Influence of Temperature-Dependent Properties of Aluminum Alloy on Evolution of Plastic Strain and Residual Stress during Quenching Process
Abstract
:1. Introduction
2. Methods
2.1. Theoretical Analysis
2.2. Quenching Experiment: Material and Heat Treatment
2.3. Numerical Simulation
3. Results and Analysis
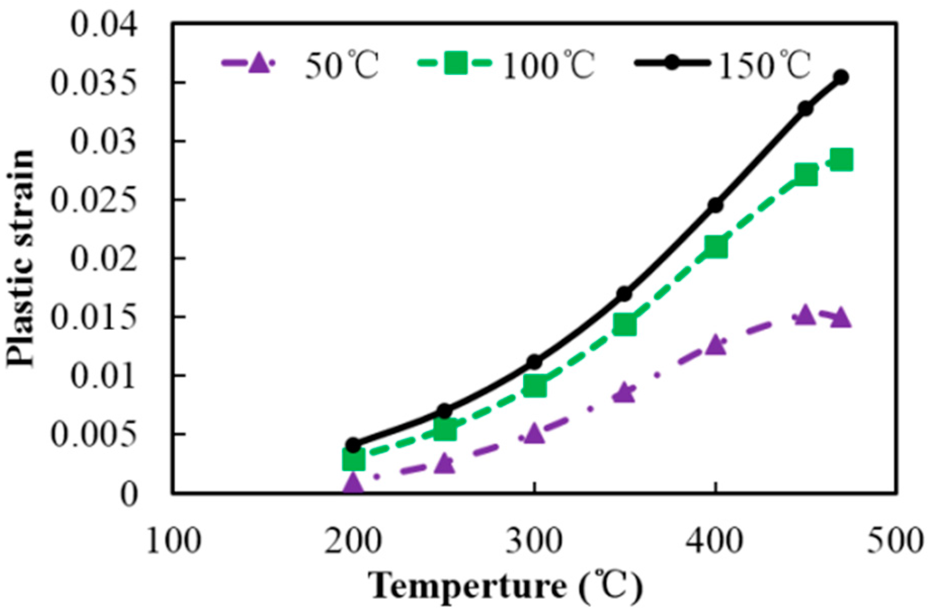
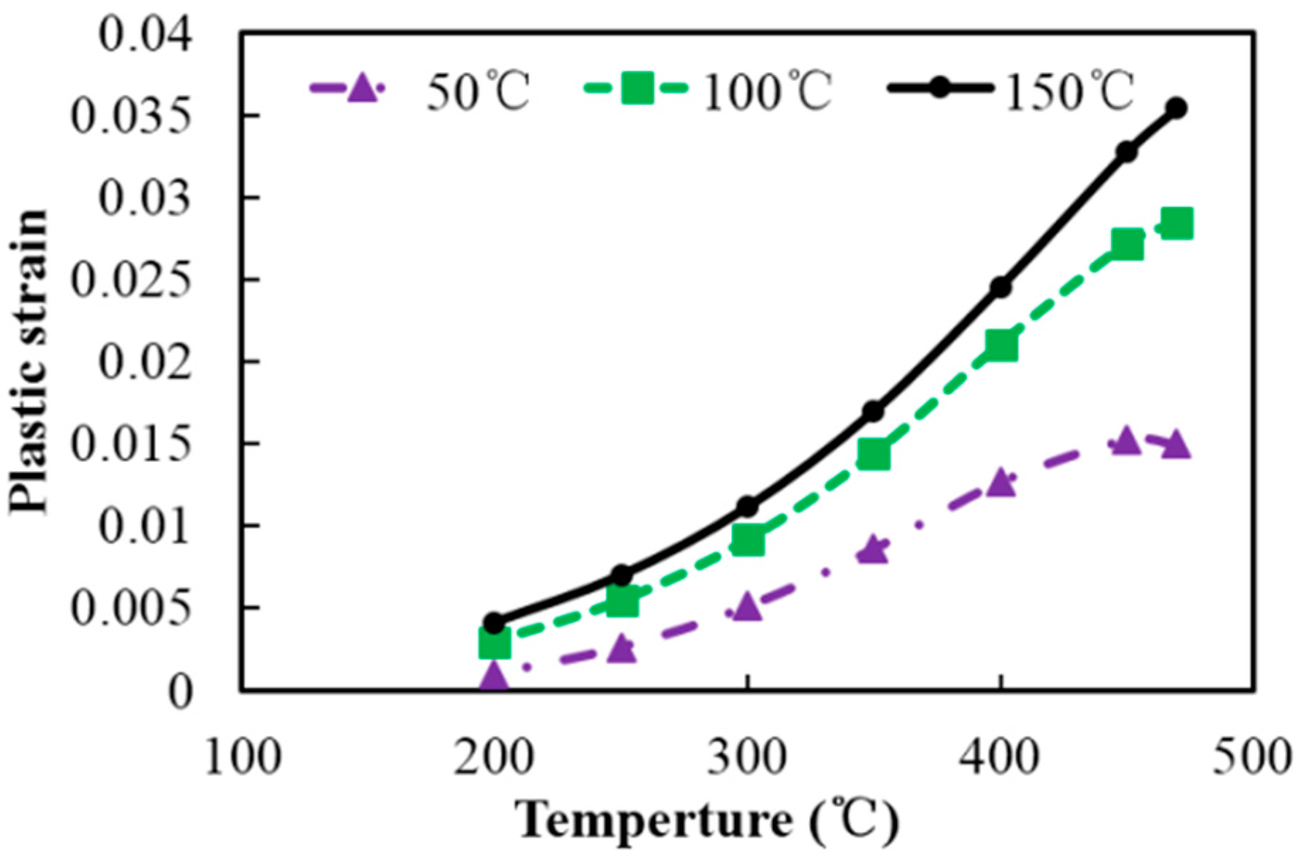
3.1. Influence of Material Properties at Different Temperatures on the Evolution of Stress and Strain
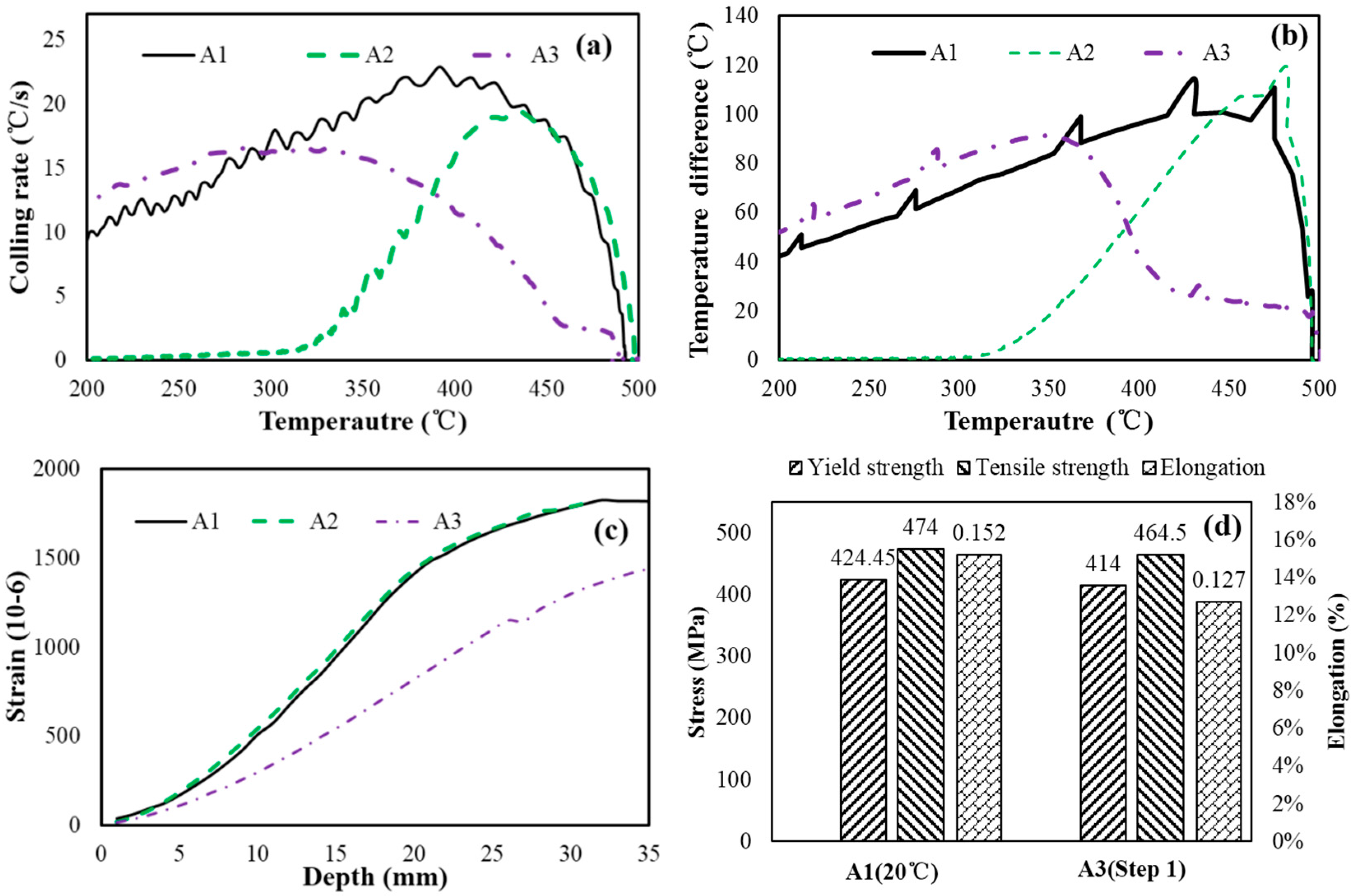
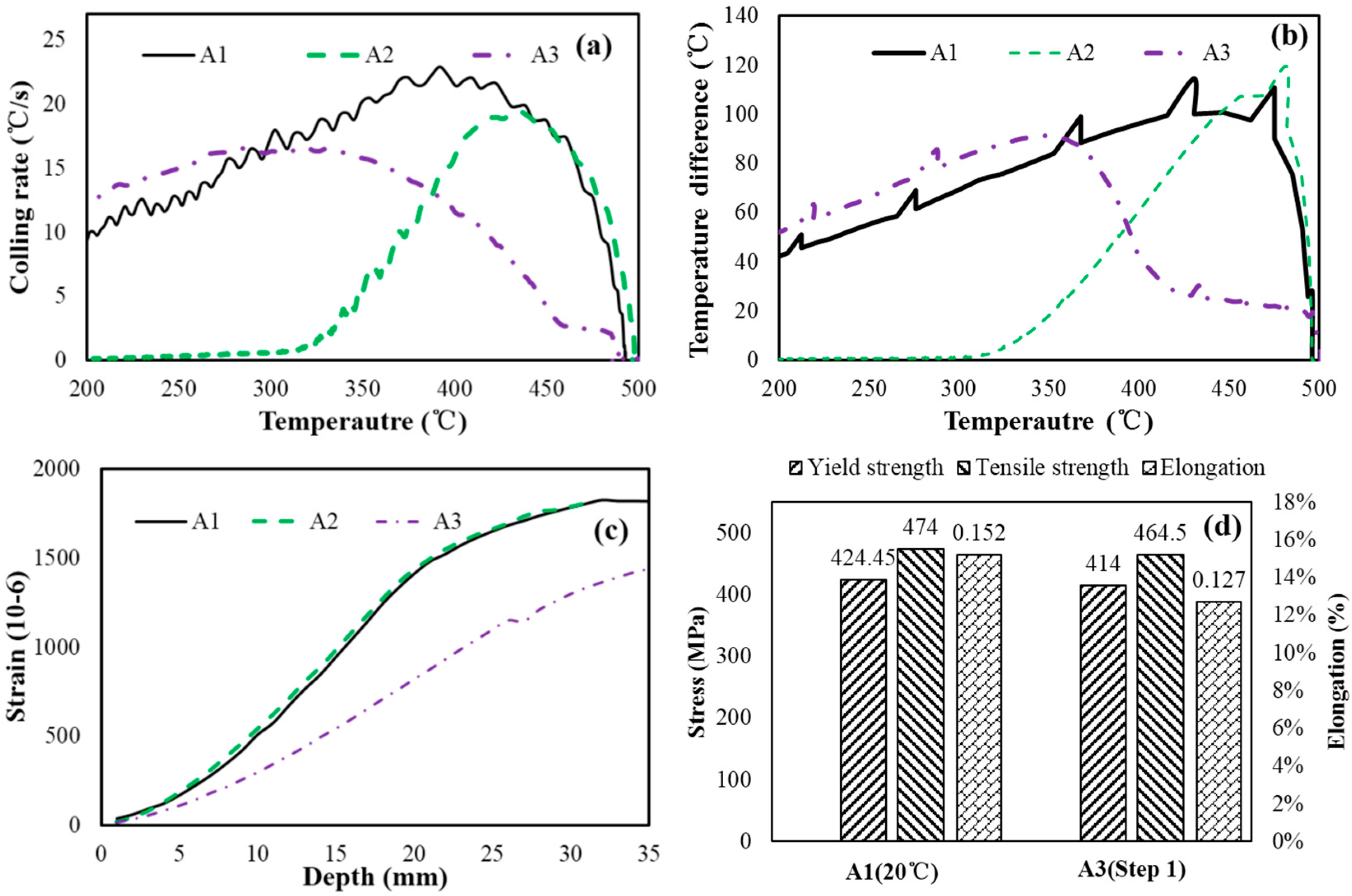
3.2. Influence of Cooling Rates at Different Temperatures on Residual Stress
4. Discussion
5. Conclusions
Acknowledgments
Author Contributions
Conflicts of Interest
References
- Xiao, Y.; Xie, S.; Liu, J.; Wang, T. Practical Handbook of Aluminum Technology; Metallurgical Industry Press: Beijing, China, 2005. [Google Scholar]
- Li, S.; Huang, Z.; Chen, W.; Liu, Z.; Qi, W. Quench sensitivity of 6351 aluminum alloy. Trans. Nonferr. Met. Soc. 2013, 23, 46–52. [Google Scholar] [CrossRef]
- Robinson, J.S.; Tanner, D.A.; Petegem, S.V.; Evans, A. Influence of quenching and aging on residual stress in Al–Zn–Mg–Cu alloy 7449. Mater. Sci. Technol. 2013, 28, 420–430. [Google Scholar] [CrossRef]
- Dolan, G.P.; Robinson, J.S. Residual stress reduction in 7175-T73, 6061-T6 and 2017A-T4 aluminium alloys using quench factor analysis. J. Mater. Process. Technol. 2004, 153, 346–351. [Google Scholar] [CrossRef]
- Shalvandi, M.; Hojjat, Y.; Abdullah, A.; Asadi, H. Influence of ultrasonic stress relief on stainless steel 316 specimens: A comparison with thermal stress relief. Mater. Des. 2013, 46, 713–723. [Google Scholar] [CrossRef]
- Citarella, R.; Carlone, P.; Lepore, M.; Sepe, R. Hybrid technique to assess the fatigue performance of multiple cracked FSW joints. Eng. Fract. Mech. 2016, 162, 38–50. [Google Scholar] [CrossRef]
- Lepore, M.A.; Citarella, R.; Carlone, P.; Sepe, R. DBEM crack propagation in friction stir welded aluminum joints. Adv. Eng. Softw. 2015, 101, 50–59. [Google Scholar]
- Citarella, R.G.; Cricrì, G.; Lepore, M.; Perrella, M. Assessment of Crack Growth from a Cold Worked Hole by Coupled FEM-DBEM Approach. Key Eng. Mater. 2013, 577–578, 669–672. [Google Scholar] [CrossRef]
- Koç, M.; Culp, J.; Altan, T. Prediction of residual stresses in quenched aluminum blocks and their reduction through cold working processes. J. Mater. Process. Technol. 2006, 174, 342–354. [Google Scholar] [CrossRef]
- Dong, Y.B.; Shao, W.Z.; Jiang, J.T.; Zhang, B.Y.; Zhen, L. Minimization of Residual Stress in an Al-Cu Alloy Forged Plate by Different Heat Treatments. J. Mater. Eng. Perform. 2015, 24, 2256–2265. [Google Scholar] [CrossRef]
- Jiang, G.; He, W.; Zheng, J. Mechanism and experimental research on high frequency vibratory stress relief. J. Zhejiang Univ. Eng. Sci. 2009, 43, 1269–1272. [Google Scholar]
- McGoldrick, R.T.; Saunders, H.E. Some experiments in stress-relieving castings and welded structures by vibration. J. Am. Soc. Nav. Eng. 1943, 55, 589–609. [Google Scholar] [CrossRef]
- Yang, Y.P. Understanding of Vibration Stress Relief with Computation Modeling. J. Mater. Eng. Perform. 2008, 18, 856–862. [Google Scholar] [CrossRef]
- Sun, Y.; Jiang, F.; Zhang, H.; Su, J.; Yuan, W. Residual stress relief in Al–Zn–Mg–Cu alloy by a new multistage interrupted artificial aging treatment. Mater. Des. 2016, 92, 281–287. [Google Scholar] [CrossRef]
- Zhang, Y.; Yi, Y.; Huang, S.; Dong, F. Influence of quenching cooling rate on residual stress and tensile properties of 2A14 aluminum alloy forgings. Mater. Sci. Eng. A 2016, 674, 658–665. [Google Scholar] [CrossRef]
- Li, H.Y.; Zeng, C.T.; Han, M.S.; Liu, J.J.; Lu, X.C. Time-temperature-property curves for quench sensitivity of 6063 aluminum alloy. Trans. Nonferr. Met. Soc. 2013, 23, 38–45. [Google Scholar] [CrossRef]
- Nallathambi, A.K.; Kaymak, Y.; Specht, E.; Bertram, A. Sensitivity of material properties on distortion and residual stresses during metal quenching processes. J. Mater. Process. Technol. 2010, 210, 204–211. [Google Scholar] [CrossRef]
- Chen, M. Elasticity and Plasticity, 1st ed.; China Science Publishing: Beijing, China, 2007; p. 421. [Google Scholar]
- Dong, X.; Zheng, T.; Yang, W.; Xiao, J. Coupled Thermal-mechanical Analysis of the Heat-treatment Process of an Aluminum Alloy Forging. Hot Work. Technol. 2002, 13, 17–18. [Google Scholar]
- Nervi, S.; Szabó, B.A. On the estimation of residual stresses by the crack compliance method. Comput. Method Appl. Mach. Eng. 2007, 196, 3577–3584. [Google Scholar] [CrossRef]
- Liu, W.; Guo, L.; Ma, Y.; Wang, J.; Liu, D. Microstructure and flow behavior of 2A14 aluminum alloy during hot deformation. Chin. J. Nonferr. Met. 2013, 23, 2091–2097. [Google Scholar]
- Zhao, Y.; Lin, S.; He, Z.; Wu, L. Numerical simulation of 2014 aluminium alloy friction stir welding process. Chin. J. Mech. Eng. 2006, 42, 92–97. [Google Scholar] [CrossRef]
- Tanner, D.A.; Robinson, J.S. Reducing residual stress in 2014 aluminium alloy die forgings. Mater. Des. 2008, 29, 1489–1496. [Google Scholar] [CrossRef]










| T | Temperature |
| ∆T | temperature difference between the temperature of the unit and reference temperature 0 °C |
| Tg | temperature difference between the two units of the model |
| thermal expansion coefficient | |
| E | elastic modulus |
| Ep | plastic modulus |
| σ0.2 | yield strength |
| i | number of the unit |
| εT | thermal expansion strain |
| ε | total strain |
| εe | elastic strain |
| εp | plastic strain |
| σ | thermal stress |
| PEEQ | equivalent plastic strain |
| PE22 | plastic strain in y direction |
| S22 | stress in y direction |
| Temperature (°C) | 30 | 130 | 230 | 330 | 430 | 530 |
|---|---|---|---|---|---|---|
| Ep (MPa) | 9000 | 5000 | 2000 | 1000 | 400 | 200 |
| Cu | Mg | Mn | Si | Fe | Ni | Zn | Ti | Al |
|---|---|---|---|---|---|---|---|---|
| 4.28 | 0.6 | 0.81 | 0.94 | 0.15 | 0.003 | 0.01 | 0.04 | Balance |
| Samples | Solution Treatment | Quenching Technology | Ageing Treatment |
|---|---|---|---|
| A1 | 500 °C/4 h | 20 °C | 165 °C/9 h |
| A2 | 500 °C/4 h | Step 1: 20 °C Step 2: air | 165 °C/9 h |
| A3 | 500 °C/4 h | Spray quenching | 165 °C/9 h |
| Temperature (°C) | 20 | 100 | 200 | 300 | 400 | 500 |
|---|---|---|---|---|---|---|
| Conductivities (W·m−1·K−1) | 114.3 | 122.3 | 130.8 | 145.1 | 124.5 | 122.7 |
| Specific heat capacities (J·kg−1·K−1) | 809 | 860 | 897 | 922 | 872 | 985 |
| Elasticity moduli (GPa) | 81.5 | 66.2 | 49.3 | 31.0 | 25.3 | -- |
| Thermal expansion coefficients (10−5) | 2.08 | 2.19 | 2.61 | 2.70 | 2.68 | 2.73 |
| Samples Material Properties | M0 | M1 | M2 | M3 |
|---|---|---|---|---|
| Thermal expansion coefficients | -- | adjusting | -- | -- |
| Elasticity moduli | -- | -- | adjusting | -- |
| Yield strengths | -- | -- | -- | adjusting |
© 2017 by the authors. Licensee MDPI, Basel, Switzerland. This article is an open access article distributed under the terms and conditions of the Creative Commons Attribution (CC BY) license (http://creativecommons.org/licenses/by/4.0/).
Share and Cite
Zhang, Y.; Yi, Y.; Huang, S.; He, H. Influence of Temperature-Dependent Properties of Aluminum Alloy on Evolution of Plastic Strain and Residual Stress during Quenching Process. Metals 2017, 7, 228. https://doi.org/10.3390/met7060228
Zhang Y, Yi Y, Huang S, He H. Influence of Temperature-Dependent Properties of Aluminum Alloy on Evolution of Plastic Strain and Residual Stress during Quenching Process. Metals. 2017; 7(6):228. https://doi.org/10.3390/met7060228
Chicago/Turabian StyleZhang, Yuxun, Youping Yi, Shiquan Huang, and Hailin He. 2017. "Influence of Temperature-Dependent Properties of Aluminum Alloy on Evolution of Plastic Strain and Residual Stress during Quenching Process" Metals 7, no. 6: 228. https://doi.org/10.3390/met7060228
APA StyleZhang, Y., Yi, Y., Huang, S., & He, H. (2017). Influence of Temperature-Dependent Properties of Aluminum Alloy on Evolution of Plastic Strain and Residual Stress during Quenching Process. Metals, 7(6), 228. https://doi.org/10.3390/met7060228
