Kinetics of Grain Boundary Networks Controlled by Triple Junction and Grain Boundary Mobility
Abstract
1. Introduction
2. Problem Description and Methods
2.1. Geometrical Setting
2.2. Triple Junction Relations
2.3. Growth and Shrinkage of Polygonal Grains
2.4. Normalized Time
2.5. Numerical Method
3. Results
3.1. Shrinkage of a 4-Sided Grain
3.2. Kinetics of Polygonal Grains
3.3. Growth and Shrinkage of Grains Depending on the Surrounding Grain Arrangement
4. Discussion
- (1)
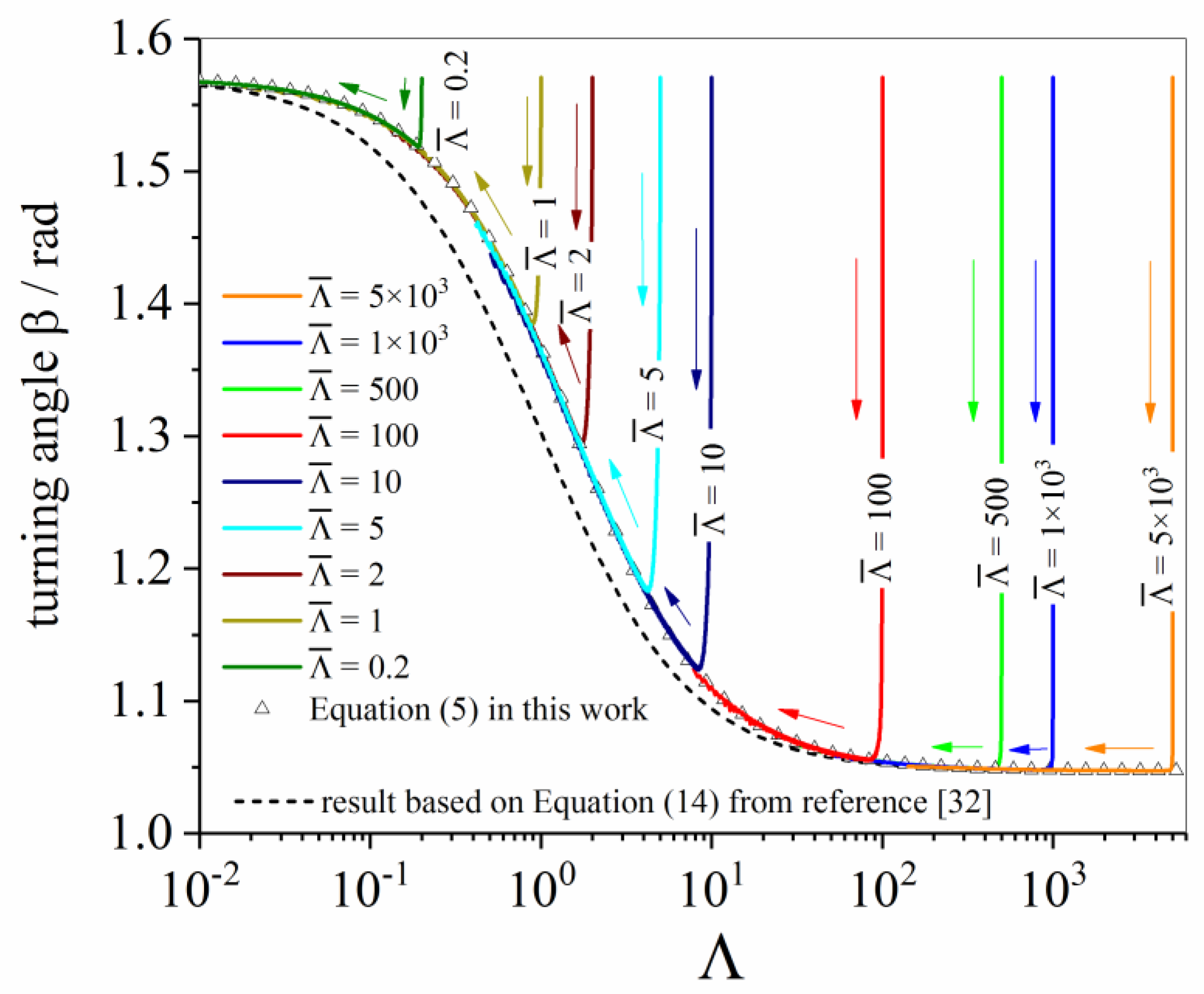
- The dimensionless parameter Λ describing the shrinkage of an n-sided (here 4-sided) equilateral polygon is derived from the thermodynamic extremal principle, according to reference [31] and from the force balance following reference [32], and after correcting equations, both approaches lead to the same result.
- (2)
- It is demonstrated that the motion of the triple junction and the adjacent grain boundaries can be used to realistically simulate the growth kinetics for only a small period of time, when the boundary condition corresponding to infinitely large grains is used.
- (3)
- Triple point and adjacent grain boundary “unit-cells” have been constructed for 4-sided, 5-sided, 7-sided, and 8-sided equilateral polygonal grains. In accordance with theory, the grains with n < 6 shrink, whereas grains with n > 6 grow. The grain boundaries are curved positively (convex out of the grain) for n < 6, and negatively (concave into the grain). Here, it is tacitly assumed that the surrounding grains alter their topology in a completely symmetrical manner.
- (4)
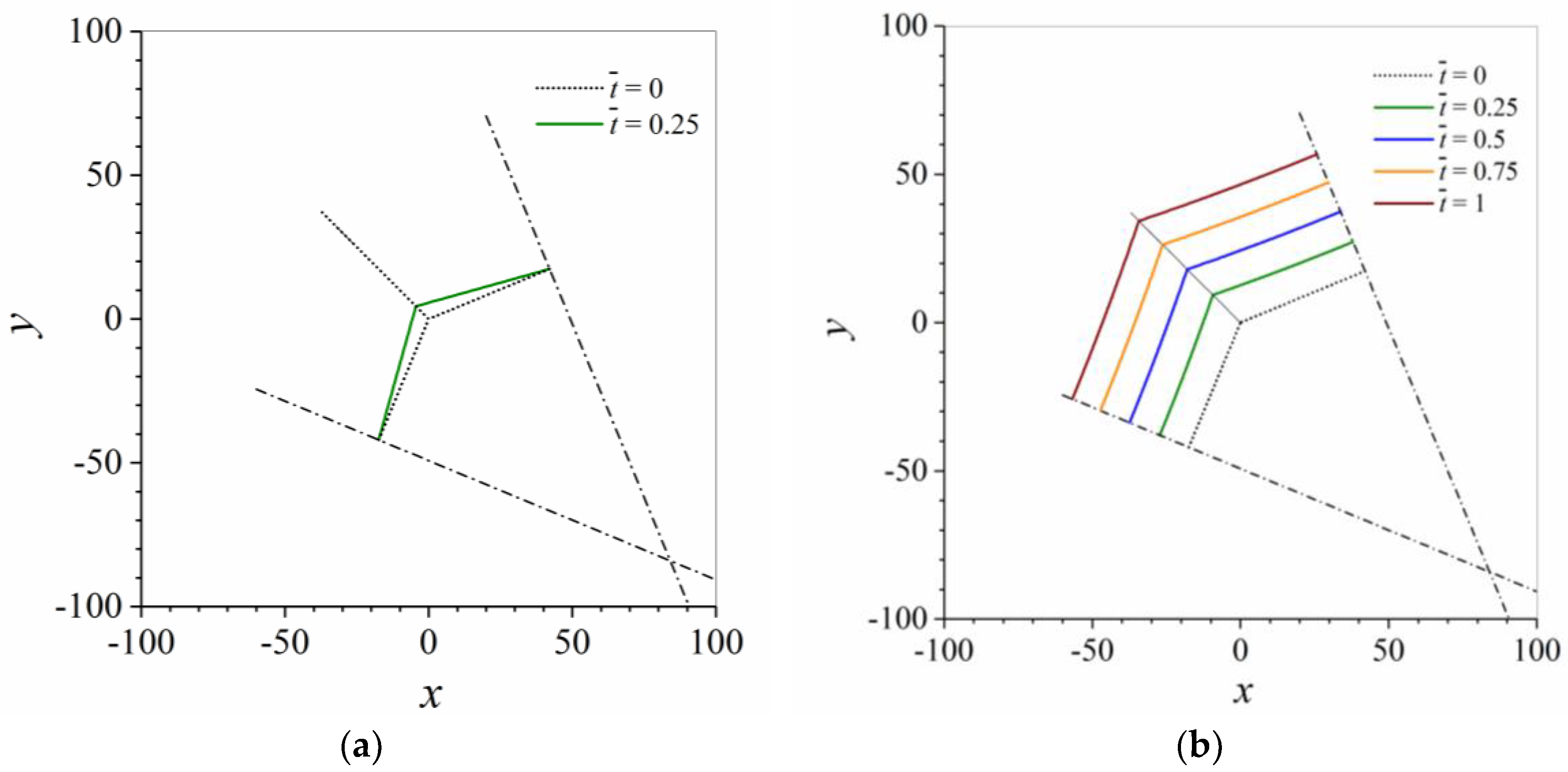
- The final time of grain extinction is the same no matter whether the 4-sided grain starts at its bulged shape obtained from the forces acting at the triple point, or if the initial grain is assumed to be quadratic (Figure 10). It is likely that this feature grain growth also applies for 3-sided or 5-sided grains.
- (5)
- The simulations confirm that equilateral triangles (Figure 18b) shrink faster than equilateral squares (Figure 7b) of the same initial size, and with the same triple point and grain boundary mobilities and energies. The growth rate of equilateral n-sided grains increases with an increasing number of edges n.
- (6)
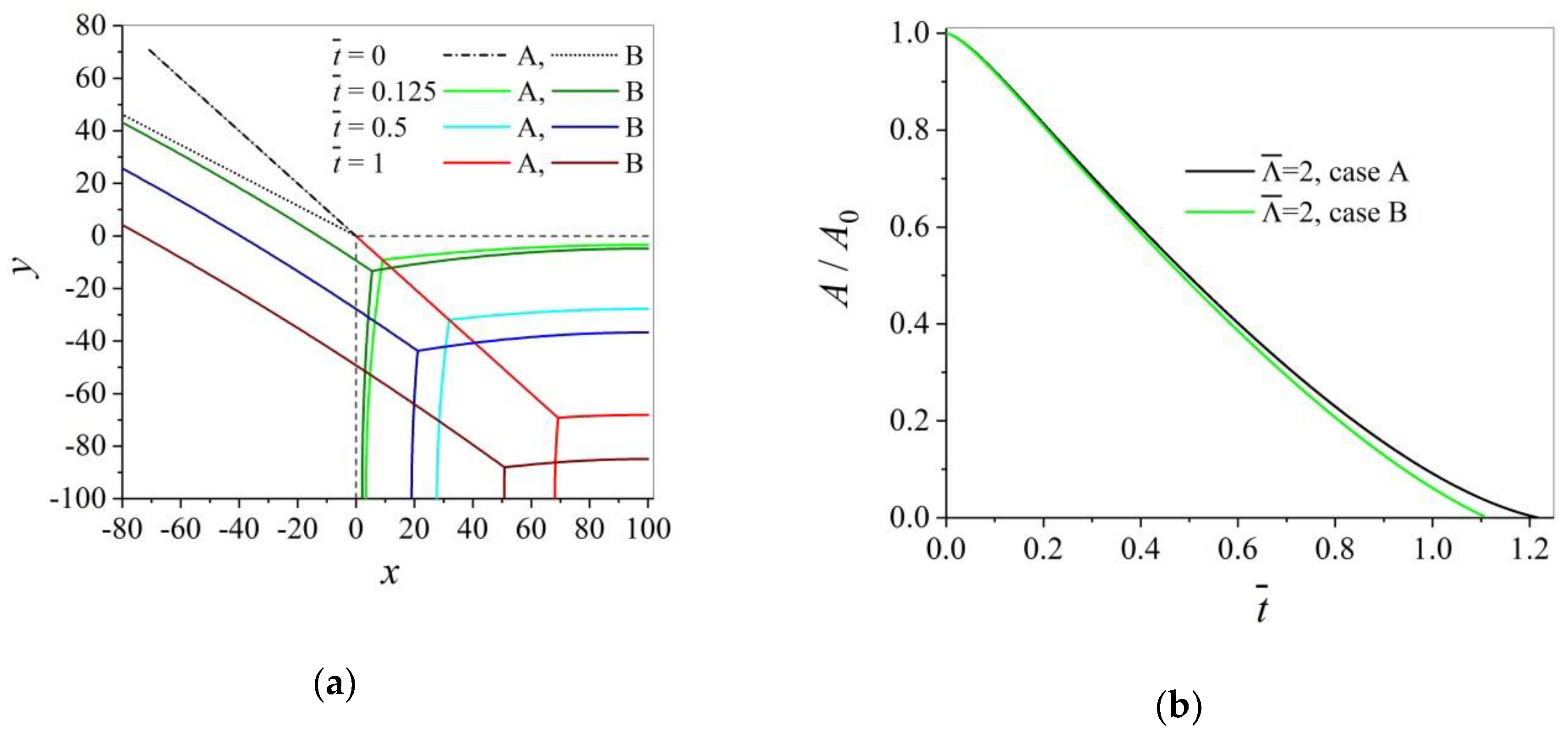
- It is shown that the initially quadratic grain becomes a rectangular shape in the case that the grain boundary pointing away from the grain is not immobile, and it does not lie in the bisecting line of the other grain boundaries. The shrinkage of the area, however, is practically the same for both cases. Only the last stage is slightly faster in the case that the rectangular shaped grain is almost degenerated to a line compared to the case with the conserved symmetry of the grain.
- (7)
- It is observed that a larger number of different n-sided polygonal grains introduced into the grain boundary network (squares, hexagons and dodecagons compared to octagons and squares) results in a more realistic evolution of the grain network. The initially equilateral hexagonal grains change their shape, due to the shrinkage of the initially quadratic grains, and due to the growth of the initially dodecagonal grains. It is worth noting that a change from a grain boundary network with 4-sided grains to one containing even more unstable 3-sided grains takes place during the minimization of grain boundary energy in the system. This topological change occurs without forming quadruple junctions in contrast to a further possible topological change described in reference [39].
- (8)
- In contrast to the shrinkage of regular n-sided grains with infinite triple junction mobilites, the shrinkage of regular n-sided grains with different triple junction mobilites results in a deformed n-sided grain, where the triple points do not migrate on straight lines, but follow complicated curved trajectories.
5. Conclusions and Outlook
- Both, the shrinkage of n-sided grains with n < 6 and the growth of grains with n > 6 is calculated depending on a finite triple junction mobility expressed by a dimensionless quantity , independent of grain size. The numerical results agree very well with the modified analytical solution. It is confirmed that the area A of the grain containing triple junctions with high mobilities decreases linearly in time for n = 4. In case of triple junctions with low mobilities, the grain radius R shrinks linearly in time, except for the very last stage.
- A triple junction-grain boundary “unit cell” is constructed in order to tessellate the plane by square shaped grains surrounded by hexagonal and dodecagonal grains. In contrast to the square-shaped grain surrounded by hexagons, an additional topological change is observed for this more realistic initial microstructure.
- It is demonstrated that different triple junction mobilities have the potential to break an initially assumed symmetry of the grain topology completely, and thereby may lead to rather complex, strongly time dependent grain structure topologies.
Author Contributions
Funding
Conflicts of Interest
References
- Han, J.; Kwiatkowski da Silva, A.; Ponge, D.; Raabe, D.; Lee, S.-M.; Lee, Y.-K.; Lee, S.-I.; Hwang, B. The effects of prior austenite grain boundaries and microstructural morphology on the impact toughness of intercritically annealed medium Mn steel. Acta Mater. 2017, 122, 199–206. [Google Scholar] [CrossRef]
- Mukherjee, M.; Prahl, U.; Bleck, W. Modelling the strain-induced precipitation kinetics of vanadium carbonitride during hot working of precipitation-hardened Ferritic–Pearlitic steels. Acta Mater. 2014, 71, 234–254. [Google Scholar] [CrossRef]
- Lu, Q.; Xu, W.; van der Zwaag, S. Designing new corrosion resistant ferritic heat resistant steel based on optimal solid solution strengthening and minimisation of undesirable microstructural components. Compd. Mater. Sci. 2014, 84, 198–205. [Google Scholar] [CrossRef]
- Schnitzer, R.; Radis, R.; Nöhrer, M.; Schober, M.; Hochfellner, R.; Zinner, S.; Povoden-Karadeniz, E.; Kozeschnik, E.; Leitner, H. Reverted austenite in PH 13-8 Mo maraging steels. Mater. Chem. Phys. 2010, 122, 138–145. [Google Scholar] [CrossRef]
- Haase, C.; Kühbach, M.; Barrales-Mora, L.A.; Wong, S.L.; Roters, F.; Molodov, D.A.; Gottstein, G. Recrystallization behavior of a high-manganese steel: Experiments and simulations. Acta Mater. 2015, 100, 155–168. [Google Scholar] [CrossRef]
- Wiessner, M.; Gamsjäger, E.; van der Zwaag, S.; Angerer, P. Effect of reverted austenite on tensile and impact strength in a martensitic stainless steel−An in-situ X-ray diffraction study. Mater. Sci. Eng. A 2017, 682, 117–125. [Google Scholar] [CrossRef]
- Bhadeshia, H.K.D.H. Recrystallisation of practical mechanically alloyed iron-base and nickel-base superalloys. Mater. Sci. Eng. A 1997, 223, 64–77. [Google Scholar] [CrossRef]
- Kolb, M.; Freund, L.P.; Fischer, F.; Povstugar, I.; Makineni, S.K.; Gault, B.; Raabe, D.; Müller, J.; Spiecker, E.; Neumeier, S.; Göken, M. On the grain boundary strengthening effect of boron in γ/γ’ Cobalt-base superalloys. Acta Mater. 2018, 145, 247–254. [Google Scholar] [CrossRef]
- Huber, D.; Werner, R.; Clemens, H.; Stockinger, M. Influence of process parameter variation during thermo-mechanical processing of an intermetallic β-stabilized γ-TiAl based alloy. Mater. Charact. 2015, 109, 116–121. [Google Scholar] [CrossRef]
- Danzer, R. On the relationship between ceramic strength and the requirements for mechanical design. J. Eur. Ceram. Soc. 2014, 34, 3435–3460. [Google Scholar] [CrossRef]
- Raabe, D. Computational Materials Science; Wiley-VCH: Weinheim, Germany, 1998; ISBN 3-527-29541-0. [Google Scholar]
- Raabe, D. Introduction of a scalable three-dimensional cellular automaton with a probabilistic switch rule for the discrete mesoscale simulation of recrystallization phenomena. Philos. Mag. A 1999, 79, 2339–2358. [Google Scholar] [CrossRef]
- Raghavan, S.; Sahay, S.S. Modeling the grain growth kinetics by cellular automaton. Mater. Sci. Eng. A 2007, 445–446, 203–209. [Google Scholar] [CrossRef]
- Anderson, M.P.; Srolovitz, D.J.; Grest, G.S.; Sahni, P.S. Computer simulation of grain growth–I. Kinetics. Acta Metall. 1984, 32, 783–791. [Google Scholar] [CrossRef]
- Rollett, A.D.; Srolovitz, D.J.; Anderson, M.P. Simulation and theory of abnormal grain growth–anisotropic grain boundary energies and mobilities. Acta Metall. 1989, 37, 1227–1240. [Google Scholar] [CrossRef]
- Ayad, A.; Wagner, F.; Rouag, N.; Rollett, A.D. Accelerated Potts model for grain growth–Application to an IF steel. Compd. Mater. Sci. 2013, 68, 189–197. [Google Scholar] [CrossRef]
- Zöllner, D. A Potts model for junction limited grain growth. Compd. Mater. Sci. 2011, 50, 2712–2719. [Google Scholar] [CrossRef]
- Chen, L.-Q. Computer simulation of the domain dynamics of a quenched system with a large number of nonconserved order parameters: The grain growth kinetics. Phys. Rev. B 1994, 50, 15752–15756. [Google Scholar] [CrossRef]
- Kamachali, R.D.; Steinbach, I. 3-D phase-field simulation of grain growth: Topological analysis versus mean-field approximations. Acta Mater. 2012, 60, 2719–2728. [Google Scholar] [CrossRef]
- Moelans, N.; Wendler, F.; Nestler, B. Comparative study of two phase-field models for grain growth. Compd. Mater. Sci. 2009, 46, 479–490. [Google Scholar] [CrossRef]
- Chang, K.; Chen, L.-Q.; Krill, C.E., III; Moelans, N. Effect of strong nonuniformity in grain boundary energy on 3-D grain growth behavior: A phase-field simulation study. Comput. Mater. Sci. 2017, 127, 67–77. [Google Scholar] [CrossRef]
- Lazar, E.A.; MacPherson, R.D.; Srolovitz, D.J. A more accurate two-dimensional grain growth algorithm. Acta Mater. 2010, 58, 364–372. [Google Scholar] [CrossRef]
- Mellbin, Y.; Hallberg, H.; Ristinmaa, M. An extended vertex and crystal plasticity framework for efficient multiscale modeling of polycrystalline materials. Int. J. Solids Struct. 2017, 125, 150–160. [Google Scholar] [CrossRef]
- Elsey, M.; Esedoglu, S.; Smereka, P. Simulations of anisotropic grain growth: Efficient algorithms and misorientation distributions. Acta Mater. 2013, 61, 2033–2043. [Google Scholar] [CrossRef]
- Bernacki, M.; Castel, Y.; Coupez, T.; Logé, R.E. Level set framework for the numerical modelling of primary recrystallization in polycrystalline materials. Scr. Mater. 2008, 58, 1129–1132. [Google Scholar] [CrossRef]
- Bernacki, M.; Logé, R.E.; Coupez, T. Level set framework for the finite-element modelling of recrystallization and grain growth in polycrystalline materials. Scr. Mater. 2011, 64, 525–528. [Google Scholar] [CrossRef]
- Fausty, J.; Bozzolo, N.; Munoz, D.P.; Bernacki, M. A novel level-set finite element formulation for grain growth with heterogeneous grain boundary energies. Mater. Des. 2018, 160, 578–590. [Google Scholar] [CrossRef]
- Hallberg, H.; Zhu, Y. Stability of grain boundary texture during isothermal grain growth in UO2 considering anisotropic grain boundary properties. J. Nucl. Mater. 2015, 465, 664–673. [Google Scholar] [CrossRef]
- Hillert, M. Analytical treatments of normal grain growth. Mater. Sci. Forum 1996, 204–206, 3–18. [Google Scholar] [CrossRef]
- Rios, P.R.; Glicksman, M.E. Topological and metrical analysis of normal grain growth in three dimensions. Acta Mater. 2007, 55, 1565–1571. [Google Scholar] [CrossRef]
- Fischer, F.D.; Svoboda, J.; Hackl, K. Modelling the kinetics of a triple junction. Acta Mater. 2012, 60, 4704–4711. [Google Scholar] [CrossRef]
- Barrales-Mora, L.A.; Gottstein, G.; Shvindlerman, L.S. Effect of a finite boundary junction mobility on the growth rate of grains in two-dimensional polycrystals. Acta Mater. 2012, 60, 546–555. [Google Scholar] [CrossRef]
- Johnson, A.E.; Voorhees, P.W. A phase-field model for grain growth with trijunction drag. Acta Mater. 2014, 67, 134–144. [Google Scholar] [CrossRef]
- Chang, K.; Moelans, N. Effect of grain boundary energy anisotropy on highly textured grain structures studied by phase-field simulations. Acta Mater. 2014, 64, 443–454. [Google Scholar] [CrossRef]
- Mießen, C.; Liesenjohann, M.; Barrales-Mora, L.A.; Shvindlerman, L.S.; Gottstein, G. An advanced level set approach to grain growth–Accounting for grain boundary anisotropy and finite triple junction mobility. Acta Mater. 2015, 99, 39–48. [Google Scholar] [CrossRef]
- Weygand, D.; Bréchet, Y.; Lépinoux, J. Mechanisms and Kinetics of Recrystallisation: A Two Dimensional Vertex Dynamics Simulation. Interface Sci. 2001, 9, 311–317. [Google Scholar] [CrossRef]
- Barrales-Mora, L.A.; Mohles, V.; Shvindlerman, L.S.; Gottstein, G. Effect of a finite quadruple junction mobility on grain microstructure evolution: Theory and simulation. Acta Mater. 2008, 56, 1151–1164. [Google Scholar] [CrossRef]
- Gottstein, G.; Ma, Y.; Shvindlerman, L.S. Triple junction motion and grain microstructure evolution. Acta Mater. 2005, 53, 1535–1544. [Google Scholar] [CrossRef]
- Barrales-Mora, L.A. 2D vertex modeling for the simulation of grain growth and related phenomena. Math. Comput. Simul 2010, 80, 1411–1427. [Google Scholar] [CrossRef]
- Streitenberger, P.; Zöllner, D. Triple junction controlled grain growth in two-dimensional polycrystals and thin films: Self-similar growth laws and grain size distributions. Acta Mater. 2014, 78, 114–124. [Google Scholar] [CrossRef]
- Ito, K. Two-dimensional simulation of the effect of the migration of triple junctions on crystallographic texture evolution through grain coarsening. Comput. Mat. Sci. 2012, 62, 117–125. [Google Scholar] [CrossRef]
- Novikov, V.Y. Impact of grain boundary junctions on grain growth in polycrystals with different grain sizes. Mater. Lett. 2008, 62, 2067–2069. [Google Scholar] [CrossRef]
- Zöllner, D.; Rios, P.R. Investigating the von Neumann-Mullins relation under triple junction dragging. Acta Mater. 2014, 70, 290–297. [Google Scholar] [CrossRef]
- Streitenberger, P.; Zöllner, D. von Neumann–Mullins-type evolution equations for triple and quadruple junction controlled grain growth. Scr. Mater. 2015, 109, 52–55. [Google Scholar] [CrossRef]
- Zöllner, D. Influence of the local topology on the von Neumann-Mullins-relation. Comput. Mater. Sci. 2017 137, 67–74. [CrossRef]
- Upmanyu, M.; Srolovitz, D.J.; Shvindlerman, L.S.; Gottstein, G. Triple Junction Mobility: A Molecular Dynamics Study. Interface Sci. 1999, 7, 307–319. [Google Scholar] [CrossRef]
- Holm, E.A.; Hassold, G.N.; Miodownik, M.A. On misorientation distribution evolution during anisotropic grain growth. Acta Mater. 2001, 49, 2981–2991. [Google Scholar] [CrossRef]
- Dillon, S.J.; Rohrer, G.S. Mechanism for the development of anisotropic grain boundary character distributions during normal grain growth. Acta Mater. 2009, 57, 1–7. [Google Scholar] [CrossRef]
- Mullins, W.W. Two dimensional motion of idealized grain boundaries. J. Appl. Phys. 1956, 27, 900–904. [Google Scholar] [CrossRef]
- Glicksman, M.E. Analysis of 3-D network structures. Phil. Mag. 2005, 85, 3–31. [Google Scholar] [CrossRef]
- Glicksman, M.E.; Rios, P.R. Minimal network partitions using average N-hedra. Phil. Mag. 2007, 87, 189–208. [Google Scholar] [CrossRef]
- Rios, P.R.; Glicksman, M.E. Topological theory of abnormal grain growth. Acta Mater. 2006, 54, 5313–5321. [Google Scholar] [CrossRef]



















© 2018 by the authors. Licensee MDPI, Basel, Switzerland. This article is an open access article distributed under the terms and conditions of the Creative Commons Attribution (CC BY) license (http://creativecommons.org/licenses/by/4.0/).
Share and Cite
Gamsjäger, E.; Ogris, D.M.; Svoboda, J. Kinetics of Grain Boundary Networks Controlled by Triple Junction and Grain Boundary Mobility. Metals 2018, 8, 977. https://doi.org/10.3390/met8120977
Gamsjäger E, Ogris DM, Svoboda J. Kinetics of Grain Boundary Networks Controlled by Triple Junction and Grain Boundary Mobility. Metals. 2018; 8(12):977. https://doi.org/10.3390/met8120977
Chicago/Turabian StyleGamsjäger, Ernst, Daniel M. Ogris, and Jiří Svoboda. 2018. "Kinetics of Grain Boundary Networks Controlled by Triple Junction and Grain Boundary Mobility" Metals 8, no. 12: 977. https://doi.org/10.3390/met8120977
APA StyleGamsjäger, E., Ogris, D. M., & Svoboda, J. (2018). Kinetics of Grain Boundary Networks Controlled by Triple Junction and Grain Boundary Mobility. Metals, 8(12), 977. https://doi.org/10.3390/met8120977
