Next Article in Journal
Investigation of the Effective Use of Photovoltaic Modules in Architecture
Previous Article in Journal
Integrated Cost-Analysis Approach for Seismic and Thermal Improvement of Masonry Building Façades
 
 
Font Type:
Arial Georgia Verdana
Font Size:
Aa Aa Aa
Line Spacing:
Column Width:
Background:
Article

The Application of 3D-Printing Techniques in the Manufacturing of Cement-Based Construction Products and Experiences Based on the Assessment of Such Products

by
Guillermo Sotorrío Ortega
1,*,
Javier Alonso Madrid
2,
Nils O. E. Olsson
3 and
José Antonio Tenorio Ríos
1
1
Eduardo Torroja Institute for Construction Science, Spanish National Research Council (CSIC), 28033 Madrid, Spain
2
ATANGA Arquitectura e Ingeniería, 28692 Madrid, Spain
3
Department of Mechanical and Industrial Engineering, Norwegian University of Science and Technology, 7491 Trondheim, Norway
*
Author to whom correspondence should be addressed.
Buildings 2020, 10(9), 144; https://doi.org/10.3390/buildings10090144
Submission received: 29 June 2020 / Revised: 14 August 2020 / Accepted: 15 August 2020 / Published: 19 August 2020

Abstract

The construction industry has embraced digitisation and industrialisation in response to the need to increase its productivity, optimise material consumption and improve workmanship. Additive manufacturing (AM), more widely known as 3D printing, has driven substantial progress in these respects in other industries, and a number of national and international projects have helped to introduce the technique to the construction industry. As with other innovative processes not covered by uniform standards, appropriate assessments and testing methodologies to control the quality of the 3D-printed end products, while not obligatory, are advisable. This article shows that regulation is not an obstacle to the use of an innovative product, such as 3D printing, by proposing quality-control tests and an assessment methodology, in the understanding that standardisation ensures the viability of a technology. The information, including the methods and results, is based on the authors’ experiences in the development of three research projects pertaining to 3D printing. This paper also discusses whether the performance of the materials used in 3D printing could be superior to traditional ones.

1. Introduction

Both building and civil construction have traditionally been more reluctant to adopt innovative procedures than have other industries. However, this has been changing in recent years as the industry has modernised and adapted to the conditions imposed by the fourth industrial revolution, also known as Industry 4.0 and, in construction in particular, as Construction 4.0. This may herald a significant change in the construction industry [1]. The fourth industrial revolution builds upon digitalisation and includes a synthesis of production, management and governance systems [2]. Examples of currently emerging technologies include materials science, artificial intelligence (AI), the Internet of Things (IoT), autonomous vehicles, robotics, 3D printing and so forth [2]. These technologies can contribute to maintaining the value-adding activities in building on construction sites, as industrialisation in construction has traditionally focused on moving towards offsite production and prefabrication [3]. The technological transformation will affect economies, businesses, societies and politics [4]. Schwab [5] demonstrated that areas such as real estate and infrastructure will need to change design and construction processes to operate and maintain built assets.
The digitisation of the construction process and industrialisation are the two main foundations for the modernisation of the industry, with the aim of improving performance, optimising the spend on materials, decreasing costs, reducing energy consumption and enhancing the quality of workmanship. Additive manufacturing (AM), usually referred to as 3D printing, is a new technology that is indisputably linked to such objectives. It took other industries by storm years ago, and construction is no longer a stranger to this technique, which is being applied in many projects in Spain, Norway and other countries. Schwab and Davis [6] claimed that construction companies need to prepare for the disruption created by the widespread use of 3D printing and other new technologies and business models.
AM technology includes the production of components based on a computer-aided design (CAD) model in which various materials can be used. In construction, building information modelling (BIM) models are typically used, and serve the purpose of CAD models in other industries. Three-dimensional printing is the process of making an object via a 3D CAD model by slicing the model into several 2D layers, with each layer being produced at a time [7]. Three-dimensional printing can be used to produce objects with complex geometries with low material waste [8]. The use of 3D-printing technology in the construction industry is still at an early stage of development. Paris and Mandil [9] pointed out some limitations and issues, such as high costs, resolution problems (meaning poor surface quality with rough and chunky outputs, resulting in reduced dimensional accuracy), and a long production time because printing speed is compromised by scale.
A key question related to the implementation of this new technology is whether existing legislations are an obstacle to its introduction. The immediate answer is no. Legislation should not be an obstacle, although certain factors may be viewed as such in practice. The UK National Strategy for Additive Manufacturing [10] conducted a survey among a broad sample of private and public organisations to identify the factors most commonly perceived to constitute obstacles to 3D printing. These obstacles include:
  • the availability, standardisation and certification of printing materials,
  • proper or suitable design methods to overcome the constraints on AM,
  • the lack of skilled and trained operators of 3D-printing equipment,
  • the high initial investment compared to other production methods, and
  • existing legislation and the lack of a comprehensive set of standards for 3D printing, with certification and standardisation deemed to be key elements.
The aforementioned obstacles are also highly relevant to the general acceptance of 3D concrete printing to a greater or lesser extent, as the lack of uniform analyses and comparable results have generated doubt in the marketplace and amongst investors.
The testing of 3D-printed concrete needs to be addressed for the technology to be developed. There is ongoing research, such as that conducted by Jayathilakage, Sanjayan and Rajeev [11], who described trials involving shear tests of 3D-printed concrete. They found that the shear rates had little effect on the cohesion values, and that the mixtures used followed the Mohr–Coulomb model. Wolfs, Bos and Salet [12] developed a numerical model to analyse the behaviour of 3D-printed concrete. The model was validated via a comparison to printing experiments. Jayathilakage, Rajeev and Sanjayan [13] also conducted laboratory experiments to study the properties of 3D-printed concrete.
We provide a brief overview of the relevant regulations. CE marking is compulsory for construction products subject to a harmonised European standard (hEN), but not for innovative products in general. Inasmuch as standardisation always refers to existing products, a series of organisations have been entrusted with the technical assessment of new and innovative products.
The basis for assessing innovative materials is a document published by the OECD in 1997 entitled The Measurement of Scientific and Technological Activities. Oslo Manual: Guidelines for Collecting and Interpreting Innovation Data [14]. It defines innovation as ‘the implementation of a new or significantly improved product (good or service), or process, a new marketing method, or a new organisational method in business practices, workplace organisation or external relations’. The manual distinguishes amongst four types of innovation: product, process, marketing and organisation. Several of these are involved in AM or 3D printing, as the materials used, the construction processes and the end products are all innovative.
The European Union of Agrément (UEAtc) [15] is a network of European and neighbouring country institutes, centres and organisations engaged in the issuing of technical approvals. It aims to lower the barriers to all types of innovation, and promotes a scientific approach towards the approval of innovation in construction. The European Organisation for Technical Assessment of Construction Products (EOTA) coordinates the application of the procedures established for applying for a European Technical Assessment (ETA) and develops and adopts European Assessment Documents (EAD).
While the respective regulations are incumbent upon the member states, the European Commission sets out minimum, Europe-wide safety and suitability requirements. Safety provisions are laid down in non-mandatory standards, the Eurocodes, which co-exist with national legislation. Since Eurocodes are generally based on performance, they do not constitute an obstacle to the use of innovative products, processes or designs, such as 3D printing.
The member states do not have a common legislation for safety in the event of fire, or for hygiene, health and the environment, safety of use, noise control, energy economics, or heat retention. Each member state sets its own national standards.
As an innovative product, 3D concrete printing might be covered by an ETA, the alternative for construction products that are not fully subject to a harmonised standard, although this would not be mandatory. ETAs are based on an EAD adopted by the EOTA, as illustrated in Figure 1 and Figure 2.
The purpose of this paper is to study the assessment of 3D-printed concrete construction objects. The research questions are:
  • How can 3D-printing technologies, which are not covered by any harmonised standard, be eligible for some type of marking to confirm quality and safety?
  • How can a 3D-printed object made of concrete be assessed?
  • What parts of the production process and the finished object should be included in the assessment?
  • What special considerations need to be taken into account when assessing 3D-printed concrete objects?

2. Materials and Methods

A key characteristic of 3D printing of concrete is the interdependency of the design, material, process and product properties. The setting reaction of concrete affects the printing speed, the pump pressure, filament stacking and other factors [12].

2.1. New 3D-Printing Materials

Two types of cement-, concrete- or mortar-based materials are used in AM: those developed explicitly for a given project, and those available previously on the market. Irrespective of their origin, these materials must meet the following technical requirements:
  • They must be printable; that is, they must conserve fresh-state workability for as long as required to be pumped easily.
  • At the same time, upon extrusion, the materials must be sufficiently firm to maintain their shape under their own weight, either by setting rapidly or as a result of their thixotropy.
  • They must develop strength in a short period to support the weight of the successive layers applied during printing.
  • They must not harden too rapidly; however, ensuring cohesion between successive layers can only be guaranteed if both the lower and upper layers are fresh.
  • Their mechanical strength must be in keeping with their envisaged use.
Figure 3 shows an example of a vertical 3D-printing test.
The options adopted for materials vary, from commercial products that are mixed and pumped into the printing facility to plant materials prepared explicitly for 3D printing, or others admixtured at the printing nozzle. The use of those three types of materials is exemplified in the present description of three recent projects: Print ‘n’ Build (commercial), 3DCONS (customised) and HINDCON (admixtured).

2.2. New Workflow Design

As part of the complete process, new forms are needed to meet the special requirements of the materialisation process of overlapping additive layers; but also, to take advantage of the special material and process characteristics.
The relationship between form and function, which is a classic dilemma in architectural design, is even more relevant for 3D printing, as the geometric volume must fulfil the function of the part or object, and needs to be constructed via new processes in continuous evolution. In addition, materials can determine form, as this is related strongly to their technical capacities, and may even have special configurations that can change during the deposition process, as a variable additive or even the natural hardening of concrete in the mix recipient or lower layers. Therefore, design is also related to and affected by aspects such as the angle between layers, the widening of line fabrication from the extruder, the end diameter and the thickness of the extruder. The general relationship of design, materials and machines is illustrated in Figure 4.
In this process, parametric design is essential, as parametrising the values of geometric parts can allow designers to personalise designs for different environments, needs, material capacities or simple aesthetic appeal with ease.

2.3. New 3D-Printing Processes

Construction projects involving AM have been implemented via different approaches, including the in situ printing of complete buildings or building elements, or printing over existing elements, such as in façade restoration or precasting.
A 3D-printing system for concrete has three major components, in which different parameters and variables are grouped under each category [16]:
  • Printable concrete: composition, aggregate size, additives, admixtures and open time.
  • Three-dimensional printer: pump pressure, flow, robot speed, acceleration, system length, system friction, nozzle geometry, temperature and humidity.
  • Print geometry: filament, overall shape, dimensions, curvatures, strength and stiffness. In the 3D printing of concrete, it is important that the concrete retains its shape after extrusion. It should also be able to carry subsequent layers without deformation. It is difficult to stack concrete layers because of the material’s setting time, slump and flow behaviour [17].
As in the case of the materials, very different construction processes have been developed. New construction processes are dictated by the type of printer used. The Print ‘n’ Build (Figure 5), and 3DCONS (D-Shape and TU Eindhoven) projects used bridge crane printers, while the HINDCON project (Figure 6) used a cable robot. A third type of facility, robot arms such as Apis-Cor and COBOD, is also available.
Of particular note is the HINDCON project, in which additive and subtractive manufacturing were integrated in a single robot (Figure 6). In other words, parts of the printed piece were cut away using subtractive methods for greater freedom of design.
A number of stages that form part of the construction process, such as data collection and design, precede printing per se. Data only need be gathered when the surface to be printed over is irregular, as in the case of an existing structure. Building a construction element may therefore be divided into four stages, all of which must be assessed as parts of the whole:
  • Three-dimensional data collection, processing and interpretation: depending on the needs and the scope of the intervention, data may be acquired via different methods, such as laser photogrammetry or thermographic photography.
  • Print design: the printer’s path, speed, flow and so on must be designed to accommodate the data gathered to optimise timing and cost.
  • Printing per se: the extruder paths, tolerances, speed, and amount of material applied must be monitored.
  • Quality control: upon completion, an established protocol must be applied to ensure the process was performed according to the specifications and the quality of the end product must be confirmed.
Depending on the 3D-printing process, it may be necessary to establish and verify the values of factors such as the printing speed.

2.4. New 3D-Printed Construction Products

A challenge of 3D printing is slower build time than that of cast-based manufacturing due to the layered printing approach. The reduction in build time is linked to build complexity. Printing resolution and the level of detail depend on the thickness of the layers. Accelerating the printing time can compromise the level of detail in the printed object [18].
Different types of elements are subject to different requirements depending on the envisaged use. Oher conditions are imposed by the formal and functional design of the object to be printed, including its geometry (thickness, height and maximum dimensions), equipment and process parameters (extruder diameter and maximum aggregate size) and the characteristics of the constituent material (fluidity, thixotropy, temperature, density, setting times and so on).

2.5. Examples of 3D-Printed Construction Products

Figure 7 shows the design for a 3D printed column using the HINDCON prototype and the final product. The types of objects that were considered and how they were evaluated is also shown.
In the HINDCON project, the following items were analysed for the additive/subtractive processes:
  • Wall
    • Entrance: personalised entrance numbering or name decoration
    • Technical: hospital wall with technic MEP inner items
    • Lattice: holed wall
    • Organic: freeform design based on nature
  • Stairs
  • Roof
  • Structural
  • Other
The following parameters were included for product determination (Figure 8), ranked from 1 (less) to 3 (more):
  • Popular: number of items existing in conventional buildings
  • Complexity: difficulty of fabrication
  • Cost: monetary amount to purchase
  • Coordination: need for relationships among different agents
  • Materials: difficulty of adapting/developing materials for additive processes
  • Geometry: complexity of the geometric definition

2.6. AM Products: Requirements and Characteristics

As noted previously, legislative requirements should be related to the envisaged use, and must therefore be specified separately for each application. The European Commission sets out minimum safety and suitability requirements, the Eurocodes, which co-exist with national building codes that lay down the safety requirements. No common safety legislation is in place for fire prevention, or for hygiene, health and the environment, safe use, noise control, energy savings or heat retention.
Building regulations can be seen as a barrier [3]. The main reason is that traditional products are regulated by standardisation processes, and building regulations are often supported by standardisation schemes. In order to solve this problem when introducing new products, certain European countries created the UEAtc organisation. The European Union for technical approval in construction is a de facto partnership that brings together national institutes, centres or organisations that are engaged in the issuing of technical approval, on a voluntary basis. The purpose of the UEAtc is to reduce barriers of any kind and to increase and promote a scientific approach to the approval of innovation in the field of construction.
Institutions that are able to develop the assessments of the previous organisation are integrated at the national level. Building regulations are put in place on many levels for different reasons.
In construction, CE marking is mandatory for any product covered by a hEN, but not for innovative products in general. Regulations should not be barriers to new construction products or processes. However, as the stated values of material and product properties that accompany CE marking are used as input for the calculations needed to design a product structure according to the Eurocodes, the development of a technical assessment for new and innovative products is necessary.
Three-dimensionally printed concrete, as an innovative product, should be covered by an ETA as an alternative for construction products not fully covered by a harmonised standard. The ETA will be developed based on an EAD adopted by the EOTA.

2.7. Assessment Methods

Assessment methods to ensure compliance with the quality standards in different domains should vary depending on the envisaged use. While materials may be laboratory tested to assess their structural properties, the assessment of the construction process as a whole requires information about the printing technology and the optimal values of parameters such as the printing speed, volume, temperature and so on.
Cement-based mortar and concrete should be subject to laboratory tests to determine their chemical composition, consistency, air content, density, setting times, bonding, hardened mechanical strength and durability.
The present paper is based on the extensive testing of materials obtained from the Print ´n’ Build, 3DCONS and HINDCON projects. These materials can be described more precisely as mortars rather than as concrete, as concrete is supposed to contain aggregates that have a larger maximum size.
The mechanical properties can be divided into long-term and short-term properties.
Long-term properties refer the strength of the material once hardened; this is mainly characterised by the compression and the flexion strength after one, seven and 28 days using protocols that are employed widely in the construction industry, according to standard EN 1015-11. In these regards, the properties of 3D-printable concrete do not differ significantly from the properties of regular cementitious materials.
Short-term properties refer to the mechanical properties displayed in the first few hours, in which the material must first hold its own weight, then absorb the weight of the subsequent layers. In order to maintain the shape of the structure, experience has proven that a target value of 2 kPa in shear resistance should be achieved. The strength acquisition over time during the first few hours depends on the processing scenario, including the geometry of the item being printed, the speed of processing and so forth. Tests are not a definitive answer.
Many of the measurements of strength acquisition were obtained from samples produced in the laboratory; others were obtained directly from the 3D printer (Figure 9).
In both cases, the procedure aims to reproduce the conditions in an actual 3D-printing system, as follows:
  • The mortar is prepared in batches of one to two litres in standard laboratory concrete mixers.
  • The material is left to rest for 10 min.
  • The nozzle additives are added and incorporated using a mild mixing stage to emulate the conditions in the extrusion nozzle (30 s of mixing at a low speed).
The “t = 0” reference, which is extremely important for characterisation in the early stages, is set as the instant at which the nozzle additive is added to the mix (before 30 s of secondary mixing).
There is no guarantee that this procedure safely reproduces the conditions in the extruder. This is particularly critical in the shortest time range when sensitivity to mixing and processing is more acute.
The choice of setting the waiting time to a fixed value of 10 min is also likely to have some impacts. A batch that has had more time to mature prior to the addition of the accelerator is likely to display a faster strength acquisition than relatively recent batches tested via the standard method. Both of these factors will be the subject of further scrutiny in the future.
Special protocols were needed to determine the short-term strength acquisition (in the first few hours), as few standards to assess performance at these levels of strength and maturity exist. Two methods were employed:
  • A scissometer, or shear vane, was used to measure the material in the earliest stages. A cross-shaped pin is inserted into the mortar. The operator rotates it manually until the torque is sufficient to shear a cylindrical portion of the material from the bulk. The maximum torque is measured by an apparatus, and the maximum shear stress can be assessed.
  • A special compression test was developed for slightly more mature samples. Cubes of 5 × 5 × 5 cm were prepared using fresh concrete, and were tested using a low-force press. The device and the method of sample preparation allowed for the measurement of compression strength values as low as 10 kPa for maturities as short as 15 min. The system also allowed for the large displacement (greater than 10%) necessary for characterising the material, while it still exhibits highly plastic behaviour.
Each test has specific advantages and time frames for use. Shear testing is a robust field test that can be adapted for onsite testing, and it provides almost immediate results. However, it has limited precision and can prove to be operator dependant; moreover, it is not optimal when the shear resistance exceeds 100 kPa.
Compression testing is more precise and is not limited in terms of the higher ranges of resistance, but it cannot provide results for very short time ranges (sample preparation takes at least 15 min), or if the material is not sufficiently solid to form well-defined cubes (below 10 kPa in compression strength). The data are also not directly comparable, as one set is measured in terms of shear, and the other in terms of compression. However, the range of both techniques overlaps in a sufficiently wide range to allow for extrapolation to the compression strength in the short-term range, and to shear resistance in the long term (Figure 10).
The ‘pull-off’ adhesion test is a tension test that is conducted in the laboratory. It involves printing the mortar onto the surface of a large-format brick and using epoxy resin to glue several metal discs to this layer of impression material; tensile force is then applied to the discs once the time needed for the resin or adhesive material to harden has elapsed.
The test is carried out with two main objectives: the first is to estimate the surface resistance of the impression material, and the other is to evaluate the strength of the connection between the impression material and the support; in this case, ceramic.
The general procedure followed in this trial can be summarised according to the following four phases:
  • Step 1: Marking and preparing the test area, which must be perfectly devoid of any residue that would prevent the good adhesion of the test disc.
  • Step 2: Cutting the test area to which the test disc will later be fixed using a diamond crown drill bit.
  • Step 3: Placing the disc on the surface of the impression material using an epoxy resin. This bonding material is highly resistant, sets quickly, and reaches tensile strength values of around 10 MPa when fully cured. Hardening usually takes two to five minutes.
  • Step 4: Execution of the pull-off test, in which the direct tension needed to be applied to the disc to detach it from the element to which it had been attached is quantified.
In general, the direct tension or adhesion stress can be obtained as the quotient between the maximum force obtained in the test and the area of the interface; this is correct if the fault occurs entirely in this zone. Peel strength and the failure pattern of the coating are important properties, and both parameters should be taken into account when evaluating the quality of the results of one of these tests, as well as to establish the general specifications of a project.
Failure between print layers indicates that the interface resistance is greater than the tensile strength between the layers. Failure within the impression material indicates that the bond strength is greater than is the tensile strength of the overlay material. Two important elements to consider are the magnitude of the failure with respect to the tensile strength of the material, and the preparation of the surface prior to the printing process.
The pull-off test determines the highest perpendicular (direct) tension that the surface can withstand before it is separated from the printing surface. Failure will occur along the weakest plane within the system consisting of the test equipment, the adhesive material, the impression material and the interface of the union with the support, leaving the fracture surface exposed.

3. Results

Figure 11 below shows the results of initial setting-time tests conducted via a Vicat apparatus (UNE-EN 196-3) [19] on one of the 3DCONS project mortars. The graph shows that the setting time increased in accordance with the water/cement-based material ratio (w/m). This finding, along with other parameters, may be applied to determine the most suitable ratio.
Freeze/thaw cycling is one of the durability tests that can be conducted on printing materials. The existence (or non-existence) of reinforcements that may be subject to corrosion determines the need for other tests, such as chloride ingress and carbonation resistance. Bonding after freeze/thaw cycles (see Figure 12) is another durability trial that may be advisable, depending on the expected use.
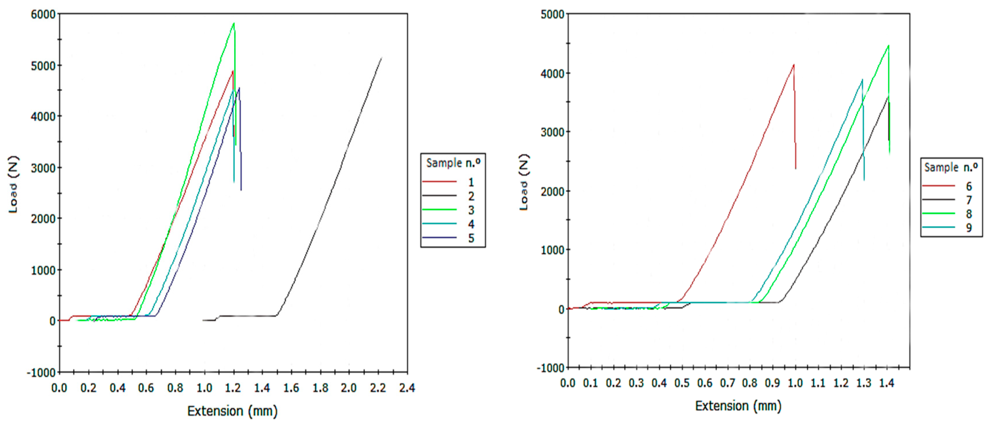
Figure 13 shows the results of tests to determine the strength of the bond to the substrate (ceramic in this case) in the 3DCONS project, in which a mean of 0.63 kN was recorded. At 4.57 kN, the mean inter-layer strength observed in the HINDCON project (Figure 14) was much greater. Although these findings refer to different materials and different types of bonding, the recommended values were attained in both cases.
The compressive and flexural strength tests consisted of two stages. In the first stage, the tests were conducted on specimens prepared using material mixed in the laboratory or sampled from the printer. In the second stage, the tests were conducted on the printed element itself. In the former, which is used to test for very early age strength, the values for later ages could not be determined. Nonetheless, a comparison of the findings for the laboratory mixes and printer samples would reveal whether extrusion affects strength.
The graphs in Figure 15 show the compressive strength development in ultra-high-performance concrete (UHPC) from 30 to 120 min, and Figure 16 for flexural/tensile strength development from 2 to 30 min. As the figures show, the strength increased in accordance with the temperature.
With regard to the graphs showing compressive and flexural strength in Figure 17, the HINDCON project material developed an initial compressive strength of over 60 MPa and a 28-day strength of nearly 100 MPa; these values were much higher than they were for the other two materials. The difference in flexural strength (Figure 18) was less.
The tests of the constituent materials should be followed by an assessment of the end product parameters, including the following (also see Figure 19):
  • Dimensions and tolerances: the length, width and height and their tolerances provided by the manufacturer are to be specified on the assessment sheet.
  • Thermal and acoustic insulation: compliance with the provisions for these parameters set out in existing legislation must be determined.
  • Fire resistance: the 3D-printed products should be assessed for this parameter and rated in accordance with the respective regulatory provisions.
  • Verification: depending on the 3D-printing process, it may be necessary to establish and verify the values of factors such as printing speed.
  • Impact resistance: depending on the use envisaged for the element, its impact resistance to soft and hard blows may need to be determined.
  • Mechanical strength of the printed element: the recommended values for the proposed use must be ensured.
The results of the mechanical strength tests conducted on a printed HINDCON piece, for which a compressive strength of 444.19 kN was recorded, are shown in Figure 20 and Figure 21. Although it was brittle, the element exhibited greater than standard stability during the test.
Figure 20 shows a finite element simulation of the thermal behaviour of a façade element. These tests are conducted with the aim of estimating the behaviour of the element and confirming that it meets the requirements before printing.
As noted earlier, the requirements to be met by AM products are determined by the envisaged use. By way of an example, residential façade elements are not assessed in the same manner as are plot enclosure elements. The former are subject to mechanical strength, thermal and acoustic requirements, whereas the latter may only need to comply with structural safety conditions.

4. Discussion

The first research question in this paper addressed how 3D-printing technologies that are not covered by any harmonised standard could be eligible for some type of marking to confirm quality and safety. The first conclusion to be drawn is that, inasmuch as 3D-printing technologies are not covered by any harmonised standard, the products thereof are eligible for a Declaration of Performance (DoP) award and CE marking on the basis of the ETA criteria and an EAD. Although CE marking is not compulsory, it promotes the commercialisation of both innovative and conventional products.
The second research question was related to how 3D-printed objects could be assessed. The assessment of 3D-printed products is based mainly on the envisaged use and the technology involved (the printing system and materials). In other words, the assessment covers a given AM product for a particular use.
The third research question queried the parts of the production process and finished object that should be included in the assessment. If a material is developed specifically for the printing method, the material must also be assessed and be shown to meet the needs of the designed printing process. Such needs may be structural or of any other nature as laid down by the national legislation. Depending on the type of printing, factors such as printing speed, inter-layer bonding, material–substrate bonding, layer thickness and so on may also need to be assessed. This is a new technology; therefore, it requires the definition of processes from scratch, as well as the definition of the methods used to evaluate the results. However, the present tests and trials were based on current experience and testing methods.

5. Conclusions

Assessing AM 3D-printed products entails establishing a series of universal tests to ensure compliance with quality standards. The type of test to which each product is subject will depend on the application envisaged, the printing system employed, and the materials used. Three-dimensional printing (additive and subtractive manufacturing) is a novel technology; thus, it is not covered by existing standards. This is not an obstacle to proposing an assessment methodology to ensure the quality of such products. Some of the current standards can be used to evaluate the performance of the new materials, but it is not clear how these standards can be applied, thus requiring the development of an appropriate methodology, as well as new tests and procedures. There is a close relationship amongst materials, machines and design. Assessments should cover all the stages and processes involved, not simply the resulting products. The methods and results presented in this article are based on the experience of the authors in the development of three research projects involving 3D printing which, despite being a first step, indicate how much remains to be done.

Author Contributions

Conceptualization, G.S.O., J.A.M., N.O.E.O and J.A.T.R.; methodology, G.S.O. and J.A.T.R.; software, G.S.O. and J.A.M.; validation, J.A.T.R.; formal analysis, G.S.O.; investigation, G.S.O.; resources, J.A.T.R.; data curation, Sotorrio; writing—original draft preparation, Sotorrio and Olsson; writing—review and editing, G.S.O., J.A.M., N.O.E.O and J.A.T.R.; visualization, G.S.O. and J.A.M.; supervision, J.A.T.R.; project administration, G.S.O. and N.O.E.O.; funding acquisition, J.A.T.R. All authors have read and agreed to the published version of the manuscript.

Funding

This research has been partially funded by the European Commission under the Horizon 2020 Framework Programme, Grant Agreement No. 723611.

Acknowledgments

The authors would like to thank Hybrid INDustrial CONstruction through a 3D printing “all-in-one” machine for a large-scale, advanced manufacturing and building processes project.

Conflicts of Interest

The authors declare no conflict of interest.

References

  1. Buehler, M.; Buffet, P.; Castagnino, S. The Fourth Industrial Revolution Is about to Hit the Construction Industry. Here’s How It Can Thrive. Available online: https://www.weforum.org/agenda/2018/06/construction-industry-future-scenarios-labour-technology/ (accessed on 5 August 2020).
  2. Schwab, K. The Fourth Industrial Revolution; Crown Business: New York, NY, USA, 2017. [Google Scholar]
  3. Olsson, N.; Shafqat, A.; Arica, E.; Økland, A. 3D-Printing Technology in Construction: Results from a Survey. In Proceedings of the 10th Nordic Conference on Construction Economics and Organization, Tallinn, Estonia, 7–8 May 2019; Lill, E., Witt, E., Eds.; Emerald Publishing Limited: Bingley, UK, 2019; pp. 349–356. [Google Scholar] [CrossRef]
  4. World Economic Forum, Globalization 4.0: Shaping a New Global Architecture in the Age of the Fourth Industrial Revolution. Available online: https://www.weforum.org/whitepapers/globalization-4-0-shaping-a-new-global-architecture-in-the-age-of-the-fourth-industrial-revolution (accessed on 5 July 2020).
  5. Schwab, K. Globalization 4.0: A New Architecture for the Fourth Industrial Revolution. 2019. Available online: https://www.foreignaffairs.com/articles/world/2019-01-16/globalization-40 (accessed on 5 July 2020).
  6. Schwab, K.; Davis, N. Shaping the Future of the Fourth Industrial Revolution; Currency: New York, NY, USA, 2018; pp. 1–267. [Google Scholar]
  7. Karunakaran, K.; Suryakumar, S.; Pushpa, V.; Akula, S. Low cost integration of additive and subtractive processes for hybrid layered manufacturing. Robot. Comput. Integr. Manuf. 2010, 26, 490–499. [Google Scholar] [CrossRef]
  8. Bikas, H.; Stavropoulos, P.; Chryssolouris, G. Additive manufacturing methods and modelling approaches: A critical review. Int. J. Adv. Manuf. Technol. 2016, 83, 389–405. [Google Scholar] [CrossRef]
  9. Paris, H.; Mandil, G. Process planning for combined additive and subtractive manufacturing technologies in a remanufacturing context. J. Manuf. Syst. 2017, 44, 243–254. [Google Scholar] [CrossRef]
  10. UK National Strategy for Additive Manufacturing, Update Report 2. What Did the Initial Evidence Reveal? UK National Strategy for Additive Manufacturing: Coventry, UK, 2015. Available online: http://www.amnationalstrategy.uk/wp-content/uploads/2015/05/UK-AM-National-Strategy-Update-Report-2.2.pdf (accessed on 5 July 2020).
  11. Jayathilakage, R.; Sanjayan, J.; Rajeev, P. Direct shear test for the assessment of rheological parameters of concrete for 3D printing applications. Mater. Struct. 2019, 52, 12. [Google Scholar] [CrossRef]
  12. Wolfs, R.; Bos, F.; Salet, T. Early age mechanical behaviour of 3D printed concrete: Numerical modelling and experimental testing. Cem. Concr. Res. 2018, 106, 103–116. [Google Scholar] [CrossRef]
  13. Jayathilakage, R.; Rajeev, P.; Sanjayan, J. Yield stress criteria to assess the buildability of 3D concrete printing. Constr. Build. Mater. 2020, 240, 117989. [Google Scholar] [CrossRef]
  14. OECD. The Measurement of Scientific and Technological Activities. Oslo Manual, OECD Eurostat Paris. Available online: https://www.oecd.org/science/oslo-manual-2018-9789264304604-en.htm (accessed on 5 July 2020).
  15. UEAtc. The European Union for Technical Approval in Construction. Available online: https://www.ueatc.eu (accessed on 9 August 2020).
  16. Bos, F.; Wolfs, R.; Ahmed, Z.; Salet, T. Additive manufacturing of concrete in construction: Potentials and challenges of 3D concrete printing. Virtual Phys. Prototyp. 2016, 11, 209–225. [Google Scholar] [CrossRef]
  17. Gosselin, C.; Duballet, R.; Roux, P.; Gaudillière, N.; Dirrenberger, J.; Morel, P. Large-scale 3D printing of ultra-high performance concrete–a new processing route for architects and builders. Mater. Des. 2016, 100, 102–109. [Google Scholar] [CrossRef]
  18. Lim, S.; Buswell, R.; Le, T.; Wackrow, R.; Austin, S.; Gibb, A.; Thorpe, T. Development of a viable concrete printing process. In Proceedings of the 28th International Symposium on Automation and Robotics in Construction (ISARC2011), Seoul, Korea, 29 June–2 July 2011; pp. 665–670. [Google Scholar] [CrossRef]
  19. UNE-EN196-3. Methods of Testing Cement—Part 3: Determination of Setting Times and Soundness; UNE—Asociación Española de Normalización: Madrid, Spain, 2017. [Google Scholar]
Figure 1. European Technical Assessment (ETA) and European Assessment Document (EAD).
Figure 1. European Technical Assessment (ETA) and European Assessment Document (EAD).
Buildings 10 00144 g001
Figure 2. Illustrative flowchart for ETA.
Figure 2. Illustrative flowchart for ETA.
Buildings 10 00144 g002
Figure 3. Vertical printing test with material developed within the 3DCONS project.
Figure 3. Vertical printing test with material developed within the 3DCONS project.
Buildings 10 00144 g003
Figure 4. Relationship of design, materials and machines.
Figure 4. Relationship of design, materials and machines.
Buildings 10 00144 g004
Figure 5. Print ‘n’ Build project printer.
Figure 5. Print ‘n’ Build project printer.
Buildings 10 00144 g005
Figure 6. HINDCON project ‘all-in-one’ printer; (a) additive system and (b) subtractive system.
Figure 6. HINDCON project ‘all-in-one’ printer; (a) additive system and (b) subtractive system.
Buildings 10 00144 g006
Figure 7. HINDCON model for a 3D-printed column by Atanga.
Figure 7. HINDCON model for a 3D-printed column by Atanga.
Buildings 10 00144 g007
Figure 8. HINDCON product analysis.
Figure 8. HINDCON product analysis.
Buildings 10 00144 g008
Figure 9. HINDCON project; (a) taking samples and (b) material samples.
Figure 9. HINDCON project; (a) taking samples and (b) material samples.
Buildings 10 00144 g009
Figure 10. Schematic of the young age characterisation procedure.
Figure 10. Schematic of the young age characterisation procedure.
Buildings 10 00144 g010
Figure 11. Results of the initial setting-time test for 3DCONS project mortars.
Figure 11. Results of the initial setting-time test for 3DCONS project mortars.
Buildings 10 00144 g011
Figure 12. Pull-off adhesion test between layers (left) and to the substrate (right); HINDCON and 3DCONS projects.
Figure 12. Pull-off adhesion test between layers (left) and to the substrate (right); HINDCON and 3DCONS projects.
Buildings 10 00144 g012
Figure 13. Results of the material-substrate pull-off adhesion tests: 3DCONS project.
Figure 13. Results of the material-substrate pull-off adhesion tests: 3DCONS project.
Buildings 10 00144 g013
Figure 14. Results of the inter-layer pull-off adhesion tests: HINDCON project (sample 1–5 (left) and 6–9 (right)).
Figure 14. Results of the inter-layer pull-off adhesion tests: HINDCON project (sample 1–5 (left) and 6–9 (right)).
Buildings 10 00144 g014
Figure 15. Early age compressive strength at 10, 20 and 30 °C (HINDCON project).
Figure 15. Early age compressive strength at 10, 20 and 30 °C (HINDCON project).
Buildings 10 00144 g015
Figure 16. Early age flexural strength at 10, 20 and 30 °C (HINDCON project).
Figure 16. Early age flexural strength at 10, 20 and 30 °C (HINDCON project).
Buildings 10 00144 g016
Figure 17. Compressive strength of Print ‘n’ Build, 3DCONS and HINDCON mortars.
Figure 17. Compressive strength of Print ‘n’ Build, 3DCONS and HINDCON mortars.
Buildings 10 00144 g017
Figure 18. Flexural strength of Print ’n’ Build, 3DCONS and HINDCON mortars.
Figure 18. Flexural strength of Print ’n’ Build, 3DCONS and HINDCON mortars.
Buildings 10 00144 g018
Figure 19. Structure of assessment.
Figure 19. Structure of assessment.
Buildings 10 00144 g019
Figure 20. Finite element simulation of the thermal behaviour of a façade element.
Figure 20. Finite element simulation of the thermal behaviour of a façade element.
Buildings 10 00144 g020
Figure 21. Mechanical testing of a HINDCON project 3D-printed element.
Figure 21. Mechanical testing of a HINDCON project 3D-printed element.
Buildings 10 00144 g021

Share and Cite

MDPI and ACS Style

Sotorrío Ortega, G.; Alonso Madrid, J.; Olsson, N.O.E.; Tenorio Ríos, J.A. The Application of 3D-Printing Techniques in the Manufacturing of Cement-Based Construction Products and Experiences Based on the Assessment of Such Products. Buildings 2020, 10, 144. https://doi.org/10.3390/buildings10090144

AMA Style

Sotorrío Ortega G, Alonso Madrid J, Olsson NOE, Tenorio Ríos JA. The Application of 3D-Printing Techniques in the Manufacturing of Cement-Based Construction Products and Experiences Based on the Assessment of Such Products. Buildings. 2020; 10(9):144. https://doi.org/10.3390/buildings10090144

Chicago/Turabian Style

Sotorrío Ortega, Guillermo, Javier Alonso Madrid, Nils O. E. Olsson, and José Antonio Tenorio Ríos. 2020. "The Application of 3D-Printing Techniques in the Manufacturing of Cement-Based Construction Products and Experiences Based on the Assessment of Such Products" Buildings 10, no. 9: 144. https://doi.org/10.3390/buildings10090144

APA Style

Sotorrío Ortega, G., Alonso Madrid, J., Olsson, N. O. E., & Tenorio Ríos, J. A. (2020). The Application of 3D-Printing Techniques in the Manufacturing of Cement-Based Construction Products and Experiences Based on the Assessment of Such Products. Buildings, 10(9), 144. https://doi.org/10.3390/buildings10090144

Note that from the first issue of 2016, this journal uses article numbers instead of page numbers. See further details here.

Article Metrics

Back to TopTop