Improving Energy Performance of Historic Buildings through Hygrothermal Assessment of the Envelope
Abstract
1. Introduction
2. Background
2.1. Energy Efficiency and Historic Buildings
2.2. Hygrothermal Assessment of ITICS Interventions
3. Materials and Methods
3.1. Numerical Model
3.2. Simulation Model
- It must be a heritage construction typology (load walls and wood structure).
- The intervention of energy retrofit through thermal insulation must be carried out inside the wall.
- The wall must have a high water absorption coefficient.
- There must be a high rainfall rate.
- Winter severity must not be very high.

3.3. Materials, Properties, Climate, and Surface Transfer Conditions
4. Results and Discussion
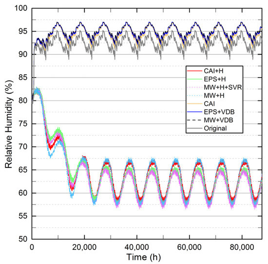
4.1. One-Dimensional Analysis
4.2. Two-Dimensional Analysis
4.3. Wooden Decay Risk Analysis
5. Conclusions
Author Contributions
Funding
Acknowledgments
Conflicts of Interest
References
- European Parliament. Directive 2010/31/EU of the European Parliament and of the Council of 19 May 2010 on the Energy Performance of Buildings (Recast); Official Journal of the European Union: Brussels, Belgium, 2010; p. L 153/13. Available online: http://eur-lex.europa.eu/LexUriServ/LexUriServ.do?uri=OJ:L:2010:153:0013:0035:EN:PDF (accessed on 13 August 2021).
- Economidou, M.; Atanasiu, B.; Despret, C.; Maio, J.; Nolte, I.; Rapf, O. Europe’s Buildings under the Microscope. A Country-by-Country Review of the Energy Performance of Buildings; Buildings Performance Institute Europe (BPIE): Brussels, Belgium, 2011. [Google Scholar]
- Agence Internationale de L’énergie Energy. Technology Perspectives 2012: Pathways to a Clean Energy System; OECD/IEA: Paris, France, 2012. [Google Scholar]
- Aksoezen, M.; Daniel, M.; Hassler, U.; Kohler, N. Building age as an indicator for energy consumption. Energy Build. 2015, 87, 74–86. [Google Scholar] [CrossRef]
- Azkarate, A.; Ruiz de Ael, M.J.; Santana, A. El Patrimonio Arquitectónico. Plan Vasco de Cultura; Servicio de Publicaciones del Gobierno Vasco: Vitoria-Gasteiz, Spain, 2003. [Google Scholar]
- Mazzarella, L. Energy retrofit of historic and existing buildings. The legislative and regulatory point of view. Energy Build. 2015, 95, 23–31. [Google Scholar] [CrossRef]
- Martínez-Molina, A.; Tort-Ausina, I.; Cho, S.; Vivancos, J.L. Energy efficiency and thermal comfort in historic buildings: A review. Renew. Sustain. Energy Rev. 2016, 61, 70–85. [Google Scholar] [CrossRef]
- European Parliament. Directive (EU) 2018/844 of the European Parliament and of the Council of 30 May 2018 Amending Directive 2010/31/EU on the Energy Performance of Buildings and Directive 2012/27/EU on Energy Efficiency; Official Journal of the European Union: Brussels, Belgium, 2018; p. L 156/75. Available online: https://eur-lex.europa.eu/legal-content/EN/TXT/PDF/?uri=CELEX:32018L0844&from=ES (accessed on 13 August 2021).
- Hukka, A.; Viitanen, H.A. A mathematical model of mould growth on wooden material. Wood Sci. Technol. 1999, 33, 475–485. [Google Scholar] [CrossRef]
- Sedlbauer, K. Prediction of Mould Fungus Formation on the Surface of and Inside Building Components; Fraunhofer Institute for Building Physics: Stuttgart, Germany, 2001. [Google Scholar]
- Viitanen, H.; Toratti, T.; Makkonen, L.; Peuhkuri, R.; Ojanen, T.; Ruokolainen, L.; Räisänen, J. Towards modelling of decay risk of wooden materials. Eur. J. Wood Wood Prod. 2010, 68, 303–313. [Google Scholar] [CrossRef]
- Viitanen, H. Modelling the time factor in the development of brown rot decay in pine and spruce sapwood-The effect of critical humidity and temperature conditions. Holzforschung 1997, 51, 99–106. [Google Scholar] [CrossRef]
- Hens, H. Heat, Air and Moisture Transfer in Highly Insulated Envelope Parts, Task 1: Modelling; Final Report, Modelling, International Energy Agency, Annex 24; Catholic University-Leuven, Laboratorium for Building Physics: Louvain, Belgium, 1996; Volume 1. [Google Scholar]
- Künzel, H.M.; Kiessl, K. Calculation of heat and moisture transfer in exposed building components. Int. J. Heat Mass Transf. 1996, 40, 159–167. [Google Scholar] [CrossRef]
- Glaser, H. Wärmeleitung und Feuchtigkeitsdurchgang durch Kühlraumisolierungen. Kältetechnik 1958, 3, 86–91. [Google Scholar]
- Glaser, H. Graphisches Verfahren zur Untersuchung von Diffusionsvorgängen. Kältetechnik 1959, 11, 345–349. [Google Scholar]
- ISO. Hygrothermal Performance of Building Components and Building Elements-Internal Surface Temperature to Avoid Critical Surface Humidity and Interstitial Condensation-Calculation Methods (ISO 13788: 2012); ISO: Geneve, Switzerland, 2013. [Google Scholar]
- Künzel, H.M. Simultaneous Heat and Moisture Transport in Building Components. One-and Two-Dimensional Calculation Using Simple Parameters; Fraunhofer Institute of Building Physics: Stuttgart, Germany, 1995. [Google Scholar]
- Häupl, P.; Grunewald, J.; Fechner, H.; Stopp, H. Coupled heat air and moisture transfer in building structures. Int. J. Heat Mass Transf. 1997, 40, 1633–1642. [Google Scholar] [CrossRef]
- Nicolai, A. Modeling and Numerical Simulation of Salt Transport and Phase Transitions in Unsaturated Porous Building Materials; Technische Universität Dresden: Dresden, Germany, 2007. [Google Scholar]
- Dos Santos, G.H.; Mendes, N. Combined heat, air and moisture (HAM) transfer model for porous muilding materials. J. Build. Phys. 2009, 32, 203–220. [Google Scholar] [CrossRef]
- Delgado, J.M.P.Q.; Barreira, E.; Ramos, N.M.M.; de Freitas, V.P. (Eds.) Hygrothermal Numerical Simulation Tools Applied to Building Physics; Springer: Berlin/Heidelberg, Germany, 2013. [Google Scholar]
- CEN, EN. Hygrothermal Performance of Building Components and Building Elements-Assessment of Moisture Transfer by Numerical Simulation; EN 15026:2007; CEN EN: Brussels, Belgium, 2007. [Google Scholar]
- ASHRAE. Standard 160-2009, Criteria for Moisture-Control Design Analysis in Buildings; American Society of Heating, Refrigerating and Air-conditioning Engineers, Inc.: Atlanta, GA, USA, 2009. [Google Scholar]
- WTA. Wissenschaftlich-Technische Arbeitsgemeinschaft für Bauwerkserhaltung und Denkmalpflege e.V. Merkblatt 6-2, Simulation Wärme- und Feuchtetechnischer Prozesse (Simulation of Heat and Moisture Transfer); WTA: Ingolstadt, Germany, 2014. [Google Scholar]
- ASHRAE. Heat, Air, and Moisture Control in Building Assemblies-Fundamentals, Ch. 25 of 2013 ASHRAE Handbook of Fundamentals; American Society of Heating, Refrigerating and Air-Conditioning Engineers: Atlanta, GA, USA, 2013. [Google Scholar]
- Künzel, H.M. Effect of interior and exterior insulation on the hygrothermal behaviour of exposed walls. Mater. Struct. 1998, 31, 99–103. [Google Scholar] [CrossRef]
- Finken, G.R.; Bjarløv, S.P.; Peuhkuri, R.H. Effect of façade impregnation on feasibility of capillary active thermal internal insulation for a historic dormitory-A hygrothermal simulation study. Constr. Build. Mater. 2016, 113, 202–214. [Google Scholar] [CrossRef]
- Guizzardi, M.; Carmeliet, J.; Derome, D. Risk analysis of biodeterioration of wooden beams embedded in internally insulated masonry walls. Constr. Build. Mater. 2015, 99, 159–168. [Google Scholar] [CrossRef]
- Künzel, H.M.; Kiessl, K. Drying of brick walls after impregnation. Int. Z. Bauinstandsetz. 1996, 2, 87–100. [Google Scholar] [CrossRef]
- Morelli, M.; Nielsen, T.R.; Scheffler, G.A.; Svendsen, S. Internal insulation of masonry walls with wooden floor beams in Northern humid climate, Thermal Perfor-mance of the Exterior Envelopes of Whole Buildings. In Proceedings of the 11th International Conference, Clearwater Beach, FL, USA, 5–9 December 2010. [Google Scholar]
- Harrestrup, M.; Svendsen, S. Full-scale test of an old heritage multi-storey building undergoing energy retrofitting with focus on internal insulation and moisture. Build. Environ. 2015, 85, 123–133. [Google Scholar] [CrossRef]
- Harrestrup, M.; Svendsen, S. Internal insulation applied in heritage multi-storey buildings with wooden beams embedded in solid masonry brick façades. Build. Environ. 2016, 99, 59–72. [Google Scholar] [CrossRef]
- Ueno, K. Masonry wall interior insulation retrofit embedded beam simulations. In Proceedings of the Building Enclosure Science & Technology Conference, BEST 3: High Performance Buildings–Combining Field Experience with Innovation, Atlanta, GA, USA, 2–4 April 2012. [Google Scholar]
- Ruisinger, U. Long-Term Measurements and Simulations of Five Internal Insulation Systems and Their Impact on Wooden Beam Heads, 2nd ed.; Central European Symposium on Building Physics: Vienna, Austria, 2013; pp. 1–27. [Google Scholar]
- Johansson, P.; Geving, S.; Hagentoft, C.; Jelle, B.P.; Rognvik, E.; Kalagasidis, A.S.; Time, B. Interior insulation retrofit of a historical brick wall using vacuum insulation panels: Hygrothermal numerical simulations and laboratory investigations. Build. Environ. 2014, 79, 31–45. [Google Scholar] [CrossRef]
- De Santoli, L.; d’Ambrosio Alfano, F.R. Energy efficiency and HVAC systems in existing and historical buildings. Rehva. Eur. HVAC J. 2014, 51, 44–48. [Google Scholar]
- Changeworks. Energy Heritage. A Guide to Improving Energy Efficiency in Traditional and Historic Homes; Changeworks, Resources for Life Ltd.: Edinburgh, Scotland, 2008. [Google Scholar]
- Pickles, D.; McCaig, I. Enegy Efficiency and Historic Buildings Application of Part L of the Building Regulations to Historic and Traditionally Constructed Buildings; English Heritage: London, UK, 2011. [Google Scholar]
- Troi, A.; Bastian, Z. Energy Efficiency Solutions for Historic Buildings: A Handbook; Birkhäuser: Basel, Switzerland, 2014. [Google Scholar]
- De Santoli, L. Guidelines on energy efficiency of cultural heritage. Energy Build. 2015, 86, 534–540. [Google Scholar] [CrossRef]
- Bastian, Z.; Feist, W.; Baumgärtner, C.; Ebel, W.; Gollwitzer, E.; Grove-Smith, J.; Kaufmann, B.; Krick, B.; Schnieders, J.; Schulz, T. Altbaumodernisierung mit Passivhauskomponenten; Passivhaus Institut: Darmstadt, Germany, 2009. [Google Scholar]
- López, M.; Yáñez, A.; Gomes da Costa, S.; Avellá, L. Actas del Congreso Internacional de Eficiencia Energética y Edificación Histórica. In Proceedings of the International Conference on Energy Efficiency and Historic Buildings, Madrid, Spain, 29–30 September 2014; Fundación de Casas Históricas y Singulares y Fundación Ars Civilis: Madrid, Spain, 2014. Available online: https://energyheritage.files.wordpress.com/2014/12/actas-proceedings-energy-efficiency-and-historic-buldings1.pdf (accessed on 14 September 2021).
- Bouw, M.; Dubois, S.; Dekeyser, L.; Vanhellemont, Y. Second International Conference on Energy Efficiency and Comfort of Historic Buildings. In Proceedings of the EECHB-2016: Second International Conference on Energy Efficiency and Comfort of Historic Buildings, Brussels, Belgium, 19–21 October 2016; Flanders Heritage Agency: Brussels, Belgium, 2016. Available online: https://www.eechb.eu/wp-content/uploads/2016/12/Proceedings_EECHB.pdf (accessed on 14 September 2021).
- CEN, EN. Conservation of Cultural Heritage—Guidelines for Improving the Energy Performance of Historic Buildings; European Committee for Standardization (CEN): Brussels, Belgium, 2017; Volume 16883. [Google Scholar]
- Phoenix, T. Lessons learned: ASHRAE’s approach in the refurbishment of historic and existing buildings. Energy Build. 2015, 95, 13–14. [Google Scholar] [CrossRef]
- ASHRAE. ASHRAE Guideline 34-2019. Energy Guideline for Historic Buildings; American Society of Heating, Refrigerating and Air-Conditioning Engineers: Atlanta, GA, USA, 2019. [Google Scholar]
- Andreotti, M.; Bottino-Leone, D.; Calzolari, M.; Davoli, P.; Dias Pereira, L.; Lucchi, E.; Troi, A. Applied research of the hygrothermal behaviour of an internally insulated historic wall without vapour barrier: In situ measurements and dynamic simulations. Energies 2020, 13, 3362. [Google Scholar] [CrossRef]
- Pickles, D. Energy Efficiency and Historic Buildings. Draught-Proofing Windows and Doors; English Heritage: London, UK, 2012. [Google Scholar]
- Martín-Garín, A.; Millán-García, J.A.; Hidalgo-Betanzos, J.M.; Hernández-Minguillón, R.J.; Baïri, A. Airtightness Analysis of the Built Heritage–Field Measurements of Nineteenth Century Buildings through Blower Door Tests. Energies 2020, 13, 6727. [Google Scholar] [CrossRef]
- Lucchi, E.; Polo Lopez, C.S.; Franco, G. A conceptual framework on the integration of solar energy systems in heritage sites and buildings. IOP Conf. Ser. Mater. Sci. Eng. 2020, 949, 12113. [Google Scholar] [CrossRef]
- Pelle, M.; Lucchi, E.; Maturi, L.; Astigarraga, A.; Causone, F. Coloured BIPV technologies: Methodological and experimental assessment for architecturally sensitive areas. Energies 2020, 13, 4506. [Google Scholar] [CrossRef]
- Polo López, C.S.; Lucchi, E.; Leonardi, E.; Durante, A.; Schmidt, A.; Curtis, R. Risk-benefit assessment scheme for renewable solar solutions in traditional and historic buildings. Sustainability 2021, 13, 5246. [Google Scholar] [CrossRef]
- Garrecht, H.; Reeb, S.; Hernández, J.L.; Paci, G.; Corredera, Á.; Esposito, E.; del Conte, A. 3ENCULT–Efficient Energy for EU Cultural Heritage Project. Report D 4.5 Guideline for the Implementation of Monitoring System. Available online: https://www.3encult.eu/en/project/workpackages/monitoringcontrol/Documents/3ENCULT_4.5.pdf (accessed on 13 August 2021).
- Mesas-Carrascosa, F.J.; Verdú Santano, D.; de Larriva, J.E.M.; Ortíz Cordero, R.; Hidalgo Fernández, R.E.; García-Ferrer, A. Monitoring heritage buildings with open source hardware sensors: A case study of the mosque-cathedral of Córdoba. Sensors 2016, 16, 1620. [Google Scholar] [CrossRef] [PubMed]
- Martín-Garín, A.; Millán-García, J.A.; Baïri, A.; Millán-Medel, J.; Sala-Lizarraga, J.M. Environmental monitoring system based on an Open Source Platform and the Internet of Things for a building energy retrofit. Autom. Constr. 2018, 87, 201–214. [Google Scholar] [CrossRef]
- Martín-Garín, A.; Millán-García, J.A.; Baïri, A.; Gabilondo, M.; Rodríguez, A. IoT and cloud computing for building energy efficiency (Chapter 10). In Start-Up Creation: The Smart Eco-Efficient Built Environment, 2nd ed.; Woodhead Publishing: Kidlington, UK, 2020; pp. 235–265. [Google Scholar] [CrossRef]
- Lucchi, E.; Dias Pereira, L.; Andreotti, M.; Malaguti, R.; Cennamo, D.; Calzolari, M.; Frighi, V. Development of a Compatible, Low Cost and High Accurate Conservation Remote Sensing Technology for the Hygrothermal Assessment of Historic Walls. Electronics 2019, 8, 643. [Google Scholar] [CrossRef]
- Arumägi, E.; Mändel, M.; Kalamees, T. Method for Assessment of Energy Retrofit Measures in Milieu Valuable Buildings. Energy Procedia 2015, 78, 1027–1032. [Google Scholar] [CrossRef][Green Version]
- Cantin, R.; Burgholzer, J.; Guarracino, G.; Moujalled, B.; Tamelikecht, S.; Royet, B.G. Field assessment of thermal behaviour of historical dwellings in France. Build. Environ. 2010, 45, 473–484. [Google Scholar] [CrossRef]
- Straube, J.; Ueno, K.; Schumacher, C. Measure Guideline: Internal Insulation of Masonry Walls. 2012. Available online: https://www.nrel.gov/docs/fy12osti/54163.pdf (accessed on 13 August 2021).
- Fröhlich, B.; Schaefer, I. Leitfaden Innendämmung 2.0. 2015. Available online: http://www.dbz.de/media/downloads/leitfaden-innendaemmung.pdf (accessed on 13 August 2021).
- Little, J.; Ferraro, C.; Arregi, B. Assessing Risks in Insulation Retrofits Using Hygrothermal Software Tools. Heat and Moisture Transport in Internally Insulated Stone Walls. 2015. Available online: https://pub-prod-sdk.azurewebsites.net/api/file/a717454d-f79a-4303-b359-a67b0101cbfa (accessed on 13 August 2021).
- WTA. Wissenschaftlich-Technische Arbeitsgemeinschaft für Bauwerkserhaltung und Denkmalpflege e.V. Merkblatt 6-4, Innendämmung Nach WTA I: Planungsleitfaden (Internal Thermal Insulation according to WTA I: Planning Guide); WTA: Ingolstadt, Germany, 2016. [Google Scholar]
- WTA. Wissenschaftlich-Technische Arbeitsgemeinschaft für Bauwerkserhaltung und Denkmalpflege e.V. Merkblatt 6-5, Innendämmung Nach WTA II: Nachweis von Innendämmsystemen Mittels Numerischer Berechnungsverfahren (Interior Insulation According to WTA II: Evaluation of Internal Insulation Systems with Numerical Design Methods); WTA: Ingolstadt, Germany, 2014. [Google Scholar]
- May, N.; Sanders, C. Moisture in Buildings: An Integrated Approach Torisk Assessment and Guidance. 2014. Available online: http://shop.bsigroup.com/upload/279150/BSI-White-Paper-Moisture-In-Buildings.PDF (accessed on 13 August 2021).
- ISO. Hygrothermal Performance of Building Materials and Products–Determination of Water Absorption Coefficient by Partial Immersion; ISO: Geneve, Switzerland, 2002; p. 15148. [Google Scholar]
- CEN, EN. Conservation of Cultural Property Test Methods. Determination of Water Absorption by Capillarity; CEN European Committee for Standardization: Brussels, Belgium, 2009; p. 15801. [Google Scholar]
- Vereecken, E.; Roels, S. Capillary active interior insulation: Do the advantages really offset potential disadvantages? Mater. Struct. 2015, 48, 3009–3021. [Google Scholar] [CrossRef]
- Zhao, J.; Grunewald, J.; Ruisinger, U.; Feng, S. Evaluation of capillary-active mineral insulation systems for interior retrofit solution. Build. Environ. 2017, 115, 215–227. [Google Scholar] [CrossRef]
- Vereecken, E.; Roels, S. Capillary Active Interior Insulation Systems for Wall Retrofitting: A More Nuanced Story. Int. J. Arch. Herit. 2016, 10, 558–569. [Google Scholar] [CrossRef]
- Akkurt, G.G.; Aste, N.; Borderon, J.; Buda, A.; Calzolari, M.; Chung, D.; Costanzo, V.; Del Pero, C.; Evola, G.; Huerto-Cardenas, H.E.; et al. Dynamic thermal and hygrometric simulation of historical buildings: Critical factors and possible solutions. Renew. Sustain. Energy Rev. 2020, 118, 109509. [Google Scholar] [CrossRef]
- ISO. Hygrothermal Performance of Building Materials and Products—Determination of Water Vapour Transmission Properties—Cup Method; ISO: Geneve, Switzerland, 2016; p. 12572. [Google Scholar]
- CEN, EN. Conservation of Cultural Property Test Methods. Determination of Water Vapour Permeability (δp); CEN European Committee for Standardization: Brussels, Belgium, 2009; p. 15803. [Google Scholar]
- Künzel, H. Criteria defining rain protecting external rendering systems. Energy Procedia 2015, 78, 2524–2529. [Google Scholar] [CrossRef]
- CEN, EN. Conservation of Cultural Property Test Methods. Determination of Static Contact Angle; CEN European Committee for Standardization: Brussels, Belgium, 2009; p. 15802. [Google Scholar]
- Künzel, H.M. Flexible vapor control solves moisture problems of building assemblies-smart retarder to replace the conventional PE-film. J. Therm. Envel. Build. Sci. 1999, 23, 95–102. [Google Scholar] [CrossRef]
- WTA. Wissenschaftlich-Technische Arbeitsgemeinschaft für Bauwerkserhaltung und Denkmalpflege e.V. Merkblatt 6-8, Feuchtetechnische Bewertung von Holzbauteilen-Vereinfachte Nachweise und Simulation (Assessment of Humidity in Timber Constructions–Simplified Verifications and Simulation); WTA: Ingolstadt, Germany, 2016. [Google Scholar]
- Kottek, M.; Grieser, J.; Beck, C.; Rudolf, B.; Rubel, F. World map of the Köppen-Geiger climate classification updated. Meteorol. Z. 2006, 15, 259–263. [Google Scholar] [CrossRef]
- Rodríguez-Maribona, I.; Zalbide, M.; García Garmilla, F.; Ibáñez, J.A.; Garín, S. Conservation study of the stone material used in the Culture House of Almirante Oquendo, in San Sebastian. Mater. Constr. 1999, 1999, 19–30. [Google Scholar] [CrossRef][Green Version]
- Scheffer, T.C. Climate index for estimating potential for decay in wood structures above ground. Forest Prod. J. 1971, 21, 25–31. Available online: https://www.fpl.fs.fed.us/documnts/pdf1971/schef71a.pdf (accessed on 13 August 2021).
- Brischke, C.; Frühwald Hansson, E.; Kavurmaci, D.; Thelandersson, S. Decay hazard mapping for Europe. In Proceedings of the IRG Annual Meeting, Queenstown, New Zealand, 8–12 May 2011. [Google Scholar]
- Fernandez-Golfin, J.; Larrumbide, E.; Ruano, A.; Galvan, J.; Conde, M. Wood decay hazard in Spain using the Scheffer index: Proposal for an improvement. Eur. J. Wood Wood Prod. 2016, 74, 591–599. [Google Scholar] [CrossRef]
- Etxeberría-Arquero, B. La Bella Easo y Lutecia: Bailes de espejos y simetrías imposibles. Arquitectura y urbanismo de Donostia 1813–1920. In Los Lugares de la Historia; Asociación de Jóvenes Historiadores(AJHIS): Salamanca, Spain, 2013; pp. 343–362. ISBN 978-84-616-5755-1. [Google Scholar]
- Ayuntamiento de Donostia-San Sebastián, Departamento de Urbanismo. Plan Especial de Protección del Patrimonio Urbanístico Construido de San Sebastián; Ayuntamiento de Donostia-San Sebastián: Donostia-San Sebastián, Spain, 2013. [Google Scholar]
- Fick, S.E.; Hijmans, R.J. WorldClim 2: New 1-km spatial resolution climate surfaces for global land areas. Int. J. Climatol. 2017, 37, 4302–4315. [Google Scholar] [CrossRef]
- Remund, J.; Kunz, S. METEONORM: Global Meteorological Database for Solar Energy and Applied Climatology; Meteotest: Bern, Switzerland, 1997. [Google Scholar]
- Fraunhofer IBP WUFI. Modelling Water-Repellent Treatment of a Façade by Adjusting the A-Value. 2017. Available online: https://wufi.de/en/wp-content/uploads/sites/11/2014/09/Wufi1D_Water-repellent_treatment_of_facades.pdf (accessed on 13 August 2021).
- CEN DD CEN/TS. Thermal Modified Timber. Definitions and Characteristics; CEN European Committee for Standardization: Brussels, Belgium, 2007; p. 15679. [Google Scholar]











| Material | Bulk Density (kg/m3) | Porosity (m3/m3) | Spec. Heat. Capacity (J/kg·K) | Thermal Conductivity (W/(m·K)) |
|---|---|---|---|---|
| Cottaer Sandstone | 2050 | 0.22 | 850 | 1.8 |
| Mortar (historical) gypsum | 915 | 0.64 | 850 | 0.52 |
| Spruce | 455 | 0.73 | 1400 | 0.23 |
| EPS | 30 | 0.95 | 1500 | 0.04 |
| Mineral Wool | 32.5 | 0.95 | 840 | 0.032 |
| CAI | 100 | 0.96 | 850 | 0.042 |
| Plaster | 1330 | 0.5 | 850 | 0.87 |
| VDB | 130 | 0.001 | 2300 | 2.3 |
| SVR | 85 | 0.086 | 2500 | 2.4 |
Publisher’s Note: MDPI stays neutral with regard to jurisdictional claims in published maps and institutional affiliations. |
© 2021 by the authors. Licensee MDPI, Basel, Switzerland. This article is an open access article distributed under the terms and conditions of the Creative Commons Attribution (CC BY) license (https://creativecommons.org/licenses/by/4.0/).
Share and Cite
Martín-Garín, A.; Millán-García, J.A.; Terés-Zubiaga, J.; Oregi, X.; Rodríguez-Vidal, I.; Baïri, A. Improving Energy Performance of Historic Buildings through Hygrothermal Assessment of the Envelope. Buildings 2021, 11, 410. https://doi.org/10.3390/buildings11090410
Martín-Garín A, Millán-García JA, Terés-Zubiaga J, Oregi X, Rodríguez-Vidal I, Baïri A. Improving Energy Performance of Historic Buildings through Hygrothermal Assessment of the Envelope. Buildings. 2021; 11(9):410. https://doi.org/10.3390/buildings11090410
Chicago/Turabian StyleMartín-Garín, Alexander, José Antonio Millán-García, Jon Terés-Zubiaga, Xabat Oregi, Iñigo Rodríguez-Vidal, and Abderrahmane Baïri. 2021. "Improving Energy Performance of Historic Buildings through Hygrothermal Assessment of the Envelope" Buildings 11, no. 9: 410. https://doi.org/10.3390/buildings11090410
APA StyleMartín-Garín, A., Millán-García, J. A., Terés-Zubiaga, J., Oregi, X., Rodríguez-Vidal, I., & Baïri, A. (2021). Improving Energy Performance of Historic Buildings through Hygrothermal Assessment of the Envelope. Buildings, 11(9), 410. https://doi.org/10.3390/buildings11090410

