The Energy Cost of Cold Thermal Discomfort in the Global South
Abstract
1. Introduction
Thermal Comfort in the Global South
2. Methods
2.1. Thermal Comfort Data for the Global South
2.2. Comfort Temperatures
2.3. Building Energy Simulation
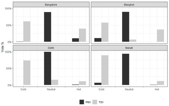
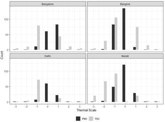
3. Results
4. Discussion
5. Conclusions
Author Contributions
Funding
Conflicts of Interest
References
- Programme UND. Forging a Global South: United Nations Day for South-South Cooperation, 19 December 2004; United Nations Development Programme: New York, NY, USA, 2004. [Google Scholar]
- Westphal, M.I.; Martin, S.; Zhou, L.; Satterthwaite, D. Powering cities in the global South: How energy access for all benefits the economy and the environment. World Resour. Report 2017, 1, 4–24. [Google Scholar]
- IEA. World Energy Outlook 2014: Executive Summary; OECD/IEA Paris, FRA: Paris, France, 2014. [Google Scholar]
- IEA. The Future of cooling. Opportunities for energy-efficient air conditioning. Int. Energy Agency 2018, 90. Available online: www.iea.org (accessed on 12 November 2019).
- Change, IC. Synthesis Report Summary Chapter for Policymakers; IPCC: Geneva, Switzerland, 2014; p. 31. [Google Scholar]
- Yang, W.; Nyuk, H.; Wong, J.Z. Overcooling And Thermal Comfort In Air Conditioned University Buildings In Singapore. Indoor Air 2014-13th Int. Conf. Indoor Air Qual. Climat. 2016, 554, 1–6. [Google Scholar]
- Derrible, S.; Reeder, M. The cost of over-cooling commercial buildings in the United States. Energy Build. 2015, 108, 304–306. [Google Scholar] [CrossRef]
- Sekhar, S.C. Thermal comfort in air-conditioned buildings in hot and humid climates-why are we not getting it right? Indoor Air 2016, 26, 138–152. [Google Scholar] [CrossRef]
- Cena, K.; De Dear, R. Thermal comfort and behavioural strategies in office buildings located in a hot-arid climate. J. Ther. Biol. 2001, 26, 409–414. [Google Scholar] [CrossRef]
- Indraganti, M. Using the adaptive model of thermal comfort for obtaining indoor neutral temperature: Findings from a field study in Hyderabad, India. Build. Environ. 2010, 45, 519–536. [Google Scholar] [CrossRef]
- Nicol, F. Adaptive thermal comfort standards in the hot-humid tropics. Energy Build. 2004, 36, 628–637. [Google Scholar] [CrossRef]
- American Society of Heating, Refrigerating and Air Conditioning Engineers. Standard 55-2010, Thermal Environmental Conditions for Human Occupancy; ASHRAE: Atlanta, GA, USA, 2010. [Google Scholar]
- ISO. BS EN ISO 7730: 2005: Ergonomics of the Thermal Environment. Analytical Determination and Interpretation of Thermal Comfort Using Calculation of the PMV and PPD Indices and Local Thermal Comfort Criteria; International Standards Organization Geneva: Vernier, Switzerland, 2005. [Google Scholar]
- CEN. EN 15251: Indoor Environmental input Parameters for Design and Assessment of Energy Performance of Buildings Addressing Indoor Air Quality, Thermal Environment, Lighting and Acoustics; Thermal Environment, Lighting and Acoustics, CEN: Brussels, Belgium, 2007. [Google Scholar]
- CIBSE. Environmental Design : CIBSE Guide A, 8th ed; CIBSE: London, UK, 2015. [Google Scholar]
- EN EUS. 16798-1: 2019. Energy Performance of Buildings—Ventilation for Buildings—Part. 2019, 1; CEN: Brussels, Belgium, 2019. [Google Scholar]
- Oseland, N.A.; Reardon, J.; Langkilde, G. Acceptable temperature ranges in naturally ventilated and air-conditioned offices/Discussion. Ashrae Trans. 1998, 104, 1018. [Google Scholar]
- Baker, N.; Standeven, M. A behavioural approach to thermal comfort assessment in naturally ventilated buildings. In Proceedings of the CIBSE National Conference, Eastbourne UK, 1–3 October 1995; pp. 76–84. [Google Scholar]
- Humphreys, M.A. Understanding the Adaptive Approach to Thermal Comfort. In Proceedings of the ASHRAE 1998 Annual Meeting-Toronto, Toronto, ON, USA, 17–21 January 1998; pp. 991–1004. [Google Scholar]
- Griffiths, ID. Thermal Comfort in Buildings with Passive Solar Features: Field Studies; The Publications Office of the European Union: Brussels, Belgium, 1991; EUR 13431 EN. [Google Scholar]
- Nicol, F.; Jamy, G.N.; Sykes, O.; Humphreys, M.; Roaf, S.; Hancock, M. A Survey of Thermal Comfort in Pakistan toward New Indoor Temperature Standards; Final Report to the Overseas Development, Administration Published by Oxford Brookes University, School of Architecture: Oxford, UK, 1994. [Google Scholar]
- Nicol, F.; Roaf, S. Pioneering new indoor temperature standards: The Pakistan project. Energy Build. 1996, 23, 169–174. [Google Scholar] [CrossRef]
- Brager, G.S.; De Dear, R.J. Thermal adaptation in the built environment: A literature review. Energy Build. 1998, 27, 83–96. [Google Scholar] [CrossRef]
- Taleghani, M.; Tenpierik, M.; Kurvers, S.; Van Den Dobbelsteen, A. A review into thermal comfort in buildings. Renew. Sustain. Energy Rev. 2013, 26, 201–215. [Google Scholar] [CrossRef]
- Yang, L.; Yan, H.; Lam, J.C. Thermal comfort and building energy consumption implications-A review. Appl. Energy 2014, 115, 164–173. [Google Scholar] [CrossRef]
- Olesen, B.W.; Parsons, K.C. Introduction to thermal comfort standards and to the proposed new version of EN ISO 7730. Energy Build. 2002, 34, 537–548. [Google Scholar] [CrossRef]
- Fanger, P.O. Thermal Comfort: Analysis and Applications in Environmental Engineering; Danish Technical Press: København, Denmark, 1970. [Google Scholar]
- Spagnolo, J.; de Dear, R. A field study of thermal comfort in outdoor and semi-outdoor environments in subtropical Sydney Australia. Build. Environ. 2003, 38, 721–738. [Google Scholar] [CrossRef]
- Cena, K.; de Dear, R. Feild Study of Occupant Comfort and Office Thermal Environments in a Hot-Arid Climate. In Final Report-ASHRAE RP-921; ASHRAE Inc.: Atlanta, GA, USA, 1998; Volume 4293. [Google Scholar]
- De Dear, R.; Fountain, M. Field Experiments On Occupant Comfort And Office Thermal Environments In A Hot-Humid Climate; UC Berkeley: Berkeley, CA, USA, 1994. [Google Scholar]
- Paliaga, G.; Zhang, H.; Hoyt, T.; Arens, E. Surprisingly Straightforward Solution: Eliminating Overcooling Discomfort While Saving Energy. ASHRAE J. 2019, 61, 14–28. [Google Scholar]
- Yan, D.; Jiang, Y.; Shi, X. Influence of asynchronous demand behavior on overcooling in multiple zone AC systems. Build. Environ. 2016, 110, 65–75. [Google Scholar]
- Földváry Ličina, V.; Cheung, T.; Zhang, H.; de Dear, R.; Parkinson, T.; Arens, E. Development of the ASHRAE Global Thermal Comfort Database II. Build. Environ. 2018, 142, 502–512. [Google Scholar] [CrossRef]
- Wang, Z.; Luo, M.; Zhang, H.; He, Y.; Jin, L.; Arens, E. Reducing Building Over-Cooling by Adjusting HVAC Supply Airflow Setpoints and Providing Personal Comfort Systems; UC Berkeley: Berkeley, CA, USA, 2018. [Google Scholar]
- Brager, G.; Arens, E. Creating high performance buildings: Lower energy, better comfort. In AIP Conference Proceedings; American Institute of Physics: College Park, MD, USA, 2015; pp. 58–69. [Google Scholar]
- Chen, A.; Chang, V.W.-C. Human health and thermal comfort of office workers in Singapore. Build. Environ. 2012, 58, 172–178. [Google Scholar] [CrossRef]
- Damiati, S.A.; Zaki, S.A.; Wonorahardjo, S.; Wong, N.H.; Rijal, H.B. Comfort Temperature in Air Conditioned Office Buildings: Case Study of Indonesia And Singapore. In Proceedings of the Malaysia-Japan Joint International Conference 2015 (MJJIC2015), Yamaguchi, Japan, 13–15 November 2015. [Google Scholar]
- Andamon, M.M. Thermal comfort and building energy consumption in the Philippine context. In Proceedings of the PLEA 2006-23rd International Conference on Passive and Low Energy Architecture, Geneva, Switzerland, 6–8 September 2006. [Google Scholar]
- Bush, J.F. A tale of two populations: Thermal comfort in air-conditioned and naturally ventilated offices in Thailand. Energy Build. 1992, 18, 235–249. [Google Scholar] [CrossRef]
- Manu, S.; Shukla, Y.; Rawal, R.; Thomas, L.E.; de Dear, R. Field studies of thermal comfort across multiple climate zones for the subcontinent: India Model for Adaptive Comfort (IMAC). Build. Environ. 2016, 98, 55–70. [Google Scholar] [CrossRef]
- Indraganti, M.; Ooka, R.; Rijal, H.B.; Brager, G.S. Adaptive model of thermal comfort for offices in hot and humid climates of India. Build. Environ. 2014, 74, 39–53. [Google Scholar] [CrossRef]
- Honnekeri, A.; Brager, G.; Dhaka, S.; Mathur, J. Comfort and Adaptation in Mixed-Mode Buildings in a hot-Dry Climate; UC Berkeley: Berkeley, CA, USA, 2014. [Google Scholar]
- Rijal, H.B.; Yoshida, H.; Umemiya, N. Seasonal and regional differences in neutral temperatures in Nepalese traditional vernacular houses. Build. Environ. 2010, 45, 2743–2753. [Google Scholar] [CrossRef]
- Baker, N.; Standeven, M. A behavioural approach to thermal comfort assessment. Int. J. Solar Energy 1997, 19, 21–35. [Google Scholar] [CrossRef]
- DOE. EnergyPlus|EnergyPlus [Internet]. 2019. Available online: https://energyplus.net/ (accessed on 3 December 2019).
- Deru, M.; Field, K.; Studer, D.; Benne, K.; Griffith, B.; Torcellini, P. US Department of Energy Commercial Reference Building Models of the National Building Stock; National Renewable Energy Laboratory: Golden, CO, USA, 2011. [Google Scholar]
- Herrera, M.; Natarajan, S.; Coley, D.A.; Kershaw, T.; Ramallo-González, A.P.; Eames, M. A review of current and future weather data for building simulation. Build. Serv. Eng. Res. Technol. 2017, 38, 602–627. [Google Scholar] [CrossRef]
- Ruegg, R.; Marshall, H. Building Economics: Theory and Practice; Springer Science & Business Media: Berlin, Germany, 2013. [Google Scholar]
- Fuller, S. Life-cycle Cost Analysis (LCCA); Whole building design guide; NIST: Gaithersburg, MD, USA, 2010. [Google Scholar]
- USGBC. Sustainable Building Technical Manual: Green Building Design Construction adn Operations; John Wiley & Sons: Hoboken, NJ, USA, 2012; Volume 240, pp. 703–988. [Google Scholar]
- Alker, J.; Malanca, M.; Pottage, C.; O’Brien, R.; Akhras, D.; Ambrose, B.; Health, Wellbeing and Productivity in Offices. World Green Building Council. 2015. Available online: http://www.worldgbc.org/activities/health-wellbeing-productivity-offices/research (accessed on 30 March 2020).






| Design Element | Specification/Value | Source |
|---|---|---|
| Floor Area (m2) | 4982 | EIA 2005 |
| Aspect Ratio | 1.5 | EIA 2005 |
| No. of Floors | 3 | EIA 2005 |
| Floor to Ceiling Height (m) | 2.74 | EIA 2005 |
| Glazing Fraction | 0.33 | EIA 2005 |
| Occupancy | 18.6 m2/person | ASHRAE 2004b |
| Wall Construction (U-Value) | steel frame (0.704 Wm−2K−1) | ASHRAE 90.1-2004 |
| Roof Construction (U-Value) | insulation above deck (0.363 Wm−2K−1) | ASHRAE 90.1-2004 |
| Window Overall (U-Value) | fixed window (4.652 Wm−2K−1) | ASHRAE 90.1-2004 |
| Heating System | furnace | ASHRAE 90.1-2004 |
| Cooling System | packaged air-conditioning unit | ASHRAE 90.1-2004 |
| Air Distribution | multizone variable air volume | ASHRAE 90.1-2004 |
| Outside Air Requirement | 20 cfm/person | ASHRAE 1999 |
| Operation profiles | ||
| Lighting | lighting power density 8.5 Wm−2 | ASHRAE 90.1-2004 |
| Cooling | Auto-sized to design day | ASHRAE 90.1-2004 |
| Setpoint temperatures | Cooling only, variable per simulation |
| Location + Köppen Geiger Climate Class | Sample Size † | TSV | PMV | ∆PMV-TSV | Ta (°C) | |
|---|---|---|---|---|---|---|
| Bangalore Tropical wet savanna (Aw) | 154 (413) | Max | 3.00 | 1.50 | −1.50 | 26.9 |
| Mean | −0.21 | 0.39 | 0.60 | 24.7 | ||
| St. Dev. | 1.37 | 0.52 | −0.85 | 1.1 | ||
| Min | −3.00 | −1.00 | 2.00 | 22.1 | ||
| Bangkok Tropical wet savanna (Aw) | 228 (384) | Max | 2.00 | 0.87 | −1.13 | 26.9 |
| Mean | −0.31 | −0.32 | −0.01 | 23.6 | ||
| St. Dev. | 1.25 | 0.53 | −0.72 | 1.4 | ||
| Min | −3.00 | −2.04 | 0.96 | 20.5 | ||
| Delhi Monsoon-influenced humid subtropical (Cwa) | 89 (430) | Max | 1.00 | 1.10 | 0.10 | 24.8 |
| Mean | −0.72 | 0.15 | 0.87 | 23.6 | ||
| St. Dev. | 0.71 | 0.41 | −0.30 | 0.6 | ||
| Min | −2.00 | −0.80 | 1.20 | 22.5 | ||
| Makati Tropical wet savanna (Aw) | 202 (275) | Max | 2.00 | 1.00 | −1.00 | 27.5 |
| Mean | −1.29 | −0.12 | 1.17 | 23.7 | ||
| St. Dev. | 1.08 | 0.53 | −0.55 | 1.1 | ||
| Min | −3.00 | −1.50 | 1.50 | 20.9 |
| Location | Observed Ta (°C) | Proposed Tc (°C) | ∆T (°C) | ∆T (%) |
|---|---|---|---|---|
| Bangalore | 24.7 | 25.5 | 0.8 | 3.2% |
| Bangkok | 23.6 | 24.5 | 0.9 | 3.8% |
| Makati | 23.7 | 26.4 | 2.7 | 11.4% |
| Delhi | 23.6 | 26.5 | 2.9 | 12.3% |
© 2020 by the authors. Licensee MDPI, Basel, Switzerland. This article is an open access article distributed under the terms and conditions of the Creative Commons Attribution (CC BY) license (http://creativecommons.org/licenses/by/4.0/).
Share and Cite
Alnuaimi, A.N.; Natarajan, S. The Energy Cost of Cold Thermal Discomfort in the Global South. Buildings 2020, 10, 93. https://doi.org/10.3390/buildings10050093
Alnuaimi AN, Natarajan S. The Energy Cost of Cold Thermal Discomfort in the Global South. Buildings. 2020; 10(5):93. https://doi.org/10.3390/buildings10050093
Chicago/Turabian StyleAlnuaimi, Abdulla N., and Sukumar Natarajan. 2020. "The Energy Cost of Cold Thermal Discomfort in the Global South" Buildings 10, no. 5: 93. https://doi.org/10.3390/buildings10050093
APA StyleAlnuaimi, A. N., & Natarajan, S. (2020). The Energy Cost of Cold Thermal Discomfort in the Global South. Buildings, 10(5), 93. https://doi.org/10.3390/buildings10050093
