Load-Carrying Capacity of Compressed Wall-Like RC Columns Strengthened with FRP
Abstract
:1. Introduction
2. Literature Review
3. Materials and Methods
3.1. Analytical Models
3.2. Experimental Results
3.3. Numerical Modeling
4. Results and Discussion
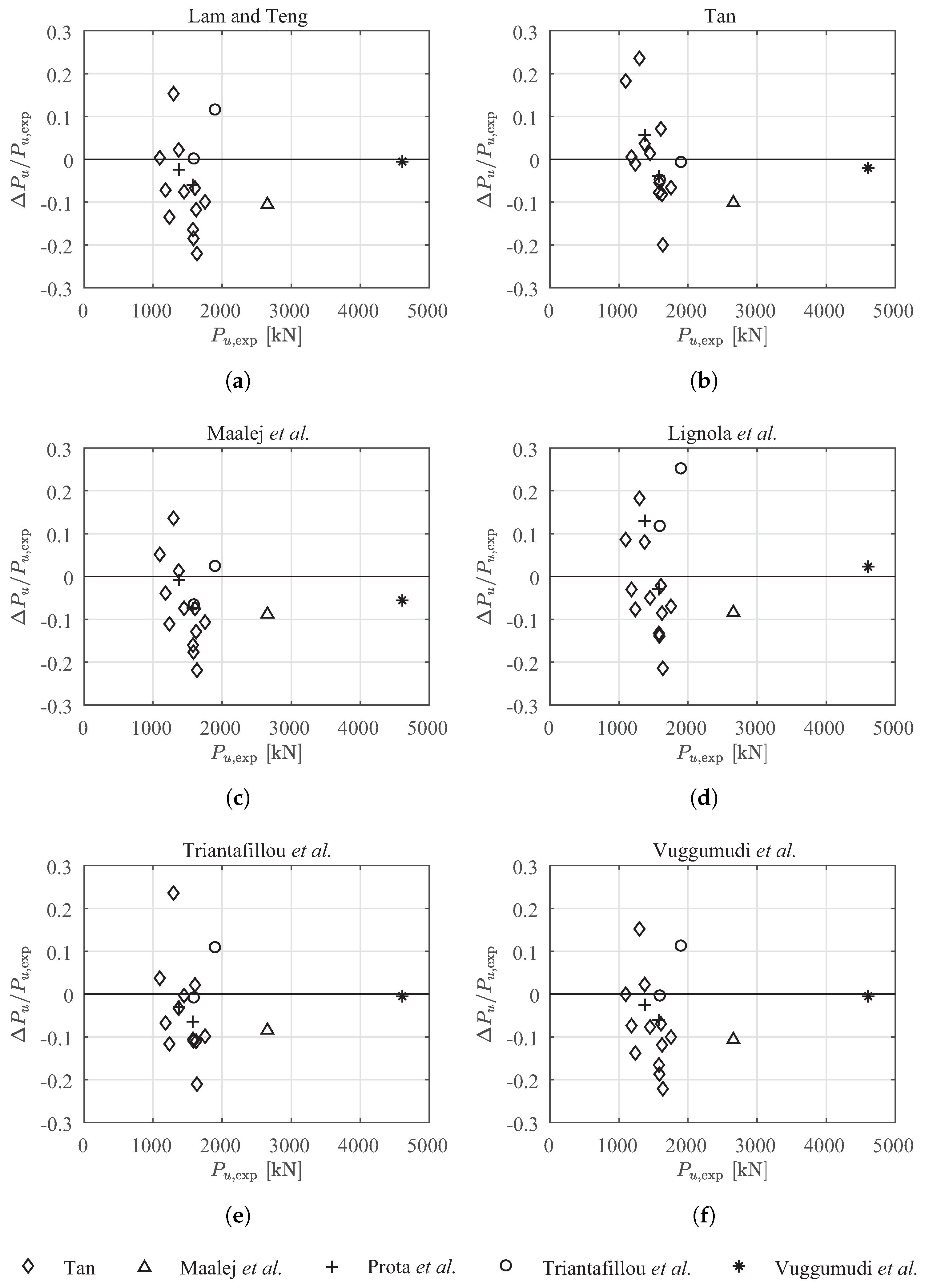
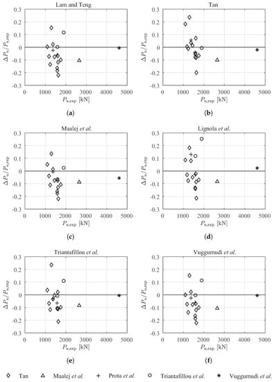
4.1. Analytical Results vs. Experimental Data
4.2. Numerical Results
5. Conclusions
Author Contributions
Funding
Institutional Review Board Statement
Informed Consent Statement
Data Availability Statement
Conflicts of Interest
References
- Mirmiran, A.; Shahawy, M. Behavior of Concrete Columns Confined by Fiber Composites. J. Struct. Eng. 1997, 123, 583–590. [Google Scholar] [CrossRef]
- Spoelstra, M.R.; Monti, G. FRP-Confined Concrete Model. J. Compos. Constr. 1999, 3, 143–150. [Google Scholar] [CrossRef]
- Campione, G.; Miraglia, N. Strength and strain capacities of concrete compression members reinforced with FRP. Cem. Concr. Compos. 2003, 25, 31–41. [Google Scholar] [CrossRef]
- Matthys, S.; Toutanji, H.; Taerwe, L. Stress & Strain Behavior of Large-Scale Circular Columns Confined with FRP Composites. J. Struct. Eng. 2006, 132, 123–133. [Google Scholar]
- Wu, H.L.; Wang, Y.F.; Yu, L.; Li, X.R. Experimental and Computational Studies on High-Strength Concrete Circular Columns Confined by Aramid Fiber-Reinforced Polymer Sheets. J. Compos. Constr. 2009, 13, 125–134. [Google Scholar] [CrossRef]
- Mander, J.B.; Priestley, M.J.N.; Park, R. Theoretical Stress-Strain Model for Confined Concrete. J. Struct. Eng. 1988, 114, 1804–1826. [Google Scholar] [CrossRef] [Green Version]
- Mander, J.B.; Priestley, M.J.N.; Park, R. Observed Stress-Strain Behavior of Confined Concrete. J. Struct. Eng. 1988, 114, 1827–1849. [Google Scholar] [CrossRef]
- Mirmiran, A.; Shahawy, M.; Samaan, M.; Echary, H.E.; Mastrapa, J.C.; Pico, O. Effect of Column Parameters on FRP-Confined Concrete. J. Compos. Constr. 1998, 2, 175–185. [Google Scholar] [CrossRef]
- Rochette, P.; Labossiere, P. Axial Testing of Rectangular Column Models Confined with Composites. J. Compos. Constr. 2000, 4, 129–136. [Google Scholar] [CrossRef]
- Lam, L.; Teng, J.G. Design-Oriented Stress-Strain Model for FRP-Confined Concrete in Rectangular Columns. J. Reinf. Plast. Compos. 2003, 22, 1149–1186. [Google Scholar] [CrossRef]
- De Lorenzis, L.; Tepfers, R. Comparative study of models on confinement of concrete cylinders with fiber-reinforced polymer composites. J. Compos. Constr. 2003, 7, 219–237. [Google Scholar] [CrossRef]
- Al-Salloum, Y.A. Influence of edge sharpness on the strength of square concrete columns confined with FRP composite laminates. Compos. Part B Eng. 2007, 38, 640–650. [Google Scholar] [CrossRef]
- Wang, L.M.; Wu, Y.F. Effect of corner radius on the performance of CFRP-confined square concrete columns: Test. Eng. Struct. 2008, 30, 493–505. [Google Scholar] [CrossRef]
- Lignola, G.; Nardone, F.; Prota, A.; Manfredi, G. Analytical model for the effective strain in FRP-wrapped circular RC columns. Compos. Part B Eng. 2012, 43, 3208–3218. [Google Scholar] [CrossRef]
- ACI. Guide for the Design and Construction of Externally Bonded FRP Systems for Strengthening Concrete Structures (ACI 440. 2R-17); American Concrete Institute (ACI): Detroit, MI, USA, 2017. [Google Scholar]
- CNR. Guide for the Design and Construction of Externally Bounded FRP Systems for Strengthening Concrete Structures (CNR-DT 200 R1/2013); National Research Council (CNR): Washington, DC, USA, 2014. [Google Scholar]
- Rocca, S.; Galati, N.; Nanni, A. Review of Design Guidelines for FRP Confinement of Reinforced Concrete Columns of Noncircular Cross Sections. J. Compos. Constr. 2008, 12, 80–92. [Google Scholar] [CrossRef] [Green Version]
- Li, X.; Lu, J.; Ding, D.D.; Wang, W. Axial strength of FRP-confined rectangular RC columns with different cross-sectional aspect ratio. Mag. Concr. Res. 2017, 69, 1011–1026. [Google Scholar] [CrossRef]
- Tanwongsval, S.; Maalej, M.; Paramasivam, P. Strengthening of RC wall-like columns with FRP under sustained loading. Mater. Struct. 2003, 36, 282–290. [Google Scholar] [CrossRef]
- Tan, K.H. Strength Enhancement of Rectangular Reinforced Concrete Columns using Fiber-Reinforced Polymer. J. Compos. Constr. 2002, 6, 175–183. [Google Scholar] [CrossRef]
- Prota, A.; Manfredi, G.; Cosenza, E. Ultimate behavior of axially loaded RC wall-like columns confined with GFRP. Compos. Part B Eng. 2006, 37, 670–678. [Google Scholar] [CrossRef]
- Lignola, G.P.; Prota, A.; Manfredi, G.; Cosenza, E. Non-linear modeling of RC rectangular hollow piers confined with CFRP. Compos. Struct. 2009, 88, 56–64. [Google Scholar] [CrossRef]
- Alsayed, S.; Almusallam, T.; Ibrahim, S.; Al-Hazmi, N.; Al-Salloum, Y.; Abbas, H. Experimental and numerical investigation for compression response of CFRP strengthened shape modified wall-like RC column. Constr. Build. Mater. 2014, 63, 72–80. [Google Scholar] [CrossRef]
- Neale, K.; Demers, M.; DeVino, B.; Ho, N. Strengthening of wall-type reinforced concrete columns with fiber reinforced composite sheets. In Proceedings of the Fifth International Conference: Structural Failure Durability and Retrofitting, Singapore, 27–28 November 1997; Singapore Concrete Institute: Singapore, 1997; pp. 410–417. [Google Scholar]
- Chiew, S.; Lau, J.; Ho, N. Testing of wall-type reinforced concrete column strengthening with advanced composite materials. In Seminar on Strengthening and Upgrading Structures Using Advanced Composite Materials; Singapore Concrete Institute: Singapore, 1999; pp. 1–16. [Google Scholar]
- Wang, Y.; Restrepo, J. Investigation of concentrically loaded reinforced concrete columns confined with glass fiber-reinforced polymer jackets. ACI Struct. J. 2001, 98, 377–385. [Google Scholar]
- Maalej, M.; Tanwongsval, S.; Paramasivam, P. Modelling of rectangular RC columns strengthened with FRP. Cem. Concr. Compos. 2003, 25, 263–276. [Google Scholar] [CrossRef]
- Saatcioglu, M.; Razvi, S. Strength and Ductility of Confined Concrete. J. Struct. Eng. 1992, 118, 1590–1607. [Google Scholar] [CrossRef]
- Yalcin, C.; Saatcioglu, M. Inelastic analysis of reinforced concrete columns. Comput. Struct. 2000, 77, 539–555. [Google Scholar] [CrossRef]
- Lignola, G.P.; Prota, A.; Manfredi, G.; Cosenza, E. Modeling of RC wall-like columns FRP confinement. In Proceedings of the 1st Middle East Conference on Smart Monitoring, Assessment and Rehabilitation of Civil Structures SMAR 2011, Dubai, United Arab Emirates, 8–10 February 2011. [Google Scholar]
- Triantafillou, T.; Choutopoulou, E.; Fotaki, E.; Skorda, M.; Stathopoulou, M.; Karlos, K. FRP confinement of wall-like reinforced concrete columns. Mater. Struct. 2015, 49, 651–664. [Google Scholar] [CrossRef]
- Vuggumudi, S.; Alagusundaramoorthy, P. FRP Strengthened RC Rectangular Columns Under Combined Axial and Lateral Loading: Analytical Study. Structures 2018, 14, 88–94. [Google Scholar] [CrossRef]
- Vuggumudi, S.; Alagusundaramoorthy, P. Interaction diagrams for FRP strengthened RC rectangular columns with large aspect ratio. Constr. Build. Mater. 2018, 171, 187–196. [Google Scholar] [CrossRef]
- ACI440.2R. Guide for the Design and Construction of Externally Bonded FRP Systems for Strengthening Concrete Structures (ACI 440. 2R-08); American Concrete Institute (ACI): Detroit, MI, USA, 2008. [Google Scholar]
- Lam, L.; Teng, J.G. Design-oriented stress-strain model for FRP-confined concrete. Constr. Build. Mater. 2003, 17, 471–489. [Google Scholar] [CrossRef]
- Sheikh, S.A.; Uzumeri, S.M. Strength and ductility of tied concrete columns. J. Struct. Div. 1980, 106, 1079–1102. [Google Scholar] [CrossRef]
- William, K.J.; Warnke, E.D. (Eds.) Constitutive Model for the Triaxial Behaviour of Concrete; International Association for Bridge and Structural Engineering, Seminar on Concrete Structures Subjected to Triaxial Stresses: Bergamo, Italy, 1974; Volume 19, p. 174. [Google Scholar]
- Kent, D.C.; Park, R. Flexural members with confined concrete. J. Struct. Div. 1971, 97, 1969–1990. [Google Scholar] [CrossRef]
- Kohnke, P. ANSYS Theory Reference Manual; Ansys Inc.: Canonsburg, PA, USA, 2013. [Google Scholar]
- Lam, L.; Teng, J. Strength models for fiber-reinforced plastic-confined concrete. J. Struct. Eng. 2002, 128, 612–623. [Google Scholar] [CrossRef]









| D | ||||
|---|---|---|---|---|
| Lam and Teng [10] | ||||
| Tan [20] | - | b | ||
| Maalej et al. [27] | ||||
| Lignola et al. [30] | − | 1 | − | b |
| Triantafillou et al. [31] | ||||
| Vuggumudi et al. [32] |
| B | H | FRP | ||||||||||||
|---|---|---|---|---|---|---|---|---|---|---|---|---|---|---|
| Type | [%] | [%] | ||||||||||||
| Tan [20] | ||||||||||||||
| P00 * | 115 | 420 | - | 12.0 | 1068 | 500 | - | - | - | - | - | 1069 | - | - |
| P02G | 115 | 420 | 30 | 12.0 | 1068 | 500 | GFRP | 0.706 | - | - | 72,400 | 1181 | +10.5 | - |
| P04G | 115 | 420 | 30 | 12.0 | 1068 | 500 | GFRP | 1.412 | - | - | 72,400 | 1097 | +2.6 | - |
| K00 * | 115 | 420 | - | 20.0 | 1068 | 500 | - | - | - | - | - | 1318 | - | - |
| K02G | 115 | 420 | 30 | 20.0 | 1068 | 500 | GFRP | 2.00 | 1.00 | - | 26,100 | 1754 | +33.1 | - |
| N00 * | 115 | 420 | - | 20.0 | 1068 | 467 | - | - | - | - | - | 1566 | - | - |
| N02G | 115 | 420 | 30 | 20.0 | 1068 | 467 | GFRP | 2.00 | - | - | 26,100 | 1624 | +3.7 | - |
| H00 * | 115 | 420 | - | 12.0 | 1068 | 473 | - | - | - | - | - | 1040 | - | - |
| H03G | 115 | 420 | 30 | 12.0 | 1068 | 473 | GFRP | 3.00 | - | - | 26,100 | 1237 | +18.9 | - |
| M00 * | 115 | 420 | - | 16.0 | 1068 | 495 | - | - | - | - | - | 1430 | - | - |
| M01C | 115 | 420 | 30 | 16.0 | 1068 | 495 | CFRP | 0.165 | - | - | 228,000 | 1636 | +14.4 | - |
| M11C | 115 | 420 | 30 | 16.0 | 1068 | 495 | CFRP | 0.165 | 0.165 | - | 228,000 | 1450 | +1.4 | - |
| S00 * | 115 | 420 | - | 16.0 | 1068 | 495 | - | - | - | - | - | 1222 | - | - |
| S02C | 115 | 420 | 30 | 16.0 | 1068 | 495 | CFRP | 0.334 | - | - | 228,000 | 1372 | +12.3 | - |
| S12C | 115 | 420 | 30 | 16.0 | 1068 | 495 | CFRP | 0.22 | 0.11 | - | 228,000 | 1579 | +29.2 | - |
| S13C | 115 | 420 | 30 | 16.0 | 1068 | 467 | CFRP | 0.33 | 0.11 | - | 230,000 | 1586 | +29.8 | - |
| U00 * | 115 | 420 | - | 20.0 | 1068 | 467 | - | - | - | - | - | 1149 | - | - |
| U11C | 115 | 420 | 30 | 20.0 | 1068 | 467 | CFRP | 0.165 | 0.165 | - | 228,000 | 1297 | +12.9 | - |
| U12C | 115 | 420 | 30 | 20.0 | 1068 | 467 | CFRP | 0.330 | 0.165 | - | 228,000 | 1608 | +39.9 | - |
| Maalej et al. [27] | ||||||||||||||
| Control * | 115 | 420 | - | 32.4 | 1376 | 461 | - | - | - | - | - | 2067 | - | 0.28 |
| 2H2V-NL | 115 | 420 | 30 | 32.4 | 1376 | 461 | GFRP | 2.16 | 2.16 | 1860 | 26,130 | 2657 | +28.5 | 0.43 |
| Prota et al. [21] | ||||||||||||||
| V * | 115 | 420 | - | 15.0 | 1068 | 500 | - | - | - | - | - | 1035 | - | 0.30 |
| UN2 | 115 | 420 | 20 | 15.0 | 1068 | 500 | GFRP | 1.062 | 0.354 | - | 72,400 | 1374 | +32.7 | 0.55 |
| UN3 | 115 | 420 | 20 | 18.0 | 1068 | 500 | GFRP | 0.708 | 0.354 | - | 72,400 | 1575 | - | 0.44 |
| Triantafillou et al. [31] | ||||||||||||||
| C3 * | 150 | 450 | - | 18.0 | 679 | 570 | - | - | - | - | - | 1149 | - | 0.30 |
| II3 | 150 | 450 | 20 | 18.0 | 679 | 570 | CFRP | 2.00 | - | 1046 | 93,700 | 1601 | +39.3 | 1.53 |
| C4 * | 150 | 600 | - | 18.0 | 905 | 570 | - | - | - | - | - | 1509 | - | 0.44 |
| II4 | 150 | 600 | 20 | 18.0 | 905 | 570 | CFRP | 2.00 | - | 1046 | 93,700 | 1908 | +26.4 | 1.47 |
| Vuggumudi et al. [32] | ||||||||||||||
| CCA1 * | 230 | 600 | - | 20.0 | 2945 | 415 | - | - | - | - | - | 3334 | - | 0.65 |
| RCA2 | 230 | 600 | - | 20.0 | 2945 | 415 | CFRP | 1.2 | - | 602 | 67,000 | 4609 | +38.2 | 0.79 |
| Model | Mean (%) | St. Dev. (%) |
|---|---|---|
| Lam and Teng [10] | ||
| Tan [20] | ||
| Maalej et al. [27] | ||
| Lignola et al. [22] | ||
| Triantafillou et al. [31] | ||
| Vuggumudi et al. [32] |
| Column | (kN) | (kN) | (%) | |||
|---|---|---|---|---|---|---|
| M01C | 1636 | 1329 | ||||
| S02C | 1372 | 1338 | ||||
| P02G | 1181 | 1143 | ||||
| P04G | 1097 | 1147 | ||||
| N02G | 1624 | 1498 | ||||
| H03G | 1237 | 1115 | ||||
| II3 | 1601 | 1604 | ||||
| II4 | 1908 | 2143 |
Publisher’s Note: MDPI stays neutral with regard to jurisdictional claims in published maps and institutional affiliations. |
© 2021 by the authors. Licensee MDPI, Basel, Switzerland. This article is an open access article distributed under the terms and conditions of the Creative Commons Attribution (CC BY) license (https://creativecommons.org/licenses/by/4.0/).
Share and Cite
Avossa, A.M.; Picozzi, V.; Ricciardelli, F. Load-Carrying Capacity of Compressed Wall-Like RC Columns Strengthened with FRP. Buildings 2021, 11, 285. https://doi.org/10.3390/buildings11070285
Avossa AM, Picozzi V, Ricciardelli F. Load-Carrying Capacity of Compressed Wall-Like RC Columns Strengthened with FRP. Buildings. 2021; 11(7):285. https://doi.org/10.3390/buildings11070285
Chicago/Turabian StyleAvossa, Alberto Maria, Vincenzo Picozzi, and Francesco Ricciardelli. 2021. "Load-Carrying Capacity of Compressed Wall-Like RC Columns Strengthened with FRP" Buildings 11, no. 7: 285. https://doi.org/10.3390/buildings11070285
APA StyleAvossa, A. M., Picozzi, V., & Ricciardelli, F. (2021). Load-Carrying Capacity of Compressed Wall-Like RC Columns Strengthened with FRP. Buildings, 11(7), 285. https://doi.org/10.3390/buildings11070285

