Extraction of Metal Arsenic from Waste Sodium Arsenate by Roasting with Charcoal Powder
Abstract
:1. Introduction
2. Experiments
2.1. Materials
2.2. Roasting Procedure
2.3. Sample Preparation
2.4. Sample Analysis
3. Results and Discussion
3.1. Sample Characteristics
3.2. Thermal Gravity Analysis
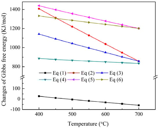
3.3. Thermodynamic Consideration
3.4. Roasting Experiments
3.4.1. Effects of N2 Flow Rate
3.4.2. Effects of Temperature
3.4.3. Effects of Charcoal Powder Dosage
3.3.4. Effects of Roasting Time
3.5. Analyses on the Roasting Residues and the Volatile Products
3.5.1. Roasting Residues
3.5.2. Volatile Product
4. Conclusions
- (1)
- 99.84% of arsenic could be separated after the waste was roasted at 800 °C for 60 min with charcoal powder dosage 12%;
- (2)
- The roasting residue containing only a little arsenic (exactly, 0.0598 wt %) was comprised of sodium salts, mainly Na2CO3. Therefore, it was a prospective source for the production of Na2CO3;
- (3)
- The reaction 2Na6As2O8 + 5C = 5Na2CO3 + Na2O + As4(g) accounted for the reduction of As(V) and the volatilization of metal arsenic, and no other unwanted arsenic phase was volatilized;
- (4)
- The collected metal arsenic was ready for further purification and/or safe disposal, depending on the actual need.
Author Contributions
Funding
Conflicts of Interest
References
- Leist, M.; Casey, R.J.; Caridi, D. The fixation and leaching of cement stabilized arsenic. Waste Manag. (Oxf.) 2003, 23, 353–359. [Google Scholar] [CrossRef]
- Fujita, T.; Taguchi, R.; Kubo, H.; Shibata, E.; Nakamura, T. Immobilization of Arsenic from Novel Synthesized Scorodite: Analysis on Solubility and Stability. Mater. Trans. 2009, 50, 321–331. [Google Scholar] [CrossRef]
- Li, J.; Liang, H.Q. Treatment Strategies Study on the Comprehensive Utilization of Arsenic-alkali Residue in Xikuangshan Area. Hunan Nonferrous Met. 2010, 26, 53–54. (In Chinese) [Google Scholar]
- Qiu, Y.H.; Lu, B.Q.; Chen, B.Z.; Zhong, Y.; Fu, W.; Yang, Y.Q. Commercial scale test of anti-pollution control technique for slag of arsenic and soda. J. Cent. South Univ. Technol. 2005, 36, 234–237. (In Chinese) [Google Scholar]
- Li, H.; Zeng, G.S.; Shao, J.G.; Deng, X.R. Leaching kinetics and separation of antimony and selenium from arsenic alkali residue. Nonferrous Met. (Extr. Metall.) 2012, 3, 1–3. (In Chinese) [Google Scholar]
- Clancy, T.M.; Hayes, K.F.; Raskin, L. Arsenic Waste Management: A Critical Review of Testing and Disposal of Arsenic-Bearing Solid Wastes Generated during Arsenic Removal from Drinking Water. Environ. Sci. Technol. 2013, 47, 10799–10812. [Google Scholar] [CrossRef] [PubMed]
- Sullivan, C.; Tyrer, M.; Cheeseman, C.R.; Graham, N.J.D. Disposal of water treatment wastes containing arsenic—A review. Sci. Total Environ. 2010, 408, 1770–1778. [Google Scholar] [CrossRef] [PubMed]
- Nazari, A.M.; Radzinski, R.; Ghahreman, A. Review of arsenic metallurgy: Treatment of arsenical minerals and the immobilization of arsenic. Hydrometallurgy 2017, 174, 258–281. [Google Scholar] [CrossRef]
- Leist, M.; Casey, R.J.; Caridi, D. The management of arsenic wastes: problems and prospects. J. Hazard. Mater. 2000, 76, 125–138. [Google Scholar] [CrossRef]
- Yamasaki, N.; Zhang, F. A study on hydrothermal disposal of sodium arsenate waste from Ga-As processing. J. Mater. Sci. 1999, 34, 4017–4022. [Google Scholar] [CrossRef]
- Paktunc, D.; Bruggeman, K. Solubility of nanocrystalline scorodite and amorphous ferric arsenate: Implications for stabilization of arsenic in mine wastes. Appl. Geochem. 2010, 25, 674–683. [Google Scholar] [CrossRef]
- Mollah, M.Y.; Kesmez, M.; Cocke, D.L. An X-ray diffraction (XRD) and Fourier transform infrared spectroscopic (FT-IR) investigation of the long-term effect on the solidification/stabilization (S/S) of arsenic(V) in Portland cement type-V. Sci. Total Environ. 2004, 325, 255–262. [Google Scholar] [CrossRef] [PubMed]
- Korte, N.E. A review of arsenic (III) in groundwater. Crit. Rev. Env. Sci. Technol. 1991, 21, 1–39. [Google Scholar] [CrossRef]
- Dutré, V.; Vandecasteele, C.; Opdenakker, S. Oxidation of arsenic bearing fly ash as pretreatment before solidification. J. Hazard. Mater. 1999, 68, 205–215. [Google Scholar] [CrossRef]
- Fedorov, V.A.; Churbanov, M.F. Ultrapure arsenic and its compounds for optical and semiconductor materials. Inorg. Mater. 2016, 52, 1339–1357. [Google Scholar] [CrossRef]
- Fedorov, V.A.; Zhukov, E.G.; Nikolashin, S.V.; Potolokov, V.N.; Serov, A.V.; Smetanin, A.V. Sublimation Purification of Crude Arsenic Recovered from Nonferrous Waste. Inorg. Mater. 2001, 37, 1011–1016. [Google Scholar] [CrossRef]
- Potolokov, V.N.; Efremov, V.A.; Zhukov, E.G.; Pashinkin, A.S.; Potolokov, N.A.; Fedorov, V.A. Preparation of High-Purity Arsenic via Hydrogen Reduction of Arsenic Trichloride. Inorg. Mater. 2003, 39, 15–21. [Google Scholar] [CrossRef]
- Smetanin, A.V.; Pyshkin, A.S.; Osipov, G.N.; Sokhadze, L.A.; Smirnov, M.K.; Turygin, V.V.; Zhukov, E.G.; Potolokov, V.N.; Tomilov, A.P.; Fedorov, V.A. Arsenic extraction from nonferrous metals industry waste. Inorg. Mater. 2007, 43, 1093–1102. [Google Scholar] [CrossRef]
- Smetanin, A.V.; Smirnov, M.K.; Chernykh, I.N.; Turygin, V.V.; Khudenko, A.V.; Fedorov, V.A.; Tomilov, A.P. Electrochemical Preparation of Arsenic and Its Compounds. Inorg. Mater. 2003, 39, 22–36. [Google Scholar] [CrossRef]
- Turygin, V.V.; Smirnov, M.K.; Smetanin, A.V.; Zhukov, E.G.; Fedorov, V.A.; Tomiliov, A.P. Electrochemical arsenic extraction from nonferrous metals industry waste. Inorg. Mater. 2008, 44, 946–953. [Google Scholar] [CrossRef]
- Peng, B.; Lei, J.; Min, X.B.; Chai, L.Y.; Liang, Y.J.; You, Y. Physicochemical properties of arsenic-bearing lime-ferrate sludge and its leaching behaviors. Trans. Nonferrous Met. Soc. China 2017, 27, 1188–1198. [Google Scholar] [CrossRef]
- Groenewold, G.S.; Avci, R.; Fox, R.V.; Deliorman, M.; Suo, Z.Y.; Kellerman, L. Characterization of Arsenic Contamination on Rust from Ton Containers. Ind. Eng. Chem. Res. 2013, 52, 1396–1404. [Google Scholar] [CrossRef]
- Bang, S.; Johnson, M.D.; Korfiatis, G.P.; Meng, X.G. Chemical reactions between arsenic and zero-valent iron in water. Water Res. 2005, 39, 763–770. [Google Scholar] [CrossRef] [PubMed]
- Wang, S.; Mulligan, C.N. Speciation and Surface Structure of Inorganic Arsenic in Solid Phases: A Review. Eviron. Int. 2008, 34, 867–879. [Google Scholar] [CrossRef] [PubMed]
- Martinson, C.A.; Reddy, K.J. Adsorption of arsenic(III) and arsenic(V) by cupric oxide nanoparticles. J. Colloid Interface Sci. 2009, 336, 406–411. [Google Scholar] [CrossRef] [PubMed]
- Wagner, C.D.; Riggs, W.M.; Davis, L.E.; Moulder, J.F. Handbook of X-ray Photoelectron Spectroscopy; Perkin-Elmer Coporation, Physical Electronics Division: Eden Prairie, MN, USA, 1979. [Google Scholar]
- Zhao, Z.W.; Song, Y.X.; Min, X.B.; Liang, Y.J.; Chai, L.Y.; Shi, M.Q. XPS and FTIR studies of sodium arsenate vitrification by cullet. J. Non-Cryst. Solids 2016, 452, 238–244. [Google Scholar] [CrossRef]
- Moulder, J.F.; Stickle, W.F.; Spobol, P.E.; Bomben, K.D. Handbook of X-ray Photoelectron Spectroscopy; Phsical Electronics, Inc.: Eden Prairie, MN, USA, 1992. [Google Scholar]













| As | Na | Fe | Sb | S | P | Ca | Al |
|---|---|---|---|---|---|---|---|
| 16.79 | 16.82 | 0.016 | 0.086 | 0.075 | 0.34 | 0.1 | 0.041 |
© 2018 by the authors. Licensee MDPI, Basel, Switzerland. This article is an open access article distributed under the terms and conditions of the Creative Commons Attribution (CC BY) license (http://creativecommons.org/licenses/by/4.0/).
Share and Cite
Yang, K.; Qin, W.; Liu, W. Extraction of Metal Arsenic from Waste Sodium Arsenate by Roasting with Charcoal Powder. Metals 2018, 8, 542. https://doi.org/10.3390/met8070542
Yang K, Qin W, Liu W. Extraction of Metal Arsenic from Waste Sodium Arsenate by Roasting with Charcoal Powder. Metals. 2018; 8(7):542. https://doi.org/10.3390/met8070542
Chicago/Turabian StyleYang, Kang, Wenqing Qin, and Wei Liu. 2018. "Extraction of Metal Arsenic from Waste Sodium Arsenate by Roasting with Charcoal Powder" Metals 8, no. 7: 542. https://doi.org/10.3390/met8070542
APA StyleYang, K., Qin, W., & Liu, W. (2018). Extraction of Metal Arsenic from Waste Sodium Arsenate by Roasting with Charcoal Powder. Metals, 8(7), 542. https://doi.org/10.3390/met8070542

