Effects of Cr and Mo on Mechanical Properties of Hot-Forged Medium Carbon TRIP-Aided Bainitic Ferrite Steels
Abstract
:1. Introduction
- (1)
- The FA process refined the microstructure and increased the volume fraction of retained austenite with a decrease in its carbon concentration.
- (2)
- Good combination of yield strength and impact toughness was achieved when austemper was conducted at temperatures above Ms.
2. Experimental Procedure
3. Results and Discussion
3.1. Microstructure and Retained Austenite Characteristics
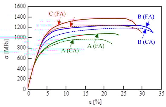
3.2. Tensile Properties
3.3. Impact Toughness
4. Summary
- (1)
- Multiple additions of Cr and Mo developed a mixed structure of uniform bainitic ferrite matrix and a large amount of retained austenite in the TBF steel, with a negligible amount of proeutectoid ferrite and MA phase. Hot-forging refined the mixed structure and increased the volume fraction and mechanical stability of retained austenite. The single addition of Cr reduced the proeutectoid ferrite fraction in the mixed structure, and it achieved the maximum retained austenite fraction.
- (2)
- Multiple additions of Cr and Mo increased yield stress and tensile strength in the TBF steels. Hot-forging furthered the yield stress and tensile strength. The single addition of Cr achieved the maximum total elongation and combinations YS × TEl and TS × TEl because of a dual-phase structure of proeutectoid ferrite and acicular bainitic ferrite and high retained austenite fraction. In this case, multiple additions of Cr and Mo achieved slightly lower combinations than the single addition of Cr.
- (3)
- Multiple addition of Cr and Mo brought on the maximum impact toughness and combinations YS × CIAV and TS × CIAV in hot-forged TBF steels. The combinations were the same as those of low-carbon TBF steels with chemical composition of 0.2%C-1.5%Si-1.5%Mn- 0.5%Cr-(0−0.2)%Mo. The excellent impact toughness was principally caused by uniform fine acicular bainitic ferrite matrix structure and a large amount of metastable retained austenite. It was considered that the mechanically stable retained austenite is especially effective to improve the impact toughness due to (i) the plastic relaxation of localized stress concentration and (ii) the increased martensite fraction via the strain-induced martensite transformation.
Author Contributions
Funding
Acknowledgments
Conflicts of Interest
References
- Rana, R.; Singh, S.B. (Eds.) Automotive Steels—Design, Metallurgy, Processing and Applications; Woodhead Publishing: Cambridge, UK, 2016. [Google Scholar]
- Zhao, J.; Jiang, Z. Thermomechanical processing of advanced high strength steels. Prog. Mater. Sci. 2018, 94, 174–242. [Google Scholar] [CrossRef]
- Zackay, V.F.; Parker, E.R.; Fahr, D.; Bush, R. The enhancement of ductility in high-strength steels. Trans. Am. Soc. Met. 1967, 60, 252–259. [Google Scholar]
- Sugimoto, K.; Murata, M.; Song, S. Formability of Al-Nb bearing ultrahigh-strength TRIP-aided sheet steels with bainitic ferrite and/or martensite matrix. ISIJ Int. 2010, 50, 162–168. [Google Scholar] [CrossRef]
- Kobayashi, J.; Ina, D.; Yoshikawa, N.; Sugimoto, K. Effects of the addition of Cr, Mo and Ni on the microstructure and retained austenite characteristics of 0.2% C–Si–Mn–Nb ultrahigh-strength TRIP-aided bainitic ferrite steels. ISIJ Int. 2012, 52, 1894–1901. [Google Scholar] [CrossRef]
- Kobayashi, J.; Song, S.; Sugimoto, K. Ultrahigh-strength TRIP-aided martensitic steels. ISIJ Int. 2012, 52, 1124–1129. [Google Scholar] [CrossRef]
- Pham, D.V.; Kobayashi, J.; Sugimoto, K. Effects of microalloying on stretch-flangeability of TRIP-aided martensitic sheet steel. ISIJ Int. 2014, 54, 1943–1951. [Google Scholar] [CrossRef]
- Speer, J.G.; Edmonds, D.V.; Rizzo, F.C.; Matlock, D.K. Partitioning of carbon from supersaturated plates of ferrite with application to steel processing and fundamentals of the bainitic transformation. Curr. Opin. Solid State Mat. Sci. 2004, 8, 219–237. [Google Scholar] [CrossRef]
- Wang, L.; Speer, J.G. Quenching and partitioning steel heat treatment. Metallogr. Microstruct. Anal. 2013, 2, 268–281. [Google Scholar] [CrossRef]
- Kähkönen, J.; Pierce, D.T.; Speer, J.G.; De Moor, E.; Thomas, G.A.; Coughlin, D.; Clarke, K.; Clarke, A. Quenched and partitioned CMnSi steels containing 0.3 wt.% and 0.4 wt.% carbon. JOM 2016, 68, 210–214. [Google Scholar]
- Bhadeshia, H.K.D.H. Some phase transformations in steels. Mater. Sci. Technol. 1999, 15, 22–29. [Google Scholar] [CrossRef]
- Garcia-Mateo, C.; Caballero, F.G.; Sourmail, T.; Smanio, V.; De Andres, C.G. Industrialised nanocrystalline bainitic steels—Design approach. Int. J. Mater. Res. 2014, 105, 725–734. [Google Scholar] [CrossRef]
- Zhang, X.; Xu, G.; Wang, X.; Embury, D.; Bouaziz, O.; Purdy, G.P.; Zurob, H.S. Mechanical behavior of carbide-free medium carbon bainitic steels. Metall. Mater. Trans. A 2014, 45A, 1352–1361. [Google Scholar] [CrossRef]
- Cao, W.; Wang, C.; Shi, J.; Wang, M.; Hui, W.; Dong, H. Microstructure and mechanical properties of Fe–0.2C–5Mn steel processed by ART-annealing. Mater. Sci. Eng. A 2011, 528, 6661–6666. [Google Scholar]
- Sugimoto, K.; Tanino, H.; Kobayashi, J. Impact toughness of medium-Mn transformation-induced plasticity-aided steels. Steel Res. Int. 2015, 86, 1151–1160. [Google Scholar]
- Tsuchiyama, T.; Inoue, T.; Tobata, J.; Akama, D.; Takaki, S. Microstructure and mechanical properties of a medium manganese steel treated with interrupted quenching and intercritical annealing. Scr. Mater. 2016, 122, 36–39. [Google Scholar] [CrossRef]
- Available online: https://www.nissan-global.com/JP/TECHNOLOGY/OVERVIEW/high_ten.html (accessed on 29 September 2019).
- Billur, E.; Cetin, B.; Gurleyik, M. New generation advanced high strength steels: Developments, trends and constraints. Int. J. Sci. Technol. Res. 2016, 2, 50–62. [Google Scholar]
- Yoshioka, N.; Tachibana, M. Weight reduction of automotive seat components using high-strength steel with high formability. Kobe Steel Eng. Rep. 2017, 66, 22–25. [Google Scholar]
- Wang, W.; Wang, H.; Liu, S. Development of hot-rolled Q&P steel at Baosteel. In Proceedings of the 9th Pacific Rim International Conference on Advanced Materials and Processing (PRICM9), Kyoto, Japan, 1–5 August 2016. [Google Scholar]
- Wurm, T.; Busse, A.; Raedt, H. The lightweight forging initiative—Phase III: Material lightweight design for hybrid cars and heavy-duty trucks. ATZ 2019, 121, 16–21. [Google Scholar] [CrossRef]
- Raedt, H.; Wurm, T.; Busse, A. The lightweight forging initiative—Phase III: Lightweight forging design for hybrid cars and heavy-duty trucks. ATZ. 2019, 121, 54–59. [Google Scholar] [CrossRef]
- Yoshikawa, N.; Kobayashi, J.; Sugimoto, K. Notch-fatigue properties of advance TRIP-aided bainitic ferrite steels. Metall. Mater. Trans. A 2012, 44A, 4129–4136. [Google Scholar] [CrossRef]
- Sugimoto, K. Fracture strength and toughness of ultrahigh strength TRIP-aided steels. Mater. Sci. Technol. 2009, 25, 1108–1117. [Google Scholar] [CrossRef]
- Kobayashi, J.; Ina, D.; Nakajima, Y.; Sugimoto, K. Effects of microalloying on the impact toughness of ultrahigh-strength TRIP-aided martensitic steels. Metall. Mater. Trans. A 2013, 44A, 5006–5017. [Google Scholar] [CrossRef]
- Mašek, B.; Jirková, H. New material concept for forging. In Proceedings of the International Conference on Advances in Civil, Structural and Mechanical Engineering (ACSME 2014), Bangkok, Thailand, 4–5 January 2014; pp. 92–96. [Google Scholar]
- Bagliani, E.P.; Santofimia, M.J.; Zhao, L.; Sietsma, J.; Anelli, E. Microstructure, tensile and toughness properties after quenching and partitioning treatments of a medium-carbon steel. Mater. Sci. Eng. A 2013, 559, 486–495. [Google Scholar] [CrossRef]
- Keul, C.; Wirths, V.; Bleck, W. New bainitic steel for forgings. Arch. Civ. Mech. Eng. 2012, 12, 119–125. [Google Scholar] [CrossRef]
- Buchmayr, B. Critical assessment 22: Bainitic forging steels. Mater. Sci. Technol. 2016, 32, 517–522. [Google Scholar] [CrossRef]
- Bleck, W.; Bambach, M.; Wirths, V.; Stieben, A. Microalloyed engineering steels with improved performance—An Overview. Heat Treat. Mater. J. 2017, 72, 355–364. [Google Scholar] [CrossRef]
- Wirths, V.; Bleck, W. Carbide free bainitic forging steels with improved fatigue properties. In Proceedings of the International Conference on Steels in Cars and Trucks (SCT2014), Braunschweig, Germany, 15–19 June 2014; pp. 350–357. [Google Scholar]
- De Diego-Calderón, I.; Sabirov, I.; Molina-Aldareguia, J.M.; Föjer, C.; Thiessen, R.; Petrov, R.H. Microstructural design in quenched and partitioned (Q&P) steels to improve their fracture properties. Mater. Sci. Eng. A 2016, 657, 136–146. [Google Scholar]
- Gao, G.; An, B.; Zhang, H.; Guo, H.; Gui, X.; Bai, B. Concurrent enhancement of ductility and toughness in an ultrahigh strength lean alloy steel treated by bainite-based quenching-partitioning-tempering process. Mater. Sci. Eng. A 2017, 702, 104–122. [Google Scholar] [CrossRef]
- Sugimoto, K.; Itoh, M.; Hojo, T.; Hashimoto, S.; Ikeda, S.; Arai, G. Microstructure and mechanical properties of ausformed ultra high-strength TRIP-aided steels. Mater. Sci. Forum 2007, 539–543, 4309–4314. [Google Scholar] [CrossRef]
- Sugimoto, K.; Sato, S.; Arai, G. Hot forging of ultrahigh-strength TRIP-aided steel. Mater. Sci. Forum 2010, 638–642, 3074–3079. [Google Scholar] [CrossRef]
- Sugimoto, K.; Kobayashi, J.; Arai, G. Development of ultrahigh-strength low alloy TRIP-aided steel for hot-forging parts. Steel Res. Int. (Spec. Ed. Met. Form. 2010) 2010, 81, 254–257. [Google Scholar]
- Maruyama, H. X-ray measurement of retained austenite volume fraction. J. Jpn. Soc. Heat Treat. 1977, 17, 198–204. [Google Scholar]
- Dyson, D.J.; Holmes, B.J. Effect of alloying additions on the lattice parameter of austenite. Iron Steel Inst. 1970, 208, 469–474. [Google Scholar]
- Wu, J.; Wray, P.J.; Garcia, C.I.; Hua, M.; DeArdo, A.J. Image quality analysis: A new method of characterizing microstructures. ISIJ Int. 2005, 45, 254–262. [Google Scholar] [CrossRef]
- Sugimoto, K.; Kobayashi, M.; Hashimoto, S. Ductility and strain-induced transformation in a high strength TRIP-aided dual-phase steel. Metall. Trans. A 1992, 23A, 3085–3091. [Google Scholar] [CrossRef]
- Hojo, T.; Kobayashi, J.; Sugimoto, K. Impact properties of low-alloy transformation-induced plasticity-steels with different matrix. Mater. Sci. Technol. 2016, 32, 1–8. [Google Scholar] [CrossRef]
- Rinebolt, J.A.; Harris, W.J., Jr. Effect of alloying elements on notch toughness of pearlitic steels. Trans. Am. Soc. Met. 1951, 43, 1175–1214. [Google Scholar]
- Maisuradze, M.V.; Ryzhkov, M.A. Improving the impact toughness of the Hy-tuf steel by austempering. AIP Conf. Proc. 2018, 2053, 040054. [Google Scholar]










| Steel | C | Si | Mn | P | S | Cr | Mo | Al | Nb | N | O | MS | Ceq |
|---|---|---|---|---|---|---|---|---|---|---|---|---|---|
| A | 0.40 | 1.49 | 1.49 | <0.005 | 0.0021 | - | - | 0.49 | 0.048 | 0.0009 | 0.0006 | 325 | 0.710 |
| B | 0.43 | 1.50 | 1.52 | <0.005 | 0.0023 | 0.51 | - | 0.49 | 0.052 | 0.0009 | 0.0005 | 318 | 0.846 |
| C | 0.42 | 1.47 | 1.51 | <0.005 | 0.0019 | 0.50 | 0.20 | 0.48 | 0.052 | 0.0010 | 0.0007 | 310 | 0.883 |
| D | 0.20 | 1.52 | 1.50 | 0.004 | 0.0021 | - | - | 0.039 | - | 0.0011 | 0.0010 | 436 | 0.513 |
| E | 0.21 | 1.49 | 1.50 | 0.004 | 0.0019 | 0.50 | - | 0.040 | 0.05 | 0.0012 | 0.0012 | 426 | 0.622 |
| F | 0.21 | 1.49 | 1.50 | 0.004 | 0.0019 | 1.00 | - | 0.040 | 0.05 | 0.0013 | 0.0012 | 416 | 0.722 |
| G | 0.18 | 1.48 | 1.49 | 0.004 | 0.0029 | 1.02 | 0.20 | 0.043 | 0.05 | 0.0010 | 0.0015 | 404 | 0.744 |
© 2019 by the authors. Licensee MDPI, Basel, Switzerland. This article is an open access article distributed under the terms and conditions of the Creative Commons Attribution (CC BY) license (http://creativecommons.org/licenses/by/4.0/).
Share and Cite
Sugimoto, K.-i.; Sato, S.-h.; Kobayashi, J.; Srivastava, A.K. Effects of Cr and Mo on Mechanical Properties of Hot-Forged Medium Carbon TRIP-Aided Bainitic Ferrite Steels. Metals 2019, 9, 1066. https://doi.org/10.3390/met9101066
Sugimoto K-i, Sato S-h, Kobayashi J, Srivastava AK. Effects of Cr and Mo on Mechanical Properties of Hot-Forged Medium Carbon TRIP-Aided Bainitic Ferrite Steels. Metals. 2019; 9(10):1066. https://doi.org/10.3390/met9101066
Chicago/Turabian StyleSugimoto, Koh-ichi, Sho-hei Sato, Junya Kobayashi, and Ashok Kumar Srivastava. 2019. "Effects of Cr and Mo on Mechanical Properties of Hot-Forged Medium Carbon TRIP-Aided Bainitic Ferrite Steels" Metals 9, no. 10: 1066. https://doi.org/10.3390/met9101066
APA StyleSugimoto, K.-i., Sato, S.-h., Kobayashi, J., & Srivastava, A. K. (2019). Effects of Cr and Mo on Mechanical Properties of Hot-Forged Medium Carbon TRIP-Aided Bainitic Ferrite Steels. Metals, 9(10), 1066. https://doi.org/10.3390/met9101066

