The Effect of the Bearing Width on the Buckling Capacity of Partially Loaded CLT Member
Abstract
:1. Introduction
2. Methods
2.1. The Numerical Model
2.2. Parametric Study
3. Results and Discussion
3.1. Model Validation
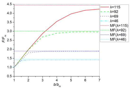
3.2. The Effect of Bearing Length
3.3. The Calculation Method for the Partially Loaded CLT Members
4. Conclusions
Author Contributions
Funding
Institutional Review Board Statement
Informed Consent Statement
Data Availability Statement
Conflicts of Interest
References
- Gagnon, S.; Pirvu, C. CLT Handbook: Cross-Laminated Timber (Canadian ed.); FPInnovations: Quebec, QC, Canada, 2011. [Google Scholar]
- Brandner, R.; Flatscher, G.; Ringhofer, A.; Schickhofer, G.; Thiel, A. Cross laminated timber (CLT): Overview and development. Eur. J. Wood Wood Prod. 2016, 74, 331–351. [Google Scholar] [CrossRef]
- Kaaracabeyli, E.; Douglas, B. CLT Handbook: Cross-Laminated Timber (U.S. ed.); FPInnovations and Binational Soft-wood Lumber Council: Leesburg, VA, USA, 2013. [Google Scholar]
- ANSI; APA. Standard for Performance-Rated Cross-Laminated Timber (PRG 320); APA-The Engineered Wood Association: Tacoma, WA, USA, 2018. [Google Scholar]
- British Standards Institution. Timber Structures Cross Laminated Timber Requirements (BS EN 16351); BSI Standards Limited: London, UK, 2015. [Google Scholar]
- National Technical Committee for Wood Standardization. Cross Laminated Timber (LY/T 3039-2018); China Quality and Standards Publishing & Media Co., Ltd.: Beijing, China, 2018. [Google Scholar]
- National Technical Committee for Wood Standardization. Strength Classes for Structural Timber (LY/T 2383-2014); China Quality and Standards Publishing & Media Co., Ltd.: Beijing, China, 2014. [Google Scholar]
- Kudo, Y.; Nakajima, S.; Miyatake, A.; Araki, Y.; Shibusawa, T.; Haramiishi, T. Evaluation of buckling strength of cross laminated timber. In Proceedings of the World Conference on Timber Engineering (WCTE2016), Vienna, Austria, 22–25 August 2016. [Google Scholar]
- Pina, J.C.; Flores, E.I.S.; Saavedra, K. Numerical study on the elastic buckling of cross-laminated timber walls subject to compression. Constr. Build. Mater. 2019, 199, 82–91. [Google Scholar] [CrossRef]
- Perret, O.; Douthe, C.; Lebée, A.; Sab, K. A shear strength criterion for the buckling analysis of CLT walls. Eng. Struct. 2020, 211, 110344. [Google Scholar] [CrossRef] [Green Version]
- Huo, L.L.; Wu, G.F.; Wang, H.J.; Zhu, E.C. Calculation of the stability coefficient of cross-laminated timber members in axial compression. J. Build. Struct. 2021, 42, 107–116. [Google Scholar] [CrossRef]
- Huang, Z.; Huang, D.; Chui, Y.-H.; Shen, Y.; Daneshvar, H.; Sheng, B.; Chen, Z. Modeling of Cross-Laminated Timber (CLT) panels loaded with combined out-of-plane bending and compression. Eng. Struct. 2022, 250, 113335. [Google Scholar] [CrossRef]
- Thiel, A.; Krenn, H. Buckling loads for cross-laminated timber elements under uniaxial in-plane compression. In Proceedings of the World Conference on Timber Engineering (WCTE2016), Vienna, Austria, 22–25 August 2016. [Google Scholar]
- Perret, O.; Lebée, A.; Douthe, C.; Sab, K. The bending-gradient theory for the linear buckling of thick plates: Application to cross laminated timber panels. Int. J. Solids Struct. 2016, 87, 139–152. [Google Scholar] [CrossRef]
- Perret, O.; Douthe, C.; Lebée, A.; Sab, K. Buckling of cross laminated timber walls. In Proceedings of the World Conference on Timber Engineering (WCTE2016), Vienna, Austria, 22–25 August 2016. [Google Scholar]
- Canadian Standards Association. Engineered Design in Wood (CSA-O86); Canadian Standards Association: Toronto, ON, Canada, 2009. [Google Scholar]
- American Wood Council (AWC). National Design Specification for Wood Construction; American Wood Council (AWC): Washington, DC, USA, 2015. [Google Scholar]
- European Committee for Standardization (CEN). Eurocode 5-Design of Timber Structures-Part 1-1: General Rules and Rules for Buildings; European Committee for Standardization: Brussels, Belgium, 2003. [Google Scholar]
- Thiel, A.; Brandner, R. ULS design of CLT elements-basics and some special topics, cross laminated timber—A competitive wood product for visionary and fire safe buildings. In Proceedings of the Joint Conference of COST Actions FP1402 and FP1404, Stockholm, Sweden, 10–11 March 2016. [Google Scholar]
- proHolz Austria. Cross Laminated Timber Structure Design; Eberl Print: Immenstadt, Germany, 2014. [Google Scholar]
- Swedish Wood. The CLT Handbook-CLT Structures-Facts and Planning; Föreningen Sveriges Skogsindustrier: Skellefteå, Sweden, 2019. [Google Scholar]
- Hill, R. A Theory of the Yielding and Plastic Flow of Anisotropic Metals. Proc. R. Soc. Lond. Ser. A Math. Phys. Sci. 1948, 193, 281–297. [Google Scholar] [CrossRef] [Green Version]
- Forest Products Laboratory. Wood Handbook-Wood as an Engineering Material (Centennial Edition); General Technical Report FPL–GTR–190; U.S. Department of Agriculture, Forest Service, Forest Products Laboratory: Madison, WI, USA, 2010; Volume 1.
- Ruan, G.; Xiong, H.; Chen, J. Bending and rolling shear properties of cross-laminated timber fabricated with Canadian Hemlock. SDHM Struct. Durab. Health Monit. 2019, 13, 227–246. [Google Scholar] [CrossRef] [Green Version]












| Modulus of Elasticity (MPa) | Shear Modulus (MPa) | Poisson’s Ratio | Compression Strength (MPa) | Shear Strength (MPa) | ||||||
|---|---|---|---|---|---|---|---|---|---|---|
| (0°) | (90°) | (0°) | (90°) | υ12 | υ23 | υ13 | (0°) | (90°) | (0°) | (90°) |
| E | E/30 | E/16 | 53.1 | 0.12 | 0.3 | 0.12 | 37.3 | 4.5 | 7.3 | 1.28 |
| Dimension/mm | Replicates | Average Buckling Capacity/kN | Average Modulus of Elasticity/MPa | Average Compression Strength/MPa |
|---|---|---|---|---|
| 1400 × 280 × 105 | 4 | 549.6 | 12,737 | 32.2 |
| 2100 × 280 × 105 | 4 | 385.6 | 9978 | 32.2 |
| 2800 × 280 × 105 | 4 | 290.5 | 10,636 | 34.7 |
| 3500 × 280 × 105 | 4 | 168.9 | 9273 | 31.8 |
Publisher’s Note: MDPI stays neutral with regard to jurisdictional claims in published maps and institutional affiliations. |
© 2022 by the authors. Licensee MDPI, Basel, Switzerland. This article is an open access article distributed under the terms and conditions of the Creative Commons Attribution (CC BY) license (https://creativecommons.org/licenses/by/4.0/).
Share and Cite
Wu, G.; Huo, L.; Shen, Y.; Ren, H. The Effect of the Bearing Width on the Buckling Capacity of Partially Loaded CLT Member. Buildings 2022, 12, 84. https://doi.org/10.3390/buildings12010084
Wu G, Huo L, Shen Y, Ren H. The Effect of the Bearing Width on the Buckling Capacity of Partially Loaded CLT Member. Buildings. 2022; 12(1):84. https://doi.org/10.3390/buildings12010084
Chicago/Turabian StyleWu, Guofang, Liangliang Huo, Yinlan Shen, and Haiqing Ren. 2022. "The Effect of the Bearing Width on the Buckling Capacity of Partially Loaded CLT Member" Buildings 12, no. 1: 84. https://doi.org/10.3390/buildings12010084
APA StyleWu, G., Huo, L., Shen, Y., & Ren, H. (2022). The Effect of the Bearing Width on the Buckling Capacity of Partially Loaded CLT Member. Buildings, 12(1), 84. https://doi.org/10.3390/buildings12010084

