Effects of Wall-to-Wall Supported Ceilings on Impact Sound Insulation for Use in Residential Buildings
Abstract
:1. Introduction
2. Experimental Methods
2.1. Ceiling Structures
2.1.1. Conventional Ceiling Structure
2.1.2. Wall-to-Wall Supported Ceiling (WSC)
2.2. Test Buildings and Floor–Ceiling Assemblies
2.3. Measurement Methods
3. Results and Discussions
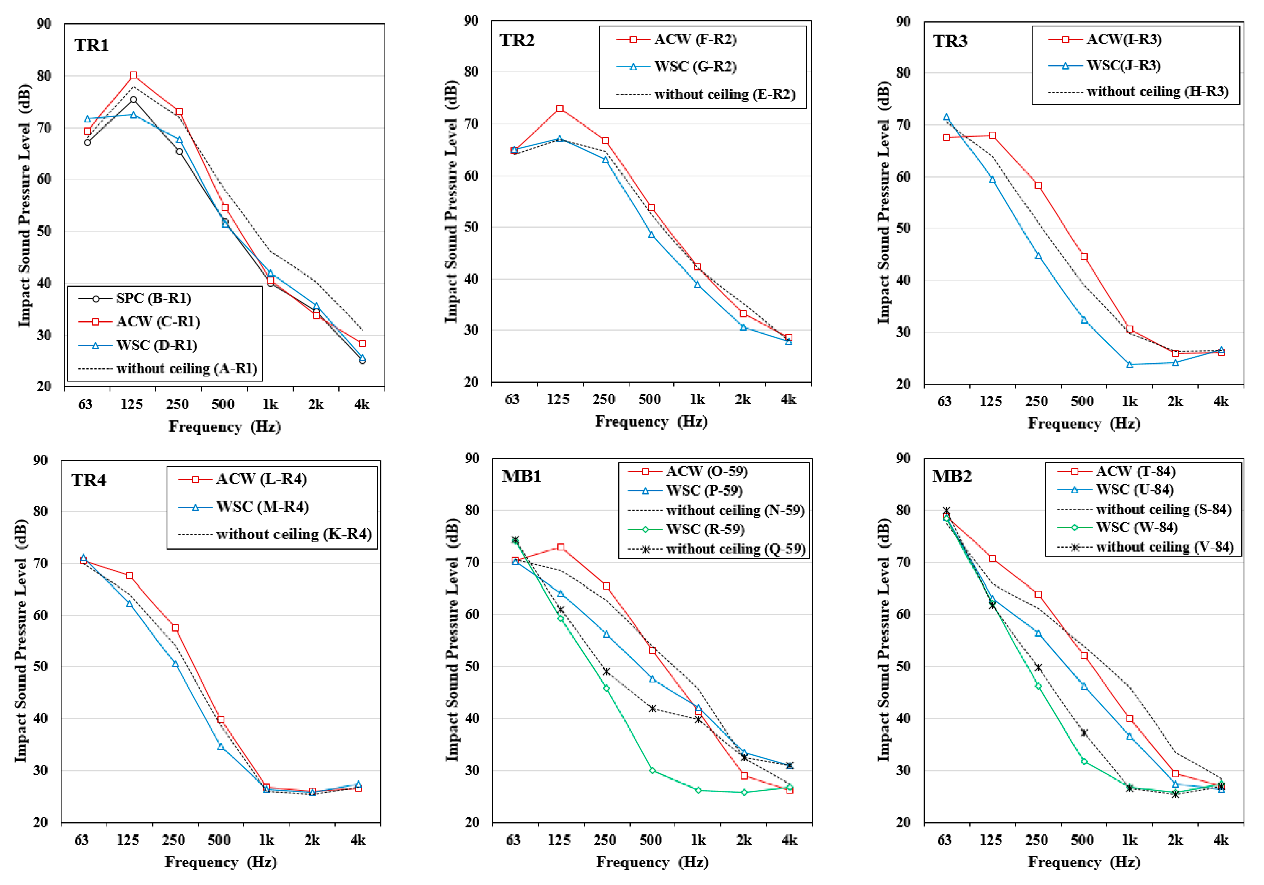
3.1. Impact Sound Pressure Levels
3.2. Effects of the Wall-to-Wall Supported Ceiling on Impact Sound Reduction
3.2.1. Reductions in Impact Sound Pressure Level
3.2.2. Improvement of the Impact Sound Insulation
4. Conclusions
Author Contributions
Funding
Institutional Review Board Statement
Informed Consent Statement
Data Availability Statement
Conflicts of Interest
References
- Jeon, J.Y.; Ryu, J.K.; Lee, P.J. A Quantification Model of Overall Dissatisfaction with Indoor Noise Environment in Residential Buildings. Appl. Acoust. 2010, 71, 914–921. [Google Scholar] [CrossRef]
- Ljunggren, F.; Simmons, C.; Hagberg, K. Correlation between Sound Insulation and Occupants’ Perception—Proposal of Alternative Single Number Rating of Impact Sound. Appl. Acoust. 2014, 85, 57–68. [Google Scholar] [CrossRef]
- Yang, H.; Kim, T. Parametric Study on Floor Impact Sound with Design Factors of Layers Composing a Floating Floor in Multi-Residential Buildings. Trans. Korean Soc. Noise Vib. Eng. 2020, 30, 119–128. [Google Scholar] [CrossRef]
- Kim, T.; Bae, J.; Yang, H. The Study on Characteristic of Floor Impact Noise Using the Structural Vibration on Floor Slab: Effective Plate. Trans. Korean Soc. Noise Vib. Eng. 2020, 30, 276–285. [Google Scholar] [CrossRef]
- Song, G.; Kim, Y.; Ryu, J.; Kim, M. Analysis of Heavyweight Floor Impact Sound Level with Dynamic Stiffness and Thickness of EPS Type Resilient Materials. Trans. Korean Soc. Noise Vib. Eng. 2018, 28, 713–720. [Google Scholar] [CrossRef] [Green Version]
- Park, H.; Oh, B.; Kim, Y.; Cho, T. Low-frequency impact sound transmission of floating floor: Case study of mortar bed on concrete slab with continuous interlayer. Build. Environ. 2015, 94, 793–801. [Google Scholar] [CrossRef]
- Kim, K.; Jeong, G.; Yang, K.; Sohn, J. Correlation between Dynamic Stiffness of Resilient Materials and Heavyweight Impact Sound Reduction Level. Build. Environ. 2009, 44, 1589–1600. [Google Scholar] [CrossRef]
- Schiavi, A. Improvement of Impact Sound Insulation: A Constitutive Model for Floating Floors. Appl. Acoust. 2018, 129, 64–71. [Google Scholar] [CrossRef]
- Schiavi, A.; Belli, A.P.; Corallo, M.; Russo, F. Acoustical Performance Characterization of Resilient Materials Used Floating Floor in Dwellings. Acta Acust. Acoust. 2007, 93, 477–485. [Google Scholar]
- Caniato, M.; Bettarello, F.; Marsich, L.; Feruga, A.; Sbaizero, O.; Schmid, C. Time-depending performance of resilient layers under floating floors. Constr. Build. Mater. 2016, 102, 226–232. [Google Scholar] [CrossRef]
- Caniato, M.; Schmid, C.; Gasparella, A. A comprehensive analysis of time influence on floating floors: Effects on acoustic performance and occupants’ comfort. Appl. Acoust. 2020, 166, 107339. [Google Scholar] [CrossRef]
- Hopkins, C. Sound Insulation; Elsevier Ltd.: Burlington, NJ, USA, 2007. [Google Scholar]
- Hassan, O.A.B. Building Acoustics and Vibration: Theory and Practice; World Scientific Publishing Co.: Singapore, 2009. [Google Scholar]
- Kim, K.; Kang, J.; Lee, S.; Yang, K. Floor Impact Sound Isolation Performance by Composition of Ceiling and Wall. Trans. Korean Soc. Noise Vib. Eng. 2005, 15, 465–473. [Google Scholar]
- Ryu, J.; Song, H.; Kim, Y. Effect of the Suspended Ceiling With Low-Frequency Resonant Panel Absorber on Heavyweight Floor Impact Sound in the Building. Build. Environ. 2018, 139, 1–7. [Google Scholar] [CrossRef]
- Shin, H.; Kim, K. Analysis Effects of Perforated Gypsum Board Ceiling Structure for Floor Impact Sound Reduction. Trans. Korean Soc. Noise Vib. Eng. 2009, 29, 511–517. [Google Scholar] [CrossRef]
- Bettarello, F.; Gasparella, A.; Caniato, M. The influence of layering on airborne sound insulation and impact noise reduction: A study on Cross Laminated Timber (CLT) structures. Appl. Sci. 2021, 11, 5938. [Google Scholar] [CrossRef]
- Souza, C.F.N.; Pacheco, F.; Oliveira, M.F.; Heissler, R.F.; Tutikian, B.F. Impact Sound Insulation of Floor Systems with Hollow Brick Slabs. Case Stud. Constr. Mater. 2020, 13, e00387. [Google Scholar] [CrossRef]
- Sipari, P. Sound Insulation of Multi-Storey Houses, a Summary of Finnish Impact Sound Insulation Results. Build. Acoust. 2000, 7, 15–30. [Google Scholar] [CrossRef]
- Huang, E. Field Floor Impact Noise South-East Queensland (Australia). In Proceedings of the 43rd International Congress on Noise Control Engineering (Inter-Noise 2014), Melbourne, Australia, 16–19 November 2014. [Google Scholar]
- Hui, C.K.; Ng, C.F. Improvement of Lightweight Floating Ceiling Design with Optimum Stiffener and Isolator Locations. J. Sound Vib. 2009, 327, 333–353. [Google Scholar] [CrossRef]
- International Organization for Standardization. ISO 16283-2. Acoustics—Field Measurement of Sound Insulation in Buildings and Building Elements—Part 2: Impact Sound Insulation; ISO: Geneva, Switzerland, 2020. [Google Scholar]
- Korean Agency for Technology and Standards. KS F 2810-1. Field Measurement of Impact Sound Insulation of Floors, Part 1: Method Using Standard Light Impact Source; Korean Agency for Technology and Standards: Seoul, Korea, 2001.
- Korean Agency for Technology and Standards. KS F 2810-2. Field Measurement of Impact Sound Insulation of Floors, Part 2: Method Using Standard Heavy Impact Sources; Korean Agency for Technology and Standards: Seoul, Korea, 2012.
- International Organization for Standardization. ISO 10140-5. Acoustics—Laboratory Measurement of Sound Insulation of Building Elements—Part 5: Requirement for Test Facilities and Equipment; ISO: Geneva, Switzerland, 2010. [Google Scholar]
- Korean Agency for Technology and Standards. KS F 2863-1. Rating of Floor Impact Sound Insulation for Impact Source in Buildings and of Building Elements, Part 1: Floor Impact Sound Insulation against Standard Light Impact Source; Korean Agency for Technology and Standards: Seoul, Korea, 2017.
- Korean Agency for Technology and Standards. KS F 2863-2. Rating of Floor Impact Sound Insulation for Impact Source in Buildings and of Building Elements, Part 2: Floor Impact Sound Insulation against Standard Heavy Impact Source; Korean Agency for Technology and Standards: Seoul, Korea, 2017.
- Mun, D.; Song, G.; Lee, C.; Park, H. Reduction of Floor Impact Noise and Impact Force for PVC Floor Covering and Floor Mat. Trans. Korean Soc. Noise Vib. Eng. 2014, 24, 501–508. [Google Scholar] [CrossRef]
- Kim, S.; Cho, H.; Kim, M. A Study on Improvement of Floor Impact Sound Insulation Performance in Repairing Floor Layers of Aged Apartment. Trans. Korean Soc. Noise Vib. Eng. 2019, 29, 206–215. [Google Scholar] [CrossRef]
- Caniato, M.; Bettarello, F.; Fausti, P.; Ferluga, A.; Marsich, L.; Schmid, C. Impact sound of timber floors in sustainable buildings. Build. Environ. 2017, 120, 110–122. [Google Scholar] [CrossRef]
- Long, M. Architectural Acoustics; Elsevier Academic Press: London, UK, 2006; pp. 278–279. [Google Scholar]
















| Symbol | A-R1 | B-R1 | C-R1 | D-R1 | E-R2 | F-R2 | G-R2 | H-R3 | I-R3 |
|---|---|---|---|---|---|---|---|---|---|
| Experiment Site | TR1 | TR1 | TR1 | TR1 | TR2 | TR2 | TR2 | TR3 | TR3 |
| Floor covering (mm) | - | - | - | - | - | - | - | - | - |
| Finish mortar (mm) | - | - | - | - | 45 | 45 | 45 | 40 | 40 |
| Aerated concrete (mm) | - | - | - | - | 65 | 65 | 65 | 40 | 40 |
| Resilient material (mm) (Dynamic stiffness, MN/m3) | - | - | - | - | - | - | - | EPS 20 (DS 10) | EPS 20 (DS 10) |
| Concrete slab (mm) | 150 | 150 | 150 | 150 | 150 | 150 | 150 | 150 | 150 |
| Air cavity (mm) | - | 150 | 30 | 200 | - | 30 | 200 | - | 30 |
| Absorber (polyester 24K) (mm) | - | - | - | 50 | - | - | - | - | - |
| Plaster board (mm) | - | 9.5 | 9.5 | 9.5 | - | 9.5 | 9.5 | - | 9.5 |
| Ceiling type | - | SPC | ACW | WSC | - | ACW | WSC | - | ACW |
| Symbol | J-R3 | K-R4 | L-R4 | M-R4 | N-59 | O-59 | P-59 | Q-59 | R-59 |
| Experiment Site | TR3 | TR4 | TR4 | TR4 | MB1 | MB1 | MB1 | MB1 | MB1 |
| Floor covering (mm) | - | - | - | - | 2 | 2 | 2 | 6 | 6 |
| Finish mortar (mm) | 40 | 40 | 40 | 40 | 45 | 45 | 45 | 40 | 40 |
| Aerated concrete (mm) | 40 | 40 | 40 | 40 | 65 | 65 | 65 | 40 | 40 |
| Resilient material (mm) (Dynamic stiffness, MN/m3) | EPS 20 (DS 10) | EPS 20 (DS 10) | EPS 20 (DS 10) | EPS 20 (DS 10) | - | - | - | EPS 20 (DS 10) | EPS 20 (DS 10) |
| Concrete slab (mm) | 150 | 150 | 150 | 150 | 150 | 150 | 150 | 150 | 150 |
| Air cavity (mm) | 200 | - | 30 | 200 | - | 30 | 200 | - | 200 |
| Absorber (polyester 24K) (mm) | 50 | - | - | 50 | - | - | 50 | - | 50 |
| Plaster board (mm) | 9.5 | - | 9.5 | 9.5 | - | 9.5 | 9.5 | - | 9.5 |
| Ceiling type | WSC | - | ACW | WSC | - | ACW | WSC | - | WSC |
| Symbol | S-84 | T-84 | U-84 | V-84 | W-84 | X-59 | Y-59 | ||
| Experiment Site | MB2 | MB2 | MB2 | MB2 | MB2 | MB3 | MB3 | ||
| Floor covering (mm) | 2 | 2 | 2 | 6 | 6 | - | - | ||
| Finish mortar (mm) | 45 | 45 | 45 | 40 | 40 | 40 | 40 | ||
| Aerated concrete (mm) | 65 | 65 | 65 | 40 | 40 | 40 | 40 | ||
| Resilient material (mm) (Dynamic stiffness, MN/m3) | - | - | - | EPS 20 (DS 10) | EPS 20 (DS 10) | EPS 30 (DS 20) | EPS 30 (DS 20) | ||
| Concrete slab (mm) | 150 | 150 | 150 | 150 | 150 | 210 | 210 | ||
| Air cavity (mm) | - | 30 | 200 | - | 200 | 170 | 170 | ||
| Absorber (polyester 24K) (mm) | - | - | 50 | - | 50 | - | 50 | ||
| Plaster board (mm) | - | 9.5 | 9.5 | - | 9.5 | 9.5 | 9.5 | ||
| Ceiling type | - | ACW | WSC | - | WSC | SPC | WSC | ||
| 125 Hz | 250 Hz | 500 Hz | 1 kHz | 2 kHz | 4 kHz | NRC * |
|---|---|---|---|---|---|---|
| 0.26 | 0.60 | 0.75 | 0.86 | 0.83 | 0.83 | 0.76 |
| Equipment | Model and Maker |
|---|---|
| Light impact source | Tapping machine (TM01), 01 dB |
| Heavy impact source | Rubber ball (Y1-01), NOK |
| Frequency analyzer | dB4_4ch, 01 dB and SA-02, RION |
| Microphone | MPA 201, BSWA TECH |
| Calibrator | NC-74, RION |
| Experiment Site | Test Room 1 (TR1) | Test Room 2 (TR2) | Test Room 3 (TR3) | Test Room 4 (TR4) | |||||||||
|---|---|---|---|---|---|---|---|---|---|---|---|---|---|
| Symbol | A-R1 | B-R1 | C-R1 | D-R1 | E-R2 | F-R2 | G-R2 | H-R3 | I-R3 | J-R3 | K-R4 | L-R4 | M-R4 |
| (dB) | 83 | 75 | 77 | 74 | 75 | 72 | 70 | 51 | 52 | 47 | 49 | 49 | 43 |
| (dB) | 62 | 57 | 64 | 57 | 53 | 57 | 52 | 46 | 50 | 44 | 47 | 50 | 45 |
| Experiment Site | Mock-Up Bld. 1 (MB1) | Mock-Up Bld. 2 (MB2) | Mock-Up Bld. 3 (MB3) | ||||||||||
| Symbol | N-59 | O-59 | P-59 | Q-59 | R-59 | S-84 | T-84 | U-84 | V-84 | W-84 | X-59 | Y-59 | |
| (dB) | 61 | 59 | 52 | 39 | 35 | 61 | 58 | 52 | 38 | 36 | 38 | 36 | |
| (dB) | 53 | 56 | 48 | 46 | 45 | 53 | 55 | 50 | 49 | 49 | 44 | 42 | |
Publisher’s Note: MDPI stays neutral with regard to jurisdictional claims in published maps and institutional affiliations. |
© 2021 by the authors. Licensee MDPI, Basel, Switzerland. This article is an open access article distributed under the terms and conditions of the Creative Commons Attribution (CC BY) license (https://creativecommons.org/licenses/by/4.0/).
Share and Cite
Kim, S.-T.; Cho, H.-M.; Kim, M.-J. Effects of Wall-to-Wall Supported Ceilings on Impact Sound Insulation for Use in Residential Buildings. Buildings 2021, 11, 587. https://doi.org/10.3390/buildings11120587
Kim S-T, Cho H-M, Kim M-J. Effects of Wall-to-Wall Supported Ceilings on Impact Sound Insulation for Use in Residential Buildings. Buildings. 2021; 11(12):587. https://doi.org/10.3390/buildings11120587
Chicago/Turabian StyleKim, Sin-Tae, Hyun-Min Cho, and Myung-Jun Kim. 2021. "Effects of Wall-to-Wall Supported Ceilings on Impact Sound Insulation for Use in Residential Buildings" Buildings 11, no. 12: 587. https://doi.org/10.3390/buildings11120587
APA StyleKim, S.-T., Cho, H.-M., & Kim, M.-J. (2021). Effects of Wall-to-Wall Supported Ceilings on Impact Sound Insulation for Use in Residential Buildings. Buildings, 11(12), 587. https://doi.org/10.3390/buildings11120587

