24.9, 31.2] |
| Indraganti et al. (2014) | [29] | 1352 | 21.40 | 0.26 | 28.92 | [10, 36] |
| Luo et al. (2015) | [64] | 834 | 14.64 | 0.41 | 24.81 | [17.4, 29.4] |
| Singh et al. (2015) | [65] | n.a. 2 | 22.69 | 0.15 | 26.69 | [10, 35] |
| Damiati et al. (2016) | [66] | n.a. 2 | 18.8 | 0.33 | 28.05 | Undefined |
| Singh et al. (2017) | [67] | 15 | 16.937 | 0.3568 | 26.33 | [5, 25] |
| de Dear et al. (2018) | [31] | 76 | 16.75 | 0.26 | 22.64 | [8, 27] |
| Du et al. (2019) | [5] | n.a. 2 | 16.28 | 0.39 | 26.69 | [5, 30] |
| López et al. (2019) | [32] | 181 | 18.45 | 0.32 | 27.13 | Undefined |
| Reference | n | a 1 | b 1 | Temperature of Equilibrium Teq (°C) | Applicability Range for Tout (°C) 1 | |
|---|---|---|---|---|---|---|
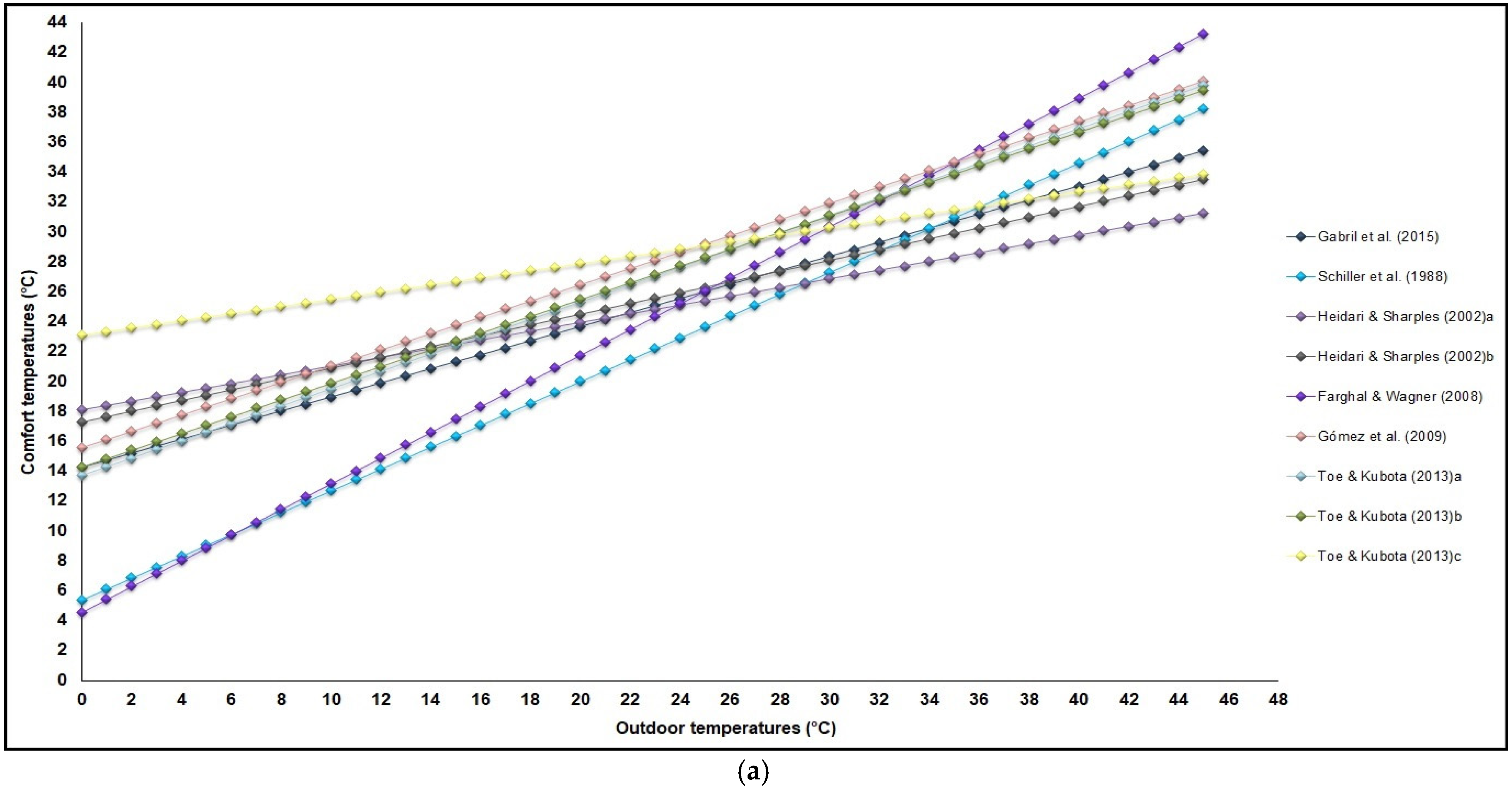
| Schiller et al. (1988) | [59] | 221 | 5.41 | 0.73 | 20.04 | Undefined |
| Heidari and Sharples (2002) | [15] | n.a. 2 | 18.10 | 0.292 | 25.56 | [0, 40] |
| Heidari and Sharples (2002) | [15] | n.a. 2 | 17.3 | 0.36 | 27.03 | [0, 40] |
| Farghal and Wagner (2008) | [25] | 770 | 4.59 | 0.859 | 32.55 | Undefined |
| Gómez et al. (2009) | [68] | 150 | 15.6 | 0.545 | 34.29 | [17, 31] |
| Toe and Kubota (2013) | [2] | 2837 | 13.7 | 0.58 | 32.62 | [24.8, 33.7] |
| Toe and Kubota (2013) | [2] | 2837 | 14.3 | 0.56 | 32.50 | [19.4, 30.5] |
| Toe and Kubota (2013) | [2] | 2102 | 12.4 | 0.63 | 33.51 | Undefined |
| Gabril et al. (2015) | [60] | 160 | 14.26 | 0.47 | 26.91 | [10, 35] |
| Climate | Parameters | p-Value of Shapiro-Wilk | (α = 0.05) |
|---|---|---|---|
| n | |||
| a | 0.7863 | ||
| Hot and humid | b | 0.4109 | 17 |
| Teq | 0.7241 | ||
| a | 0.0830 | ||
| Hot and dry | b | 0.9933 | 9 |
| Teq | 0.1055 |
4.3. Identification and Elimination of Outliers in Population Samples
4.4. Comparison of the Variance and Mean between Hot-Humid and Hot-Dry Climates
4.5. Influence of Zones with the Highest Probability in Plots of Indoor vs. Outdoor Temperatures
4.6. Influence of Zones with the Highest Probability in Plots of Indoor vs. Outdoor Temperatures
- (a)
- There is an inverse correlation between the parameters (Pearson correlation coefficients: Rhumid = 0.7666 and Rdry = 0.8663); and
- (b)
- The majority of dots are situated within the rectangle, representing the 1% significance limits.
5. Discussion
6. Conclusions
Author Contributions
Funding
Institutional Review Board Statement
Informed Consent Statement
Data Availability Statement
Acknowledgments
Conflicts of Interest
References
- ANSI/ASHRAE Standard 55; Thermal Environmental Conditions for Human Occupancy. American Society of Heating, Refrigerating and Air Conditioning Engineers: Atlanta, GA, USA, 2017.
- Toe, D.; Kubota, T. Development of an adaptive thermal comfort equation for naturally ventilated buildings in hot–humid climates using ASHRAE RP-884 data base. Front. Archit. Res. 2013, 2, 278–291. [Google Scholar] [CrossRef]
- Guo, F.; Wang, Z.; Dong, J.; Zhang, H.; Lu, X.; Lau, S.; Miao, Y. Spatial Differences in Outdoor Thermal Comfort during the Transition Season in Cold Regions of China. Buildings 2022, 12, 720. [Google Scholar] [CrossRef]
- Dhaka, S.; Mathur, J.; Brager, G.; Honnekeri, A. Assessment of thermal environmental conditions and quantification of thermal adaptation in naturally ventilated buildings in composite climate of India. Build. Environ. 2015, 86, 17–28. [Google Scholar] [CrossRef]
- Du, X.; Bokel, R.; Dobbelsteen, A. Spatial configuration, building microclimate and thermal comfort: A modern house case. Energy Build. 2019, 193, 185–200. [Google Scholar] [CrossRef]
- Attia, S.; Carlucci, S. Impact of different thermal comfort models on zero energy residential buildings in hot climate. Energy Build. 2015, 102, 117–128. [Google Scholar] [CrossRef]
- Parkinson, T.; de Dear, R.; Brager, G. Nudging the adaptive thermal comfort model. Energy Build. 2020, 260, 109559. [Google Scholar] [CrossRef]
- Villadiego, K.; Velay, M.A. Outdoor thermal comfort in a hot and humid climate of Colombia: A field study in Barranquilla. Build. Environ. 2014, 75, 142–152. [Google Scholar] [CrossRef]
- De Dear, R.; Xiong, J.; Kim, J.; Cao, B. A review of adaptive thermal comfort research since 1998. Energy Build. 2020, 214, 109893. [Google Scholar] [CrossRef]
- Deuble, M.; de Dear, R. Mixed-mode buildings: A double standard in occupants’ comfort expectations. Build. Environ. 2012, 54, 53–60. [Google Scholar] [CrossRef]
- Wang, Z.; de Dear, R.; Luo, M.; Lin, B.; He, Y.; Ghahramani, A.; Zhu, Y. Individual difference in thermal comfort: A literature review. Build. Environ. 2018, 138, 181–193. [Google Scholar] [CrossRef]
- Nicol, F.; Roaf, S. Pioneering new indoor temperature standards: The Pakistan project. Energy Build. 1996, 23, 169–174. [Google Scholar] [CrossRef]
- Nicol, F.; Raja, I.; Allaudin, A.; Jamy, G. Climatic variations in comfortable temperatures: The Pakistan projects. Energy Build. 1999, 30, 261–279. [Google Scholar] [CrossRef]
- De Dear, R.; Brager, G. Thermal comfort in naturally ventilated buildings: Revisions to ASHRAE Standard 55. Energy Build. 2002, 34, 549–561. [Google Scholar] [CrossRef]
- Heidari, S.; Sharples, S. A comparative analysis of short-term and long-term thermal comfort surveys in Iran. Energy Build. 2002, 34, 607–614. [Google Scholar] [CrossRef]
- Bouden, C.; Ghrab, N. An adaptive thermal comfort model for the Tunisian context: A field study results. Energy Build. 2005, 37, 952–963. [Google Scholar] [CrossRef]
- Ye, X.; Zhou, Z.; Lian, Z.; Liu, H.; Li, C.; Liu, Y. Field study of a thermal environment and adaptive model in Shanghai. Indoor Air 2006, 16, 320–326. [Google Scholar] [CrossRef] [PubMed]
- Nguyen, A.; Singh, M.; Reiter, S. An adaptive thermal comfort model for hot humid South-East Asia. Build. Environ. 2012, 56, 29–300. [Google Scholar] [CrossRef]
- Udrea, I.; Croitoru, C.; Nastase, I.; Crutescu, R.; Badescu, V. An Adaptive Thermal Comfort Model for the Romanian Climate, Mediterranean Green Buildings & Renewable Energy; Springer: Cham, Switzerland, 2017; pp. 921–930. [Google Scholar] [CrossRef]
- García, A.; Olivieri, F.; Larrumbide, E.; Ávila, P. Thermal comfort assessment in naturally ventilated offices located in a cold tropical climate, Bogotá. Build. Environ. 2019, 158, 237–247. [Google Scholar] [CrossRef]
- Wang, Z.; Wang, J.; He, Y.; Liu, Y.; Liu, B.; Lin, B.; Hong, T. Dimension analysis of subjective thermal comfort metrics based on ASHRAE Global Thermal Comfort Database using machine learning. J. Build. Eng. 2020, 29, 101120. [Google Scholar] [CrossRef]
- McKnight, T.; Hess, D. Climate Zones and Types. In Physical Geography: A Landscape Appreciation, 6th ed.; Prentice Hall: Hoboken, NJ, USA, 2000; pp. 205–208. [Google Scholar]
- Guevara, G.; Soriano, G.; Mino, I. Thermal comfort in university classrooms: An experimental study in tropics. Build. Environ. 2021, 187, 107430. [Google Scholar] [CrossRef]
- Mui, K.; Chan, W. Adaptive comfort temperature model of air-conditioned building in Hong Kong. Build. Environ. 2003, 38, 837–852. [Google Scholar] [CrossRef]
- Farghal, A.; Wagner, A. Studying the adaptive comfort approach within a hot dry climate: A case study in educational buildings in the Egyptian climate. In Proceedings of the Air Conditioning and the Low Carbon Cooling Challenge Conference, Cumberland Lodge, London, UK, 27–29 July 2008. [Google Scholar]
- Rijal, H.; Humphreys, M.; Nicol, F. Understanding occupant behaviour: The use of controls in mixed-mode office buildings. Build. Res. Inf. 2009, 37, 381–396. [Google Scholar] [CrossRef]
- Wang, Z.; Zhang, L.; Zhao, J.; He, Y. Thermal comfort for naturally ventilated residential buildings in Harbin. Energy Build. 2010, 42, 2406–2415. [Google Scholar] [CrossRef]
- Yau, Y.; Chew, B. Adaptive thermal comfort model for air-conditioned hospitals in Malaysia. Build. Serv. Eng. Res. Technol. 2014, 35, 117–138. [Google Scholar] [CrossRef]
- Indraganti, M.; Ooka, R.; Rijal, H.; Brager, G. Adaptive model of thermal comfort for offices in hot and humid climates of India. Build. Environ. 2014, 74, 39–53. [Google Scholar] [CrossRef]
- Rupp, F.; Ghisi, E. What is the most adequate method to assess thermal comfort in hybrid commercial buildings located in hot-humid summer climate? Renew. Sust. Energ. Rev. 2014, 29, 449–462. [Google Scholar] [CrossRef]
- De Dear, R.; Kim, J.; Parkinson, T. Residential adaptive comfort in a humid subtropical climate-Sydney Australia. Energy Build. 2018, 158, 1296–1305. [Google Scholar] [CrossRef]
- López-Pérez, L.; Flores-Prieto, J.; Ríos-Rojas, C. Adaptive thermal comfort model for educational buildings in a hot-humid climate. Build. Environ. 2019, 150, 181–194. [Google Scholar] [CrossRef]
- Ma, Z.; Cooper, P.; Daly, D.; Ledo, L. Existing building retrofits: Methodology and state-of-the-art. Energy Build. 2012, 55, 889–902. [Google Scholar] [CrossRef]
- De Dear, R.; Brager, G. The adaptive model of thermal comfort and energy conservation in the built environment. Int. J. Biometeorol. 2001, 45, 100–108. [Google Scholar] [CrossRef] [PubMed]
- Gossauer, E.; Wagner, A. Post-occupancy evaluation and thermal comfort: State of the art and new approaches. Adv. Build. Energy Res. 2007, 1, 151–175. [Google Scholar] [CrossRef]
- Ormandy, D.; Ezratty, V. Health and thermal comfort: From WHO guidance to housing strategies. Energy Policy 2012, 49, 116–121. [Google Scholar] [CrossRef]
- Van Hoof, J. Forty years of Fanger’s model of thermal comfort: Comfort for all? Indoor Air 2008, 18, 182–201. [Google Scholar] [CrossRef] [PubMed]
- Alahmer, A.; Mayyas, A.; Mayyas, A.A.; Omar, M.A.; Shan, D. Vehicular thermal comfort models; a comprehensive review. Appl. Therm. Eng. 2011, 31, 995–1002. [Google Scholar] [CrossRef]
- Nkurikiyeyezu, K.N.; Suzuki, Y.; Lopez, G.F. Heart rate variability as a predictive biomarker of thermal comfort. J. Ambient Intell. Human Comput. 2018, 9, 1465–1477. [Google Scholar] [CrossRef]
- Enescu, D. A review of thermal comfort models and indicators for indoor environments. Renew. Sustain. Energy Rev. 2017, 79, 1353–1379. [Google Scholar] [CrossRef]
- Mendes, A.; Bonassi, S.; Aguiar, L.; Pereira, C.; Neves, P.; Silva, S.; Mendes, D.; Guimaraes, L.; Moroni, R.; Teixeira, J. Indoor air quality and thermal comfort in elderly care centers. Urban Clim. 2015, 14, 486–501. [Google Scholar] [CrossRef]
- Lee, J.; Venugopal, V.; Latha, P.; Alhadad, S.; Wei, C.; De Goh, N.; Tan, E.; Kjellstrom, T.; Morabito, M.; Wei, J. Heat Stress and Thermal Perception amongst Health care Workers during the COVID-19 Pandemic in India and Singapore. Int. J. Environ. Res. Public Health 2020, 17, 8100. [Google Scholar] [CrossRef]
- Ding, J.; Yu, C.; Cao, D. HVAC systems for environmental control to minimize the COVID-19 infection. Indoor Built. Environ. 2020, 29, 1195–1201. [Google Scholar] [CrossRef]
- Cleary, M.; Raeburn, T.; West, S.; Childs, C. The environmental temperature of the residential care home: Role in thermal comfort and mental health? Contemp. Nurse 2019, 55, 38–46. [Google Scholar] [CrossRef]
- Kistelegdi, I.; Horváth, K.; Storcz, T.; Ercsey, Z. Building Geometry as a Variable in Energy, Comfort, and Environmental Design Optimization—A Review from the Perspective of Architects. Buildings 2022, 12, 69. [Google Scholar] [CrossRef]
- Ku, K.; Liaw, J.; Tsai, M.; Liu, T. Automatic Control System for Thermal Comfort Based on Predicted Mean Vote and Energy Saving. IEEE Trans. Autom. Sci. Eng. 2015, 12, 378–383. [Google Scholar] [CrossRef]
- Rijal, H.; Yoshida, K.; Humphreys, M.; Nicol, J. Development of an adaptive thermal comfort model for energy-saving building design in Japan. Archit. Sci. Rev. 2020, 64, 109–122. [Google Scholar] [CrossRef]
- Panraluk, C.; Sreshthaputra, A. Developing Guidelines for Thermal Comfort and Energy Saving during Hot Season of Multipurpose Senior Centers in Thailand. Sustainability 2019, 12, 170. [Google Scholar] [CrossRef]
- Ramírez, C.; Andaverde, J.; Alcalá, G.; Velasco, F.; López, D. A Review of the Techniques Used to Reduce the Thermal Load of Buildings in Mexico’s Warm Climate. Chem. Eng. Trans. 2020, 81, 1375–1380. [Google Scholar] [CrossRef]
- Tihana, J.; Zajacs, A.; Ivancovs, D.; Gaujena, B. Influence of Ventilation Operating Modes on Energy Efficiency. Buildings 2022, 12, 668. [Google Scholar] [CrossRef]
- Gagnon, R.; Gosselin, L.; Decker, S. Sensitivity analysis of energy performance and thermal comfort throughout building design process. Energy Build. 2018, 164, 278–294. [Google Scholar] [CrossRef]
- Gou, S.; Nik, V.; Scartezzini, J.; Zhao, Q.; Li, Z. Passive design optimization of newly-built residential buildings in Shanghai for improving indoor thermal comfort while reducing building energy demand. Energy Build. 2018, 169, 484–506. [Google Scholar] [CrossRef]
- Alpuche, M.; Gonzáles, I.; Ochoa, J.; Marincic, I.; Duarte, A.; Valdenebro, E. Influence of absorptance in the building envelope of affordable housing in warm dry climates. Energy Procedia 2014, 57, 1842–1850. [Google Scholar] [CrossRef]
- Piasecki, M.; Fedorczak, M.; Furtak, M.; Biskupski, J. Experimental Confirmation of the Reliability of Fanger’s Thermal Comfort Model—Case Study of a Near-Zero Energy Building (NZEB) Office Building. Sustainability 2019, 11, 2461. [Google Scholar] [CrossRef]
- Velasco, F.; Guevara, M.; Verma, S. Evaluation of concentration data in Geochemical Reference Materials. Chemie Erde 2001, 61, 69–91. [Google Scholar]
- Razali, N.M.; Wah, Y.B. Power comparisons of shapiro-wilk, kolmogorov-smirnov, lilliefors and anderson-darling tests. J. Stat. Modeling Anal. 2011, 2, 21–33. [Google Scholar]
- Barnett, V.; Lewis, T. Outliers in Statistical Data; Wiley: Hoboken, NJ, USA, 1994. [Google Scholar]
- Verma, S.P. Road from Geochemistry to Geochemometrics; Springer: Singapore, 2020; Volume 831. [Google Scholar]
- Schiller, G.; Arens, E.; Bauman, F.; Benton, C.; Fountain, M.; Doherty, T. A field study of thermal environments and comfort office buildings. ASHRAE Trans. 1988, 84, 169. [Google Scholar]
- Gabril, N.; Wilson, M.; Gleeson, C. Thermal comfort in Libya—Field Study. In Proceedings of the 8th Making Built Environments Responsive Conference, Colombo, Sri Lanka, 12–14 June 2015; pp. 267–280. [Google Scholar]
- Chen, E.H. The power of the Shapiro-Wilk W test for normality in samples from contaminated normal distributions. J. Am. Stat. Assoc. 1971, 66, 760–762. [Google Scholar] [CrossRef]
- Humphreys, M.; Nicol, F. Understanding the adaptive approach to thermal comfort. ASHRAE Trans. 1998, 104, 991–1004. [Google Scholar]
- Zain, Z.; Taib, M.; Baki, S. Hot and humid climate: Prospect for thermal comfort in residential building. Desalination 2007, 209, 261–268. [Google Scholar] [CrossRef]
- Luo, M.; Cao, B.; Damiens, J.; Lin, B.; Zhu, Y. Evaluating thermal comfort in mixed-mode buildings: A field study in a subtropical climate. Build. Environ. 2015, 88, 46–54. [Google Scholar] [CrossRef]
- Singh, M.; Mahapatra, S.; Teller, J. Development of thermal comfort models for various climatic zones of North-East India. Sustain. Cities Soc. 2015, 14, 133–145. [Google Scholar] [CrossRef]
- Damiati, S.; Zaki, S.; Rijal, H.; Wonorahardjo, S. Field study on adaptive thermal comfort in office buildings in Malaysia, Indonesia, Singapore, and Japan during hot and humid season. Build. Environ. 2016, 109, 208–223. [Google Scholar] [CrossRef]
- Singh, M.; Ooka, R.; Rijal, H.; Takasu, M. Adaptive thermal comfort in the offices of North-East India in autumn season. Build. Environ. 2017, 124, 14–30. [Google Scholar] [CrossRef]
- Gómez-Azpeitia, G.; Bojórquez, G.; Ruiz, P.; Romero, R.; Ochoa, J.; Pérez, M.; Reséndiz, O.; Llamas, A. Comfort Temperatures Inside Low-Cost Housing Case: Six warm climate cities in Mexico. In Proceedings of the 26th Conference on Passive and Low Energy Architecture, Quebec City, QC, Canada, 22–24 June 2009. [Google Scholar]
- National Water Commission of Mexico. Climatological Statistical Information. Available online: https://smn.conagua.gob.mx/es/climatologia/informacion-climatologica/informacion-estadistica-climatologica (accessed on 3 December 2021).










| Test Code | TN Value Calculated | Critical Values of the Tests (Significance Level) | ||||
|---|---|---|---|---|---|---|
| Intercept | Slope | 95% | 99% | 99.5% | 99.9% | |
| Intercept | n = 17 | = 16.8898 | s = 3.088872 | |||
| Slope | n = 17 | = 0.3715 | s = 0.111008 | |||
| TN1 | 2.117 | 1.995 | 2.475 | 2.785 | 3.103 | |
| TN4 | 0.7658 | 0.7875 | 0.5933 | 0.4848 | ||
| TN9 | 0.140 | 0.286 | 0.359 | 0.460 | 0.495 | |
| TN10 | 0.182 | 0.298 | 0.388 | 0.493 | 0.529 | |
| TN14 | 0.30 | 0.18 | 0.81 | 1.15 | ||
| TN15 | 3.03 | 2.58 | 4.16 | 5.34 | ||
| Test Code | TN Value Calculated | Critical Values of the Tests (Significance Level) | ||||
|---|---|---|---|---|---|---|
| Intercept | Slope | 95% | 99% | 99.5% | 99.9% | |
| Intercept | n = 9 | = 12.8511 | s = 4.51570 | |||
| Slope | n = 9 | = 0.5584 | s = 0.16456 | |||
| TN1 | 1.829 | 1.826 | 2.110 | 2.323 | 2.492 | |
| TN4 | 0.8311 | 0.5830 | 0.3742 | 0.2411 | ||
| TN9 | 0.064 | 0.258 | 0.512 | 0.635 | 0.677 | |
| TN10 | 0.074 | 0.258 | 0.580 | 0.701 | 0.739 | |
| TN14 | 0.863 | 0.128 | 0.976 | 1.431 | ||
| TN15 | 2.38 | 2.37 | 3.86 | 4.82 | ||
| Test Code | TN Value Calculated | Critical Values of the Tests (Significance Level) | |||
|---|---|---|---|---|---|
| 95% | 99% | 99.5% | 99.9% | ||
| Hot humid | n = 17 | = 26.96 | s = 2.750377 | ||
| TN1 | 1.9976 | 2.475 | 2.785 | 3.108 | |
| TN4 | 0.7693 | 0.593 | 0.4848 | ||
| TN9 | 0.1130 | 0.359 | 0.420 | 0.495 | |
| TN10 | 0.1570 | 0.388 | 0.493 | 0.529 | |
| TN14 | 0.0155 | 0.81 | 1.15 | ||
| TN15 | 2.9897 | 4.16 | 5.34 | ||
| Test Code | TN Value Calculated | Critical Values of the Tests (Significance Level) | |||
|---|---|---|---|---|---|
| 95% | 99% | 99.5% | 99.9% | ||
| Hot dry | n = 9 | = 29.45 | s = 4.53250 | ||
| TN1 | 2.0761 | 2.110 | 2.323 | 2.492 | |
| TN4 | 0.5212 | 0.374 | 0.2411 | ||
| TN9 | 0.4097 | 0.512 | 0.635 | 0.677 | |
| TN10 | 0.4387 | 0.580 | 0.701 | 0.739 | |
| TN14 | 0.7763 | 0.976 | 1.431 | ||
| TN15 | 2.4333 | 3.86 | 4.82 | ||
| Variable | s | n | F Value | F Critical Value | |||
|---|---|---|---|---|---|---|---|
| 95% | 99% | ||||||
| Intercept | aHumid | 16.8898 | 3.08887225 | 17 | 2.4043 | ||
| aDry | 12.8511 | 4.78962797 | 9 | 2.59 | 3.89 | ||
| Slope | bHumid | 0.3715 | 0.11100754 | 17 | 2.4723 | ||
| bDry | 0.5584 | 0.17454520 | 9 | ||||
| Variable | s | n | t-Value | t-Critical Value | |||
|---|---|---|---|---|---|---|---|
| 95% | 99% | ||||||
| Intercept | aHumid | 16.8898 | 3.08887225 | 17 | 2.6176 | ||
| aDry | 12.8511 | 4.78962797 | 9 | 2.064 | 2.797 | ||
| Slope | bHumid | 0.3715 | 0.11100754 | 17 | 3.3458 | ||
| bDry | 0.5584 | 0.17454520 | 9 | ||||
Publisher’s Note: MDPI stays neutral with regard to jurisdictional claims in published maps and institutional affiliations. |
© 2022 by the authors. Licensee MDPI, Basel, Switzerland. This article is an open access article distributed under the terms and conditions of the Creative Commons Attribution (CC BY) license (https://creativecommons.org/licenses/by/4.0/).
Share and Cite
Ramírez-Dolores, C.; Wong-Loya, J.; Velasco-Tapia, F.; Andaverde, J. Statistical Evaluation and Development of General Thermal Comfort Equations for Naturally Ventilated Buildings in Humid and Dry Hot Climates. Buildings 2022, 12, 1803. https://doi.org/10.3390/buildings12111803
Ramírez-Dolores C, Wong-Loya J, Velasco-Tapia F, Andaverde J. Statistical Evaluation and Development of General Thermal Comfort Equations for Naturally Ventilated Buildings in Humid and Dry Hot Climates. Buildings. 2022; 12(11):1803. https://doi.org/10.3390/buildings12111803
Chicago/Turabian StyleRamírez-Dolores, César, Jorge Wong-Loya, Fernando Velasco-Tapia, and Jorge Andaverde. 2022. "Statistical Evaluation and Development of General Thermal Comfort Equations for Naturally Ventilated Buildings in Humid and Dry Hot Climates" Buildings 12, no. 11: 1803. https://doi.org/10.3390/buildings12111803
APA StyleRamírez-Dolores, C., Wong-Loya, J., Velasco-Tapia, F., & Andaverde, J. (2022). Statistical Evaluation and Development of General Thermal Comfort Equations for Naturally Ventilated Buildings in Humid and Dry Hot Climates. Buildings, 12(11), 1803. https://doi.org/10.3390/buildings12111803

