Acoustic Design of Ancient Buildings: The Odea of Pompeii and Posillipo
Abstract
1. Introduction
2. The Odeon: The Origins
3. The Odeon of Pompeii
4. Odeon of the Posillipo Hill
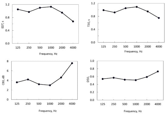
5. Acoustics Reconstruction
- EDT, Early Decay Time, measured in seconds, is the time corresponding to a decrease of 10 dB of the decay curve of the sound pressure level, measured from when the sound is interrupted; this parameter is particularly sensitive to microphone position related to the source and is a particularly significant parameter in comparing different points of the same environment.
- C80, clarity (dB), is a characteristic parameter of goodness of a hall for listening to music; it is a descriptor obtained from the correlation of energy that reaches the listener within the first 80 milliseconds of sound emission (including directed energy and early reflections energy) and the energy that reaches in the following instants.
- D50 is a characteristic parameter of goodness of a room for purposes of speech understanding; it is a descriptor that is obtained through the correlation of energy that reaches the point of reception in the first 50 milliseconds of sound emission and entire signal energy, that is until the end of its decay. Experimental results confirm that early reflection energy, adding to that of direct sound, gives a positive contribution to speech understanding.
- STI, Speech Transmission Index, represents the degree of amplitude modulation in a speech signal and refers to the distortion in speech signals caused by reverberation, echoes and background noise. The indices STI can take values between 0 and 1, being greater than 0.5 for favorable speech conditions. Table 2 shows a synthesis of the optimal acoustic parameters’ values for different listening conditions [41,42,43,44,45].
6. Conclusions
Author Contributions
Funding
Conflicts of Interest
References
- Forsyth, M. Buildings for Music: The Architect, the Musician, the Listener from the Seventeenth Century to the Present Day; The MIT Press: Cambridge, MA, USA, 1985. [Google Scholar]
- Sabine, W.C. Collected Papers on Acoustics; Cambridge Harvard University Press: Cambridge, MA, USA, 1923. [Google Scholar]
- Vitruvio, M.P. De Architectura; Priestley and Weale: London, UK, 1826. [Google Scholar]
- Zanker, P. La città romana. Laterza; Laterza: Bari, Italy, 2013. [Google Scholar]
- Declercq, N.F.; Dekeyser, C.S.A. Acoustic diffraction effects at the Hellenistic amphitheater of Epidaurus: Seat rows responsible for the marvelous acoustics. J. Acoust. Soc. Am. 2007, 121, 2011–2022. [Google Scholar] [CrossRef] [PubMed]
- Lokki, T.; Southern, A.; Siltanen, S.; Savioja, L. Acoustics of Epidaurus–Studies with Room Acoustics Modelling Methods. Acta Acust. 2013, 99, 40–47. [Google Scholar] [CrossRef]
- Wiles, D. Greek Theatre Performance: An Introduction; Cambridge University Press: Cambridge, MA, USA, 2000. [Google Scholar]
- Wilson, P. The Greek Theatre and Festivals: Documentary Studies; Oxford University Press on Demand: Oxford, UK, 2007. [Google Scholar]
- Arnott, P. An Introduction to the Greek Theatre; Springer: Berlin/Heidelberg, Germany, 1991. [Google Scholar]
- Iannace, G.; Trematerra, A. The rediscovery of Benevento Roman Theatre Acoustics. J. Cult. Herit. 2014, 15, 698. [Google Scholar] [CrossRef]
- Canac, F. L’acoustique des Theatres Antiques: Ses Enseignements; Édition du Centre national de la recherche scientifique: Paris, French, 1967. [Google Scholar]
- Goussios, C.; Tsinikas, N.; Chourmouziadou, K.; Kalliris, G. The Roman odeion of Nicopolis: Observations of architectural elements affecting its acoustics. Measurements & calculations of acoustic indices. In Proceedings of the Acoustics of Ancient Theatres Conference, Patras, Greece, 18–21 September 2011. [Google Scholar]
- Karadedos, G.; Karampatzakis, P.; Zafranas, V. An approach into the acoustic evolution of ancient Odea. In Proceedings of the Acoustics of Ancient Theatres Conference, Patras, Greece, 18–21 September 2011. [Google Scholar]
- Rindel, J.H. Roman Theaters and the Revival of Their Acoustics in the ERATO Project. Acta Acust. 2013, 99, 21–29. [Google Scholar] [CrossRef]
- Vassilantonopoulos, S.L.; Mourjopoulos, J.N. A study of ancient Greek and Roman theater acoustics. Acta Acust. United Acust. 2003, 89, 123–136. [Google Scholar]
- Chourmouziadou, K.; Kang, J. Acoustic evolution of ancient Greek and Roman theatres. Appl. Acoust. 2008, 69, 514–529. [Google Scholar] [CrossRef]
- Hoekstra, N.; Nicolai, B.; Peeters, B.; Hak, C.C.J.M.; Wenmaekers, R. Project ancient acoustics part 2 of 4: Largescale acoustical measurements in the Odeon of Herodes Atticus and the theatres of Epidaurus and Argos. In Proceedings of the 23rd International Congress on Sound & Vibration (ICSV 2016), Athens, Greece, 10–14 July 2016. [Google Scholar]
- Wenmaekers, R.; Nicolai, B.; Hoekstra, N.; Hak, C.C.J.M. Project Ancient Acoustics part 4 of 4: Stage acoustics measured in the Odeon of Herodes Atticus and the theatre of Argos. In Proceedings of the 23rd International Congress on Sound & Vibration (ICSV 2016), Athens, Greece, 10–14 July 2016. [Google Scholar]
- Trainor, S. The Odeon of Pericles: A Tale of the First Athenian Music Hall, the Second Persian Invasion of Greece, Theatre Space in Fifth Century BCE Athens, and the Artifacts of an Empire. In Theatre Symposium; The University of Alabama Press: Tuscaloosa, AL, USA, 2016; Volume 24, pp. 21–40. [Google Scholar]
- Vassilantonopoulos, S.L.; Mourjopoulos, J.N. The acoustics of roofed ancient odeia: The case of Herodes Atticus Odeion. Acta Acust. United Acust. 2009, 95, 291–299. [Google Scholar] [CrossRef]
- Stiros, S.C.; Pytharouli, S.I. Archaeological evidence for a destructive earthquake in Patras, Greece. J. Seismol. 2014, 18, 687–693. [Google Scholar] [CrossRef][Green Version]
- Izenour, G.C. Theatre Design; McGraw-Hill: New York, NY, USA, 1977. [Google Scholar]
- Izenour, G.C. Roofed Theatres of Classical Antiquity Design; Yale University Press: New Haven, CT, USA; London, UK, 1992. [Google Scholar]
- Iannace, G.; Mazzoni, S. Vicende storiche e ricostruzione virtuale dell’acustica del theatrum tectum (o odeo) di Pompei. Dionysus Ex Mach. 2014, V, 159–179. [Google Scholar]
- Murolo, M. Il cosiddetto «Odeo» di Pompei ed il problema della sua copertura. RAAN 1959, XXXIV, 89–101. [Google Scholar]
- Mazzoni, S. Teatri romani: Immagini d’impero e d’attori e altre questioni, in Studi di Storia dello spettacolo. Omaggio a Siro Ferrone, a cura di Stefano Mazzoni, Firenze, Le Lettere; Academia: San Francisco, CA, USA, 2011; pp. 15–35. [Google Scholar]
- Berardi, U.; Iannace, G.; Maffei, L. Virtual reconstruction of the historical acoustics of the Odeon of Pompeii. J. Cult. Herit. 2016, 19, 555–566. [Google Scholar] [CrossRef]
- Trematerra, A.; Paternuostro, S.; Lombardi, I. (Virtual reconstruction and sound field simulation of the Odeon of Posillipo. In Proceedings of the 16th Conference on Applied Mathematics, APLIMAT 2017, Bratislava, Slovakia, 31 January–2 February 2017. [Google Scholar]
- Zeng, X.; Christensen, C.L.; Rindel, J.H. Practical methods to define scattering coefficients in a room acoustics computer model. Appl. Acoust. 2006, 67, 771–786. [Google Scholar] [CrossRef]
- Christensen, C.L. ODEON, Room Acoustics Software version 11 manual. Available online: https://odeon.dk/ (accessed on 1 December 2020).
- Rindel, J.H.; Gade, A.C.; Lisa, M. The virtual reconstruction of the ancient Roman concert hall in Aphrodisias. Turk. Proc. Inst. Acoust. 2006, 28, 316–323. [Google Scholar]
- Gade, A.C.; Lisa, M.; Lynge, C.; Rindel, J.H. Roman Theatre Acoustics; Comparison of acoustic measurement and simulation results from the Aspendos Theatre, Turkey. In Proceedings of the 18th International Congress on Acoustics, Kyoto, Japan, 4–9 April 2004. [Google Scholar]
- Berardi, U.; Iannace, G. The acoustic of Roman theatres in Southern Italy and some reflections for their modern uses. Appl. Acoust. 2020, 170, 107530. [Google Scholar] [CrossRef]
- Berardi, U.; Iannace, G.; Trematerra, A. The Acoustics of the Double Elliptical Vault of the Royal Palace of Caserta (Italy). Buildings 2017, 7, 18. [Google Scholar] [CrossRef]
- Berardi, U.; Iannace, G.; Ianniello, C. Acoustic intervention in a cultural heritage: The chapel of the Royal Palace in Caserta, Italy. Buildings 2016, 6, 1. [Google Scholar] [CrossRef]
- Trematerra, A.; Lombardi, I.; Iannace, G. Air dome acoustics. Can. Acoust. Acoust. Can. 2017, 45, 17–24. [Google Scholar]
- Berardi, U. Simulation of acoustical parameters in rectangular churches. J. Build. Perform. Simul. 2014, 7, 1–16. [Google Scholar] [CrossRef]
- Iannace, G.; Trematerra, A. The acoustic effects of the audience in the modern use the of ancient theatres. J. Teknol. 2018, 80, 147–155. [Google Scholar] [CrossRef]
- Iannace, G. Acoustic correction of monumental churches with ceramic material: The case of the Cathedral of Benevento (Italy). J. Low Freq. Noise Vib. Act. Control 2016, 35, 230–239. [Google Scholar] [CrossRef]
- Long, M. Architectural Acoustics, 2nd ed.; Academic Press: Cambridge, MA, USA, 2014. [Google Scholar]
- Barron, M. Auditorium Acoustics and Architectural Design; E&FN SPON: London, UK, 1993. [Google Scholar]
- Iannace, G.; Berardi, U.; De Rossi, F.; Mazza, S.; Trematerra, A.; Ciaburro, G. Acoustic enhancement of a modern church. Buildings 2019, 9, 83. [Google Scholar] [CrossRef]
- Iannace, G.; Ciaburro, G.; Trematerra, A. The acoustics of the holy family church in Salerno. Can. Acoust. 2020, 48, 25–31. [Google Scholar]
- Iannace, G.; Ciaburro, G.; Trematerra, A.; Foglia, C. Acoustic Correction of a Renaissance Period Hall. Can. Acoust. 2019, 47, 57–66. [Google Scholar]
- Farnetani, A.; Prodi, N.; Pompoli, R. On the acoustics of ancient Greek and Roman theaters. J. Acoust. Soc. Am. 2008, 124, 1557–1567. [Google Scholar] [CrossRef]
- Bo, E.; Astolfi, A.; Pellegrino, A.; Pelegrin-Garcia, D.; Puglisi, G.E.; Shtrepi, L.; Rychtarikova, M. The modern use of ancient theatres related to acoustic and lighting requirements: Stage design guidelines for the Greek theatre of Syracuse. Energy Build. 2015, 95, 106–115. [Google Scholar] [CrossRef]
- Shankland, R.S. Acoustics of Greek theatres. Phys. Today 1973, 26, 30–35. [Google Scholar] [CrossRef]
- Ciaburro, G.; Berardi, U.; Iannace, G.; Trematerra, A.; Puyana-Romero, V. The acoustics of ancient catacombs in Southern Italy. Build. Acoust. 2020. [Google Scholar] [CrossRef]



















| Elements | Frequency (Hz) | |||||
|---|---|---|---|---|---|---|
| 125 | 250 | 500 | 1k | 2k | 4k | |
| scene | 0.41 | 0.41 | 0.41 | 0.41 | 0.50 | 0.70 |
| orchestra | 0.05 | 0.06 | 0.10 | 0.11 | 0.12 | 0.14 |
| cavea | 0.30 | 0.28 | 0.28 | 0.28 | 0.28 | 0.28 |
| roof | 0.19 | 0.14 | 0.09 | 0.06 | 0.06 | 0.02 |
| Parameters | EDT, s | T30, s | C80, dB | D50 |
|---|---|---|---|---|
| Optimal values for musical performances | 1.8 < EDT < 2.6 | 1.6 < T30 < 2.2 | −2 < C80 < 2 | <0.5 |
| Optimal values for speech performances | 1.0 | 0.8 < T30 < 1.2 | >0.5 |
| Odeon | T30, s | C80, dB | STI | Cavea Diameter, m |
|---|---|---|---|---|
| Aosta | 6.0 | −5.3 | 0.36 | 60.0 |
| Aphrodisias | 4.0 | −4.2 | 0.38 | 45.6 |
| Pompeii | 2.2 | 2.0 | 0.50 | 35.0 |
| Posillipo | 1.0 | 3.0 | 0.60 | 18.0 |
Publisher’s Note: MDPI stays neutral with regard to jurisdictional claims in published maps and institutional affiliations. |
© 2020 by the authors. Licensee MDPI, Basel, Switzerland. This article is an open access article distributed under the terms and conditions of the Creative Commons Attribution (CC BY) license (http://creativecommons.org/licenses/by/4.0/).
Share and Cite
Ciaburro, G.; Iannace, G.; Lombardi, I.; Trematerra, A. Acoustic Design of Ancient Buildings: The Odea of Pompeii and Posillipo. Buildings 2020, 10, 224. https://doi.org/10.3390/buildings10120224
Ciaburro G, Iannace G, Lombardi I, Trematerra A. Acoustic Design of Ancient Buildings: The Odea of Pompeii and Posillipo. Buildings. 2020; 10(12):224. https://doi.org/10.3390/buildings10120224
Chicago/Turabian StyleCiaburro, Giuseppe, Gino Iannace, Ilaria Lombardi, and Amelia Trematerra. 2020. "Acoustic Design of Ancient Buildings: The Odea of Pompeii and Posillipo" Buildings 10, no. 12: 224. https://doi.org/10.3390/buildings10120224
APA StyleCiaburro, G., Iannace, G., Lombardi, I., & Trematerra, A. (2020). Acoustic Design of Ancient Buildings: The Odea of Pompeii and Posillipo. Buildings, 10(12), 224. https://doi.org/10.3390/buildings10120224

