On the Role of Hazard and Particle Failure Statistics on the Variation of Fracture Parameters of Ductile-Brittle Composites
Abstract
1. Introduction
2. Materials and Methods
2.1. Experiment
2.2. Computer Model
- The specimen fracture included two processes: the accumulation of cracked particles and the final coalescence of cracks. No void growth or particle-matrix decohesion was considered. As will be further seen, this assumption agrees with the experimental data obtained at room temperature. It is also corroborated by the literature data testifying that the sphericity of Si particles enhances the resistance to decohesion at the Al/Si interface [41].
- Both the particle sizes and positions within the matrix were chosen randomly in order to highlight the stochastic properties stemming from the probabilistic nature of the particle failure without interference from a possible non-uniform repartition (clustering) of the reinforcement.
- The particle failure was considered to be a random event with the probability depending on the stress on the particle. According to the experiment, no preexisting cracks were introduced. Thus, the modeling of the particle cleavage was based on the assumption of a probabilistic rule and consideration of the load transfer from the matrix to the reinforcement when the strain is increased.
- The criterion of crack connection was based on the requirement for the elastic energy stored around two cracks to be enough to create two free surfaces in the matrix and assure the energy dissipation by the plastic deformation accommodating the near-crack stresses. The model did not distinguish explicitly the effects of the stress triaxiality, global or intervoid necking, or shear banding.
3. Results
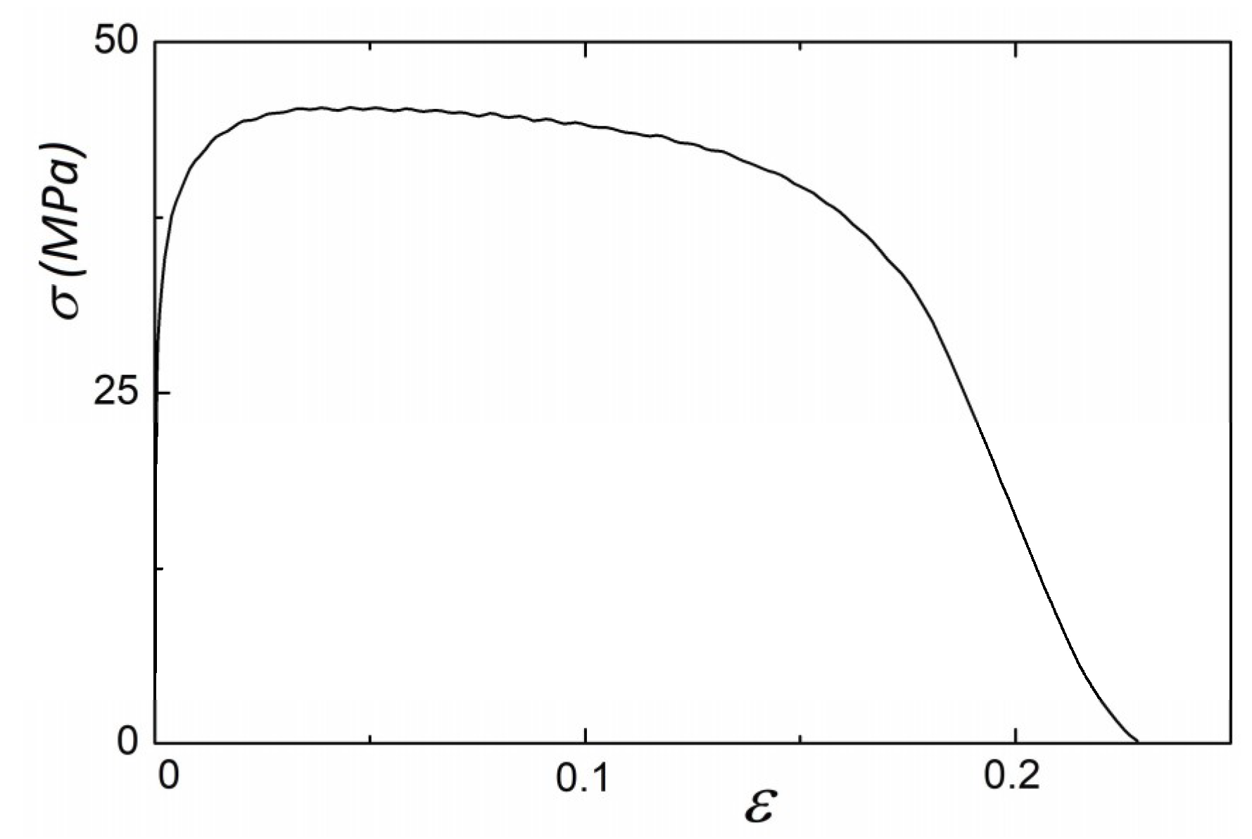
3.1. Experimental Evaluation of Deformation and Damage Accumulation Behavior
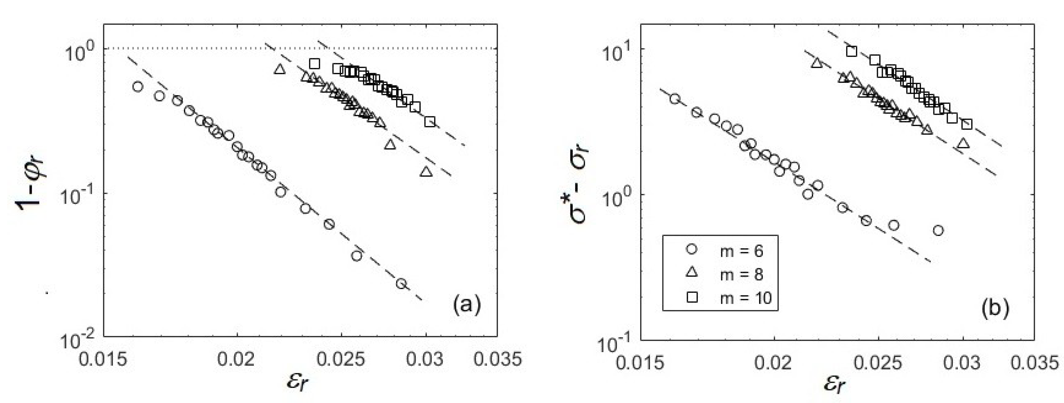
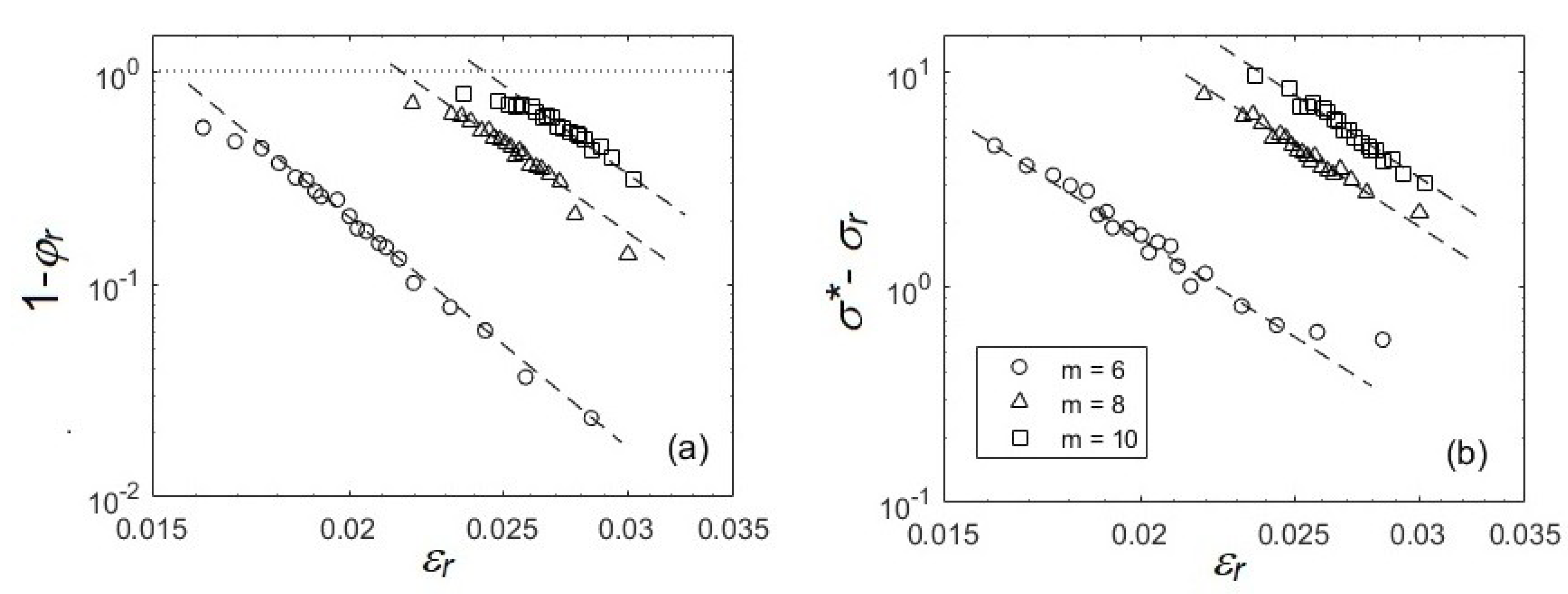
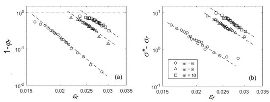
3.2. Results of Simulation
4. Discussion and Conclusions
Author Contributions
Funding
Acknowledgments
Conflicts of Interest
References
- Ashby, M.F.; Jones, D.R.H. Engineering Materials 2, An Introduction to Microstructure, Processing and Design, 1st ed.; Pergamon press: Oxford, UK, 1986. [Google Scholar]
- Pineau, A.; Benzerga, A.A.; Pardoen, T. Failure of metals I: Brittle and ductile fracture. Acta Mater. 2016, 107, 424–483. [Google Scholar] [CrossRef]
- Pineau, A.; Benzerga, A.A.; Pardoen, T. Failure of metals III: Fracture and fatigue of nanostructured metallic materials. Acta Mater. 2016, 107, 508–544. [Google Scholar] [CrossRef]
- Pardoen, T.; Dumont, D.; Deschamps, A.; Brechet, Y. Grain boundary versus transgranular ductile failure. J. Mech. Phys. Solids 2003, 51, 637–665. [Google Scholar] [CrossRef]
- Zhemchuzhnikova, D.; Lebyodkin, M.; Yuzbekova, D.; Lebedkina, T.; Mogucheva, A.; Kaibyshev, R. Interrelation between the Portevin—Le Chatelier effect and necking in AlMg alloys. Int. J. Plast. 2018, 110, 95–109. [Google Scholar] [CrossRef]
- McLellan, D.L. Modeling microstructural characteristics of Al-Si-Mg castings to develop product assurance. AFS Trans. 1982, 90, 173–191. [Google Scholar]
- Meyers, C.W. Solution Heat Treatment Effects on Ultimate Tensile Strength and Uniform Elongation in A357 Aluminum Alloys. AFS Trans. 1986, 94, 511–518. [Google Scholar]
- Moccelin, A.; Bréchet, Y.; Fougères, R. Fracture of an OspreyTM A1SiFe alloy: A microstructure based model for fracture of microheterogeneous materials. Acta Metall. Mater. 1995, 43, 1135–1140. [Google Scholar] [CrossRef]
- Lebyodkin, M.; Deschamps, A.; Bréchet, Y. Influence of second-phase morphology and topology on mechanical and fracture properties of Al-Si alloys. Mater. Sci. Eng. A 1997, 234–236, 481–484. [Google Scholar] [CrossRef]
- Asghar, Z.; Requena, G.; Boller, E. Three-dimensional rigid multiphase networks providing high-temperature strength to cast AlSi10Cu5Ni1-2 piston alloys. Acta Mater. 2011, 59, 6420–6432. [Google Scholar] [CrossRef]
- Asghar, Z.; Requena, G.; Zahid, G.H. Effect of thermally stable Cu- and Mg-rich aluminides on the high temperature strength of an AlSi12CuMgNi alloy. Mater. Charact. 2014, 88, 80–85. [Google Scholar] [CrossRef]
- Zamani, M.; Seifeddine, S.; Jarfors, A.E.W. High Temperature tensile deformation and failure mechanisms of an Al-Si-Cu-Mg cast alloy—The microstructural scale effect. Mater. Des. 2015, 86, 361–370. [Google Scholar] [CrossRef]
- Wang, M.; Pang, J.; Qiu, Y.; Liu, H.; Li, S.; Zhang, Z. Tensile Strength Evolution and Damage Mechanisms of Al–Si Piston Alloy at Different Temperatures. Adv. Eng. Mater. 2018, 20, 1700610. [Google Scholar] [CrossRef]
- Butcher, C.; Chen, Z.; Worswick, M. Integration of a particle-based homogenization theory into a general damage-based constitutive model to improve the modelling of void nucleation to coalescence. Acta Mech. 2013, 224, 139–156. [Google Scholar] [CrossRef]
- Tekoglu, C.; Hutchinson, J.W.; Pardoen, T. On localization and void coalescence as a precursor to ductile fracture. Philos. Trans. R. Soc. A Math. Phys. Eng. Sci. 2015, 373, 20140121. [Google Scholar] [CrossRef]
- Hannard, F.; Pardoen, T.; Maire, E.; Le Bourlot, C.; Mokso, R.; Simar, A. Characterization and micromechanical modelling of microstructural heterogeneity effects on ductile fracture of 6xxx aluminium alloys. Acta Mater. 2016, 103, 558–572. [Google Scholar] [CrossRef]
- Hannard, F.; Simar, A.; Maire, E.; Pardoen, T. Quantitative assessment of the impact of second phase particle arrangement on damage and fracture anisotropy. Acta Mater. 2018, 148, 456–466. [Google Scholar] [CrossRef]
- Kruglova, A.; Engstler, M.; Gaiselmann, G.; Stenzel, O.; Schmidt, V.; Roland, M.; Diebels, S.; Mücklich, F. 3D connectivity of eutectic Si as key property defining strength of Al-Si alloys. Comput. Mater. Sci. 2016, 120, 90–107. [Google Scholar] [CrossRef]
- Pathak, N.; Butcher, C.; Worswick, M.J.; Bellhouse, E.; Gao, J. Damage Evolution in Complex-Phase and Dual-Phase Steels during Edge Stretching. Materials 2017, 10, 346. [Google Scholar] [CrossRef] [PubMed]
- Bugelnig, K.; Germann, H.; Steffens, T.; Sket, F.; Adrien, J.; Maire, E.; Boller, E.; Requena, G. Revealing the effect of local connectivity of rigid phases during deformation at high temperature of cast AlSi12Cu4Ni(2,3)Mg alloys. Materials 2018, 11, 1300. [Google Scholar] [CrossRef]
- Bugelnig, K.; Sket, F.; Germann, H.; Steffens, T.; Koos, R.; Wilde, F.; Boller, E.; Requena, G. Influence of 3D connectivity of rigid phases on damage evolution during tensile deformation of an AlSi12Cu4Ni2 piston alloy. Mater. Sci. Eng. A 2018, 709, 193–202. [Google Scholar] [CrossRef]
- Ceschini, L.; Morri, A.; Toschi, S.; Bjurenstedt, A.; Seifeddine, S. Influence of sludge particles on the fatigue behavior of Al-Si-Cu secondary aluminium casting alloys. Metals 2018, 8, 268. [Google Scholar] [CrossRef]
- Rice, J.R. A Path Independent Integral and the Approximate Analysis of Strain Concentration by Notched and Cracks, J. Appl. Mech. 1968, 35, 379–386. [Google Scholar] [CrossRef]
- Gurson, A.L. Continuum Theory of Ductile Rupture by Void Nucleation and Growth: Part I–Yield Criteria and Flow Rules for Porous Ductile Media. J. Eng. Mater. Technol. 1977, 99, 2–15. [Google Scholar] [CrossRef]
- Needleman, A.; Tvergaard, V. An analysis of ductile rupture in notched bars. J. Mech. Phys. Solids 1984, 32, 461–490. [Google Scholar] [CrossRef]
- Thomason, P.F. Ductile fracture by the growth and coalescence of microvoids of non-uniform size and spacing. Acta Metall. Mater. 1993, 41, 2127–2134. [Google Scholar] [CrossRef]
- Huang, Y.; Chandra, A.; Li, N.Y. Void-nucleation vs void-growth controlled plastic flow localization in materials with nonuniform particle distributions. Int. J. Solids Struct. 1998, 35, 2475–2486. [Google Scholar] [CrossRef]
- Pardoen, T.; Hutchinson, J.W. An extended model for void growth and coalescence. J. Mech. Phys. Solids 2000, 48, 2467–2512. [Google Scholar] [CrossRef]
- Zhang, Z.L.; Thaulow, C.; Ødegård, J. A complete Gurson model approach for ductile fracture. Eng. Fract. Mech. 2000, 67, 155–168. [Google Scholar] [CrossRef]
- Besson, J. Continuum Models of Ductile Fracture: A Review. Int. J. Damage Mech. 2010, 19, 3–52. [Google Scholar] [CrossRef]
- Benzerga, A.A.; Leblond, J.B. Ductile fracture by void growth to coalescence. Adv. Appl. Mech. 2010, 44, 169–305. [Google Scholar] [CrossRef]
- Ogris, E.; Wahlen, A.; Lüchinger, H.; Uggowitzer, P.J. On the silicon spheroidization in Al-Si alloys. J. Light Met. 2002, 2, 263–269. [Google Scholar] [CrossRef]
- Hull, D.; Clyne, T.W. An Introduction to Composite Materials, 2nd ed.; Cambridge University Press: Cambridge, UK, 2003. [Google Scholar]
- Zhao, D.; Tuler, F.R.; Lloyd, D.J. Fracture at elevated temperatures in a particle reinforced composite. Acta Metall. Mater. 1994, 42, 2525–2533. [Google Scholar] [CrossRef]
- Martín-Meizoso, A.; Ocana-Arizcorreta, I.; Gil-Sevillano, J.; Fuentes-Pérez, M. Modelling cleavage fracture of bainitic steels. Acta Metall. Mater. 1994, 42, 2057–2068. [Google Scholar] [CrossRef]
- Godse, R.; Gurland, J. A statistical model for low temperature cleavage fracture in mild steels. Acta. Metall. 1989, 37, 541–548. [Google Scholar] [CrossRef]
- Whitehouse, A.F.; Clyne, T.W. Cavity formation during tensile straining of particulate and short fibre metal matrix composites. Acta Metall. Mater. 1993, 41, 1701–1711. [Google Scholar] [CrossRef]
- Chen, J.H.; Wang, G.Z.; Wang, H.J. A statistical model for cleavage fracture of low alloy steel. Acta Mater. 1996, 44, 3979–3989. [Google Scholar] [CrossRef]
- Worswick, M.J.; Chen, Z.T.; Pilkey, A.K.; Lloyd, D.; Court, S. Damage characterization and damage percolation modelling in aluminum alloy sheet. Acta Mater. 2001, 49, 2791–2803. [Google Scholar] [CrossRef]
- Babout, L.; Maire, E.; Fougères, R. Damage initiation in model metallic materials: X-ray tomography and modelling. Acta Mater. 2004, 52, 2475–2487. [Google Scholar] [CrossRef]
- Su, J.F.; Nie, X.Y.; Stoilov, V. Characterization of fracture and debonding of Si particles in AlSi alloys. Mater. Sci. Eng. A 2010, 527, 7168–7175. [Google Scholar] [CrossRef]
- Beremin, F.M. A Local Criterion for Cleavage Fracture of a Nuclear Pressure Vessel Steel. Metall. Mater. Trans. A 1983, 14, 2277–2287. [Google Scholar] [CrossRef]
- Weibull, W. A statistical theory of the strength of materials. Proc. R. Swed. Inst. Eng. Res. 1939, 151, 1–53. [Google Scholar]
- Lewis, C.A.; Withers, P.J. Weibull modeling of particle cracking in metal-matrix composites. Acta Metall. Mater. 1995, 43, 3685–3699. [Google Scholar] [CrossRef]
- Brechet, Y.; Embury, J.D.; Tao, S.; Luo, L. Damage initiation in metal matrix composites. Acta Metall. Mater. 1991, 39, 1781–1786. [Google Scholar] [CrossRef]
- Maire, E.; Wilkinson, D.S.; Embury, J.D.; Fougères, R. Role of damage on the flow and fracture of particulate reinforced alloys and metal matrix composites. Acta Mater. 1997, 45, 5261–5274. [Google Scholar] [CrossRef]
- Zhao, Y.H.; Weng, G.J. Transversely isotropic moduli of two partially debonded composites. Int. J. Plast. 1996, 12, 781–784. [Google Scholar] [CrossRef]
- Madelaine-Dupuich, O.; Stolarz, J.; Triboulet, G.; Kurzudlowski, K.J. Solidification processing and microstructure analysis of synthetic Al-Si alloys. Mater. Sci. Forum 1996, 217–222, 219–224. [Google Scholar] [CrossRef]
- Zykova, A.; Kazantseva, L.; Popova, N.; Vorozhtsov, A.; Kurzina, I. Influence of Modifying Mixtures on Si Crystal Formation in Al-7%Si Alloy. Metals 2018, 8, 98. [Google Scholar] [CrossRef]
- Lu, C.; Danzer, R.; Fischer, F.D. Fracture statistics of brittle materials: Weibull or normal distribution. Phys. Rev. E 2002, 65, 067102. [Google Scholar] [CrossRef] [PubMed]
- Brown, L.M.; Clarke, D.R. Work-hardening due to internal stresses in composite-materials. Acta Metall. 1975, 23, 821–830. [Google Scholar] [CrossRef]
- Bohm, C.; Hauck, T.; Juritza, A.; Müller, W.H. Weibull Statistics of Silicon Die Fracture. In Proceedings of the 6th Electronics Packaging Technology Conference (EPTC 2004), Singapore, 8–10 December 2004; pp. 782–786. [Google Scholar] [CrossRef]







| Parameter | Matrix | Particles |
|---|---|---|
| Elastic constant, μ (GPa) | 33 | 70 |
| Poisson ratio, υ | 0.33 | 0.22 |
| Dissipated energy, η (J/m2) | 14 | 6 |
© 2019 by the authors. Licensee MDPI, Basel, Switzerland. This article is an open access article distributed under the terms and conditions of the Creative Commons Attribution (CC BY) license (http://creativecommons.org/licenses/by/4.0/).
Share and Cite
Lebyodkin, M.; Lebedkina, T. On the Role of Hazard and Particle Failure Statistics on the Variation of Fracture Parameters of Ductile-Brittle Composites. Metals 2019, 9, 633. https://doi.org/10.3390/met9060633
Lebyodkin M, Lebedkina T. On the Role of Hazard and Particle Failure Statistics on the Variation of Fracture Parameters of Ductile-Brittle Composites. Metals. 2019; 9(6):633. https://doi.org/10.3390/met9060633
Chicago/Turabian StyleLebyodkin, Mikhail, and Tatiana Lebedkina. 2019. "On the Role of Hazard and Particle Failure Statistics on the Variation of Fracture Parameters of Ductile-Brittle Composites" Metals 9, no. 6: 633. https://doi.org/10.3390/met9060633
APA StyleLebyodkin, M., & Lebedkina, T. (2019). On the Role of Hazard and Particle Failure Statistics on the Variation of Fracture Parameters of Ductile-Brittle Composites. Metals, 9(6), 633. https://doi.org/10.3390/met9060633

