ODS EUROFER Steel Strengthened by Y-(Ce, Hf, La, Sc, and Zr) Complex Oxides
Abstract
1. Introduction
2. Experiments
3. Results
3.1. Microstructural Observations
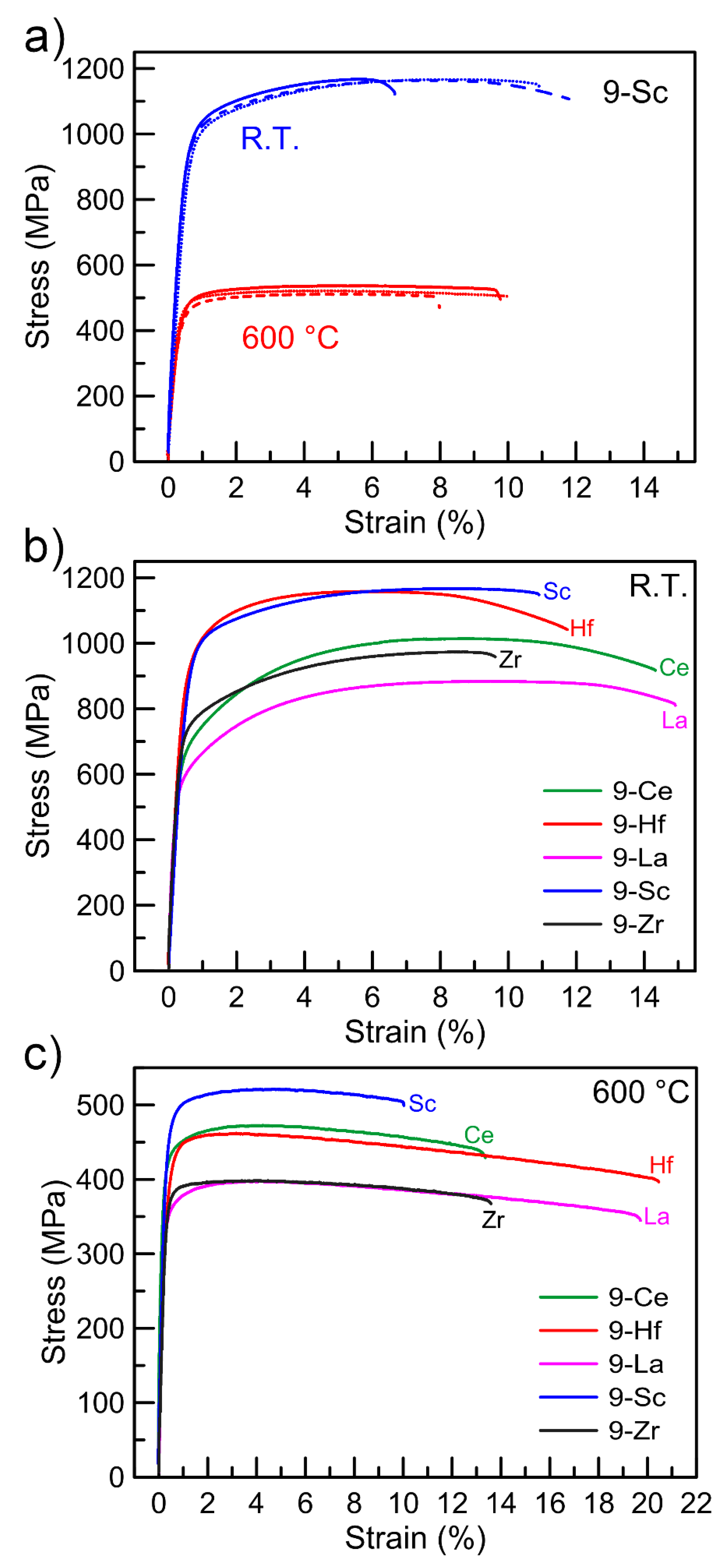
3.2. Mechanical Properties
4. Discussion
4.1. Microstructure
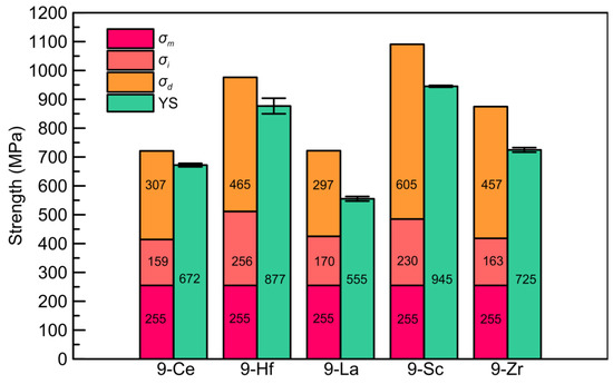
4.2. Mechanical Properties
5. Conclusions
- Depending on the dispersoid size and the amount of dispersoids in the microstructure, the average grain size of ODS steel was altered in the range 0.6–1.7 µm. The grain size was controlled by Zener pinning of grain boundaries during the preparation process;
- The dispersoid interparticle spacing appeared to be the decisive factor controlling the dispersion-strengthening contribution to the yield strength of ODS steel;
- The resulting yield strength of ODS steel varied between 550 MPa and 950 MPa at room temperature, maintaining a reasonable fracture strain of approximately 10%.
Author Contributions
Funding
Conflicts of Interest
References
- Tavassoli, A.A.F.; Diegele, E.; Lindau, R.; Luzginova, N.; Tanigawa, H. Current status and recent research achievements in ferritic/martensitic steels. J. Nucl. Mater. 2014, 455, 269–276. [Google Scholar] [CrossRef]
- Lasser, R.; Baluc, N.; Boutard, J.L.; Diegele, E.; Dudarev, S.; Gasparotto, M.; Möslang, A.; Pippan, R.; Riccardi, B.; van der Schaaf, B. Structural materials for DEMO: The EU development, strategy, testing and modelling. Fusion Eng. Des. 2007, 82, 511–520. [Google Scholar] [CrossRef]
- van der Schaaf, B.; Tavassoli, F.; Fazio, C.; Rigal, E.; Diegele, E.; Lindau, R.; LeMarois, G. The development of EUROFER reduced activation steel. Fusion Eng. Des. 2003, 69, 197–203. [Google Scholar] [CrossRef]
- Marmy, P.; Kruml, T. Low cycle fatigue of Eurofer 97. J. Nucl. Mater. 2008, 377, 52–58. [Google Scholar] [CrossRef]
- Fournier, B.; Steckmeyer, A.; Rouffie, A.L.; Malaplate, J.; Garnier, J.; Ratti, M.; Wident, P.; Ziolek, L.; Tournie, I.; Rabeau, V.; et al. Mechanical behaviour of ferritic ODS steels—Temperature dependancy and anisotropy. J. Nucl. Mater. 2012, 430, 142–149. [Google Scholar] [CrossRef]
- Yan, P.; Yu, L.; Liu, Y.; Liu, C.; Li, H.; Wu, J. Effects of Hf addition on the thermal stability of 16Cr-ODS steels at elevated aging temperatures. J. Alloy. Compd. 2018, 739, 368–379. [Google Scholar] [CrossRef]
- Dong, H.; Yu, L.; Liu, Y.; Liu, C.; Li, H.; Wu, J. Effect of hafnium addition on the microstructure and tensile properties of aluminum added high-Cr ODS steels. J. Alloy. Compd. 2017, 702, 538–545. [Google Scholar] [CrossRef]
- Li, Z.; Lu, Z.; Xie, R.; Lu, C.; Shi, Y.; Liu, C. Effects of Y2O3, La2O3 and CeO2 additions on microstructure and mechanical properties of 14Cr-ODS ferrite alloys produced by spark plasma sintering. Fusion Eng. Des. 2017, 121, 159–166. [Google Scholar] [CrossRef]
- Xie, R.; Lu, Z.; Lu, C.; Li, Z.; Ding, X.; Liu, C. Microstructures and mechanical properties of 9Cr oxide dispersion strengthened steel produced by spark plasma sintering. Fusion Eng. Des. 2017, 115, 67–73. [Google Scholar] [CrossRef]
- Huang, L.; Liu, Z.; Guo, W.; Chen, S.; Duan, Q.; Zhou, C.; Soo, M.T. Microstructure and tensile properties of oxide strengthened ferritic steel fabricated using as-milled powders with dissolved oxygen. Fusion Eng. Des. 2015, 95, 1–6. [Google Scholar] [CrossRef]
- Hoelzer, D.T.; Unocic, K.A.; Sokolov, M.A.; Byun, T.S. Influence of processing on the microstructure and mechanical properties of 14YWT. J. Nucl. Mater. 2016, 471, 251–265. [Google Scholar] [CrossRef]
- Gräning, T.; Rieth, M.; Hoffmann, J.; Möslang, A. Production, microstructure and mechanical properties of two different austenitic ODS steels. J. Nucl. Mater. 2017, 487, 348–361. [Google Scholar] [CrossRef]
- Hadraba, H.; Chlup, Z.; Dlouhy, A.; Dobes, F.; Roupcova, P.; Vilemova, M.; Matejicek, J. Oxide dispersion strengthened CoCrFeNiMn high-entropy alloy. Mat. Sci. Eng. Struct. 2017, 689, 252–256. [Google Scholar] [CrossRef]
- Khalaj, O.; Jirkova, H.; Masek, B.; Svoboda, J. Microstructure Evaluation of New ODS Alloys with Fe–Al Matrix and Al2O3 Particles. In Proceedings of the 2017 International Conference on Industrial Design Engineering (Icide 2017), Dubai, UAE, 29–31 December 2017; pp. 11–15. [Google Scholar]
- Hadraba, H.; Husak, R.; Stratil, L.; Siska, F.; Chlup, Z.; Puchy, V.; Michalicka, J. Survey of oxide candidate for advanced 9%, 14% and 17%Cr ODS steels for fusion applications. Fusion Eng. Des. 2017, 124, 1028–1032. [Google Scholar] [CrossRef]
- Schaeublin, R.; Leguey, T.; Spatig, P.; Baluc, N.; Victoria, M. Microstructure and mechanical properties of two ODS ferritic/martensitic steels. J. Nucl. Mater. 2002, 307, 778–782. [Google Scholar] [CrossRef]
- Ukai, S.; Nishida, T.; Okada, H.; Okuda, T.; Fujiwara, M.; Asabe, K. Development of oxide dispersion strengthened ferritic steels for FBR core application, (I). J. Nucl. Sci. Technol. 1997, 34, 256–263. [Google Scholar] [CrossRef]
- Ukai, S.; Fujiwara, M. Perspective of ODS alloys application in nuclear environments. J. Nucl. Mater. 2002, 307, 749–757. [Google Scholar] [CrossRef]
- de Castro, V.; Leguey, T.; Muñoz, A.; Monge, M.A.; Fernández, P.; Lancha, A.M.; Pareja, R. Mechanical and microstructural behaviour of Y2O3 ODS EUROFER 97. J. Nucl. Mater. 2007, 367–370, 196–201. [Google Scholar] [CrossRef]
- Hoffmann, J.; Rieth, M.; Lindau, R.; Klimenkov, M.; Möslang, A.; Sandim, H.R.Z. Investigation on different oxides as candidates for nano-sized ODS particles in reduced-activation ferritic (RAF) steels. J. Nucl. Mater. 2013, 442, 444–448. [Google Scholar] [CrossRef]
- Dong, H.; Yu, L.; Liu, Y.; Liu, C.; Li, H.; Wu, J. Enhancement of tensile properties due to microstructure optimization in ODS steels by zirconium addition. Fusion Eng. Des. 2017, 125, 402–406. [Google Scholar] [CrossRef]
- Xu, H.; Lu, Z.; Wang, D.; Liu, C. Effect of zirconium addition on the microstructure and mechanical properties of 15Cr-ODS ferritic Steels consolidated by hot isostatic pressing. Fusion Eng. Des. 2017, 114, 33–39. [Google Scholar] [CrossRef]
- Gao, R.; Zhang, T.; Wang, X.P.; Fang, Q.F.; Liu, C.S. Effect of zirconium addition on the microstructure and mechanical properties of ODS ferritic steels containing aluminum. J. Nucl. Mater. 2014, 444, 462–468. [Google Scholar] [CrossRef]
- Kubena, I.; Fournier, B.; Kruml, T. Effect of microstructure on low cycle fatigue properties of ODS steels. J. Nucl. Mater. 2012, 424, 101–108. [Google Scholar] [CrossRef]
- Russell, K.C. Precipitate coarsening and grain growth in steels. Mass. Inst. Technol. 2003, 77, 437–456. [Google Scholar]
- Humphreys, F.J.; Hatherly, M. Recrystallization and Related Annealing Phenomena, 1st ed.; Pergamon: Oxford, UK, 1995. [Google Scholar]
- Schneibel, J.H.; Heilmaier, M.; Blum, W.; Hasemann, G.; Shanmugasundaram, T. Temperature dependence of the strength of fine- and ultrafine-grained materials. Acta Mater. 2011, 59, 1300–1308. [Google Scholar] [CrossRef]
- Dou, P.; Kimura, A.; Kasada, R.; Okuda, T.; Inoue, M.; Ukai, S.; Ohnuki, S.; Fujisawa, T.; Abe, F.; Jiang, S.; et al. TEM and HRTEM study of oxide particles in an Al-alloyed high-Cr oxide dispersion strengthened ferritic steel with Hf addition. J. Nucl. Mater. 2017, 485, 189–201. [Google Scholar] [CrossRef]
- Dou, P.; Sang, W.; Kimura, A. Morphology, crystal and metal/oxide interface structures of nanoparticles in Fe–15Cr–2W–0.5Ti–7Al–0.4Zr–0.5Y2O3 ODS steel. J. Nucl. Mater. 2019, 523, 231–247. [Google Scholar] [CrossRef]
- Heczko, M.; Esser, B.D.; Smith, T.M.; Beran, P.; Mazánová, V.; McComb, D.W.; Kruml, T.; Polák, J.; Mills, M.J. Atomic resolution characterization of strengthening nanoparticles in a new high-temperature-capable 43Fe-25Ni-22.5Cr austenitic stainless steel. Mater. Sci. Eng. A 2018, 719, 49–60. [Google Scholar] [CrossRef]
- Hazzledine, P.M. Direct versus indirect dispersion hardening. Scripta Metall. Mater. 1992, 26, 57–58. [Google Scholar] [CrossRef]
- Arzt, E.; Wilkinson, D.S. Threshold stresses for dislocation climb over hard particles—The effect of an attractive interaction. Acta Metall. Mater. 1986, 34, 1893–1898. [Google Scholar] [CrossRef]
- Rosler, J.; Arzt, E. A new model-based creep equation for dispersion strengthened materials. Acta Metall. Mater. 1990, 38, 671–683. [Google Scholar] [CrossRef]
- Brandes, M.C.; Kovarik, L.; Miller, M.K.; Daehn, G.S.; Mills, M.J. Creep behavior and deformation mechanisms in a nanocluster strengthened ferritic steel. Acta Mater. 2012, 60, 1827–1839. [Google Scholar] [CrossRef]
- Xu, H.; Lu, Z.; Wang, D.; Liu, C. Microstructure refinement and strengthening mechanisms of a 9Cr oxide dispersion strengthened steel by zirconium addition. Nucl. Eng. Technol. 2017, 49, 178–188. [Google Scholar] [CrossRef]






| Powder (Producer) | Purity (%) | Particle Size (µm) | Quantity of Powder in Batch (wt. %) | ||||
|---|---|---|---|---|---|---|---|
| 9-Ce | 9-Hf | 9-La | 9-Sc | 9-Zr | |||
| Fe (H.) | 99.8 | <200 | bal. | bal. | bal. | bal. | bal. |
| Cr (S.A.) | 99.8 | 45 | 9 | 9 | 9 | 9 | 9 |
| W (S.A.) | 99.9 | 12 | 1 | 1 | 1 | 1 | 1 |
| Mn (S.A.) | >99 | 45 | 0.5 | 0.5 | 0.5 | 0.5 | 0.5 |
| V (S.A.) | 99.5 | 45 | 0.2 | 0.2 | 0.2 | 0.2 | 0.2 |
| Ta (S.A.) | 99.9 | 45 | 0.1 | 0.1 | 0.1 | 0.1 | 0.1 |
| Y2O3 (S.A.) | 99.99 | <10 | 0.3 | 0.3 | 0.3 | 0.3 | 0.3 |
| Ce (S.A.) | 99.5 | <389 | 0.3 | - | - | - | - |
| Hf (S.A.) | 99.5 | 45 | - | 0.3 | - | - | - |
| La (S.A.) | 99.9 | <389 | - | - | 0.3 | - | - |
| Sc (S.A.) | 99.9 | n.a. | - | - | - | 0.3 | - |
| Zr (S.A.) | n.a. | 150 | - | - | - | - | 0.3 |
| Theoretical density | (g.cm−3) | - | 7.84 | 7.85 | 7.84 | 7.81 | 7.84 |
| Steel | Content of Element in Steel (wt. %) * | ||||
|---|---|---|---|---|---|
| 9-Ce | 9-Hf | 9-La | 9-Sc | 9-Zr | |
| Fe | 88.78 | 88.19 | 88.85 | 88.71 | 88.26 |
| Cr | 8.76 | 9.33 | 8.8 | 8.87 | 9.32 |
| W | 0.94 | 1.06 | 0.93 | 0.94 | 1.04 |
| Mn | 0.66 | 0.64 | 0.75 | 0.72 | 0.7 |
| V | 0.27 | 0.28 | 0.2 | 0.19 | 0.19 |
| Ta | 0.15 | 0.09 | 0.04 | 0.13 | 0.08 |
| Y | 0.15 | 0.11 | 0.13 | 0.16 | 0.15 |
| Ce | 0.28 | 0 | 0 | 0 | 0 |
| Hf | 0 | 0.3 | 0 | 0 | 0 |
| La | 0 | 0 | 0.31 | 0 | 0 |
| Sc | 0 | 0 | 0 | 0.28 | 0 |
| Zr | 0 | 0 | 0 | 0 | 0.25 |
| Density ** (g.cm−3/% t.d. ***) | 7.62/97.22 | 7.59/97.71 | 7.64/97.48 | 7.64/97.83 | 7.55/96.34 |
| Steel | Grains | Dispersoids | |||||
|---|---|---|---|---|---|---|---|
| Average Size d (µm) | Maximal Size (µm) | R (µm) | Average Size dp (nm) | Particles per m3 n (× 1021) | Volume Fraction f (× 10−4) | Interparticle Spacing λ (nm) | |
| 9-Ce | 1.742 | 6.2 | 4.639 | 12.5 | 4 | 21 | 74.93 |
| 9-Hf | 0.671 | 2.82 | 2.9 | 8.3 | 7.1 | 19 | 60.89 |
| 9-La | 1.525 | 4.35 | 4.438 | 12.7 | 3.9 | 19 | 77.25 |
| 9-Sc | 0.834 | 2.52 | 2.826 | 4.5 | 22 | 11 | 64.16 |
| 9-Zr | 1.657 | 6.13 | 4.487 | 5.1 | 11 | 7 | 81.34 |
| Steel | Hardness (HV5) | Tensile Tests | |||||||
|---|---|---|---|---|---|---|---|---|---|
| RT | 600 °C | ||||||||
| YS (MPa) | UTS (MPa) | UTS/YS (-) | A (%) | YS (MPa) | UTS (MPa) | UTS/YS (-) | A (%) | ||
| 9-Ce | 321 ± 2 | 672 ± 6 | 1014 ± 1 | 1.51 | 13 ± 2 | 421 ± 2 | 472 ± 1 | 1.12 | 12 ± 1 |
| 9-Hf | 364 ± 3 | 877 ± 27 | 1135 ± 16 | 1.29 | 9 ± 2 | 417 ± 10 | 467 ± 10 | 1.12 | 16 ± 3 |
| 9-La | 283 ± 4 | 555 ± 8 | 873 ± 8 | 1.57 | 14 ± 1 | 362 ± 8 | 402 ± 3 | 1.11 | 18 ± 1 |
| 9-Sc | 376 ± 3 | 945 ± 3 | 1166 ± 2 | 1.23 | 9 ± 2 | 461 ± 9 | 523 ± 10 | 1.13 | 9 ± 1 |
| 9-Zr | 287 ± 10 | 725 ± 8 | 967 ± 9 | 1.33 | 8 ± 1 | 370 ± 2 | 399 ± 1 | 1.08 | 10 ± 2 |
| Steel | Total Yield Strength σy (MPa) | Components of Yield Strength | ||
|---|---|---|---|---|
| Matrix σm (MPa) | Grains σi (MPa) | Dispersoids σd (MPa) | ||
| 9-Ce | 721 | 255 | 159 | 307 |
| 9-Hf | 976 | 255 | 256 | 465 |
| 9-La | 722 | 255 | 170 | 297 |
| 9-Sc | 1091 | 255 | 230 | 606 |
| 9-Zr | 874 | 255 | 163 | 457 |
© 2019 by the authors. Licensee MDPI, Basel, Switzerland. This article is an open access article distributed under the terms and conditions of the Creative Commons Attribution (CC BY) license (http://creativecommons.org/licenses/by/4.0/).
Share and Cite
Husák, R.; Hadraba, H.; Chlup, Z.; Heczko, M.; Kruml, T.; Puchý, V. ODS EUROFER Steel Strengthened by Y-(Ce, Hf, La, Sc, and Zr) Complex Oxides. Metals 2019, 9, 1148. https://doi.org/10.3390/met9111148
Husák R, Hadraba H, Chlup Z, Heczko M, Kruml T, Puchý V. ODS EUROFER Steel Strengthened by Y-(Ce, Hf, La, Sc, and Zr) Complex Oxides. Metals. 2019; 9(11):1148. https://doi.org/10.3390/met9111148
Chicago/Turabian StyleHusák, Roman, Hynek Hadraba, Zdeněk Chlup, Milan Heczko, Tomáš Kruml, and Viktor Puchý. 2019. "ODS EUROFER Steel Strengthened by Y-(Ce, Hf, La, Sc, and Zr) Complex Oxides" Metals 9, no. 11: 1148. https://doi.org/10.3390/met9111148
APA StyleHusák, R., Hadraba, H., Chlup, Z., Heczko, M., Kruml, T., & Puchý, V. (2019). ODS EUROFER Steel Strengthened by Y-(Ce, Hf, La, Sc, and Zr) Complex Oxides. Metals, 9(11), 1148. https://doi.org/10.3390/met9111148

