Abstract
Doping with additives in a Li-Mg-N-H system has been regarded as one of the most effective methods of improving hydrogen storage properties. In this paper, we prepared Li3AlH6 and evaluated its effect on the dehydrogenation properties of 2LiNH2-MgH2. Our studies show that doping with Li3AlH6 could effectively lower the dehydrogenation temperatures and increase the hydrogen content of 2LiNH2-MgH2. For example, 2LiNH2-MgH2-0.1Li3AlH6 can desorb 6.43 wt % of hydrogen upon heating to 300 °C, with the onset dehydrogenation temperature at 78 °C. Isothermal dehydrogenation testing indicated that 2LiNH2-MgH2-0.1Li3AlH6 had superior dehydrogenation kinetics at low temperature. Moreover, the release of byproduct NH3 was successfully suppressed. Measurement of the thermal diffusivity suggests that the enhanced dehydrogenation properties may be ascribed to the fact that doping with Li3AlH6 could improve the heat transfer for solid–solid reaction.
1. Introduction
Safe and efficient storage of hydrogen is one of the major technological challenges associated with the use of hydrogen as an energy carrier, which is a vitally important process for the subsequent transition to the so called “hydrogen economy” [1]. Hydrogen can be stored as a compressed gas or as a cryogenic liquid; however, solid-state materials have the great potential to provide significantly high hydrogen storage densities, which draws a significant amount of research interest [2]. A long list of materials with a much higher hydrogen density have been synthesized and investigated during the past few decades. Several types of such materials mainly include microporous media that can physically adsorb hydrogen molecules at low temperatures [3], intermetallic hydrides that absorb atomic hydrogen as an interstitial, and complex hydrides that chemically absorb/desorb hydrogen [4,5]. Owing to the high hydrogen content, lightweight complex hydrides mostly containing Li, B, Na, Mg, and Al, such as alanates [AlH4]−, amides [NH2]−, amidoboranes [NH2BH3]−, and borohydrides [BH4]−, are considered to be particularly promising as hydrogen storage materials [6,7,8,9,10,11,12,13,14,15,16,17]. The extensive studies of metal-N-H systems in recent years were initially prompted by Chen and coworkers, who reported the absorption and desorption of hydrogen gas by lithium nitride (Li3N) at high temperatures (195–255 °C) [18] according to Equation (1).
Li3N + H2 ↔ Li2NH + LiH + H2 ↔ LiNH2 + 2LiH
The second step in Equation (1) with about 6.5 wt % of hydrogen was given much attention due to a fairly good reversibility. However, LiNH2-LiH suffers from high operating temperatures and an emission of ammonia. To address these problems, the substitution of LiH by MgH2 to form a 2LiNH2-MgH2 system has a remarkable destabilization effect [19]. Complete dehydrogenation of the mixture of 2LiNH2-MgH2 produces a new ternary imide of Li2Mg(NH)2, and the following rehydrogenation of Li2Mg(NH)2 is converted to a mixture of 2LiH-Mg(NH2)2 due to the thermodynamic stability. The whole reaction path can be expressed by Equation (2):
2LiNH2 + MgH2 → Li2Mg(NH)2 + 2H2 ↔ Mg(NH2)2 + 2LiH
Unfortunately, the dehydrogenation temperature of the 2LiNH2-MgH2 system discussed above is still too high for practical applications (<100 °C) due to its high kinetic barriers. Many studies have been reported to focus on further altering the thermodynamics/kinetics of the 2LiNH2-MgH2 system [20,21,22,23]. Doping with high-performance additives exhibits an excellent effect on reducing the temperature for hydrogen uptake and release. Lithium aluminum hydride (LiAlH4) has a high hydrogen storage capacity (10.5 wt % H2) and an excellent performance of hydrogen desorption at low temperature; thus, it has received significant attention from researchers. LiAlH4 decomposes through a two-step process into Al, LiH, and H2 at T < 250 °C through the intermediate Li3AlH6, according to reaction scheme (3) [24,25,26,27,28,29].
LiAlH4 → 1/3Li3AlH6 + 2/3Al + H2 → LiH + Al + 3/2H2
In particular, hexahydride of lithium alanate (Li3AlH6) releases hydrogen according to reaction (4) [13].
Li3AlH6 → 3LiH + Al + 3/2H2
Hydrogen release from the LiAlH4-LiNH2 system was first reported by Xiong and coworkers [30]. It was found that LiNH2 could effectively destabilize LiAlH4 during the dehydrogenation process. The overall reaction of hydrogen release from this mixture was proposed as given by reaction (5).
LiAlH4 + 2LiNH2 → Li3AlN2 + 4H2
Lu et al. [31] found that the reversible storage capacity of the Li3AlH6-3LiNH2 system is increased to 7.0 wt % of hydrogen under 300 °C, according to the following reaction (6):
Li3AlH6 + 3LiNH2 ↔ Al + 3Li2NH + 9/2H2
The aforementioned reactions between lithium aluminum hydrides and lithium amide demonstrate the great potentials for the approach of destabilizing alanate materials with amides. In this study, the additives are focused on the catalytic enhancement of the dehydrogenation of 2LiNH2-MgH2. We prepared Li3AlH6 and examined its effect on the hydrogen storage properties of 2LiNH2-MgH2. The dehydrogenation properties and the thermal diffusivity of the combined system are discussed.
2. Materials and Methods
2.1. Sample Preparation
Li3AlH6 sample was prepared by mechanically milling LiH (95% purity, Sigma-Aldrich, St. Louis, MO, USA) and LiAlH4 (95% purity, Sigma-Aldrich) in a molar ratio of 2:1 on a Retsch PM400 planetary mill (Haan, Germany) at 200 rpm under 0.1 MPa of an argon atmosphere. The ball-to-powder weight ratio was set to about 30:1. 2LiNH2-MgH2-XLi3AlH6 (X = 0, 0.05, 0.10, 0.15, and 0.20) composites were prepared by mechanically milling LiNH2 (95% purity, Sigma-Aldrich) and MgH2 (98% purity, Sigma-Aldrich) with and without Li3AlH6 additive. The ball-to-powder weight ratio was set to be about 60:1. To minimize the temperature increment of the samples during the ball milling process, there was a 30 s pause for each 2 min of milling. The total milling time was 20 h. All the sample handling was performed in an Ar-filled glove box, in which the typical H2O/O2 levels were below 1 ppm.
2.2. Structural Characterization and Property Evaluation
Temperature-programmed desorption (TPD) properties were measured on an automated chemisorption analyzer (ChemBet Pulsar TPD, Quantachrome, Boynton Beach, FL, USA). The sample was heated up to 300 °C at a rate of 5 °C/min in a reactor in flowing Ar gas. The temperature-dependence of hydrogen desorption was performed on a thermogravimetric apparatus (TG, SETSYS Evolution, SETARAM Instrumentation, Lyon, France)-mass spectrometer (MS, GAM 200, InProcess Instruments, Bremen, Germany) combined system to analyze the evolved gas composition. The sample was heated up to 300 °C at a rate of 5 °C/min in flowing Ar gas. The dehydrogenation capacity based on volumetric release was measured on a HyEnergy PCTPRO-2000 Sieverts-type apparatus (SETARAM Instrumentation, Lyon, France). Approximately 150 mg of sample powder was loaded into the sample holder and heated at 2 °C/min from room temperature to 300 °C initially under dynamic vacuum.
Structural identification of the phases in the samples at different stages was performed on a Bruker D8 Advance diffractometer (Cu Kα radiation, 40 kV and 40 mA, Karlsruhe, Germany). The thermal diffusivity of the samples was measured on a LINSEIS XFA 500 instrument (Linseis Messgeräte GmbH, Selb, Germany) under dynamic vacuum at different temperatures of 30, 60, 90, and 120 °C.
3. Results and Discussion
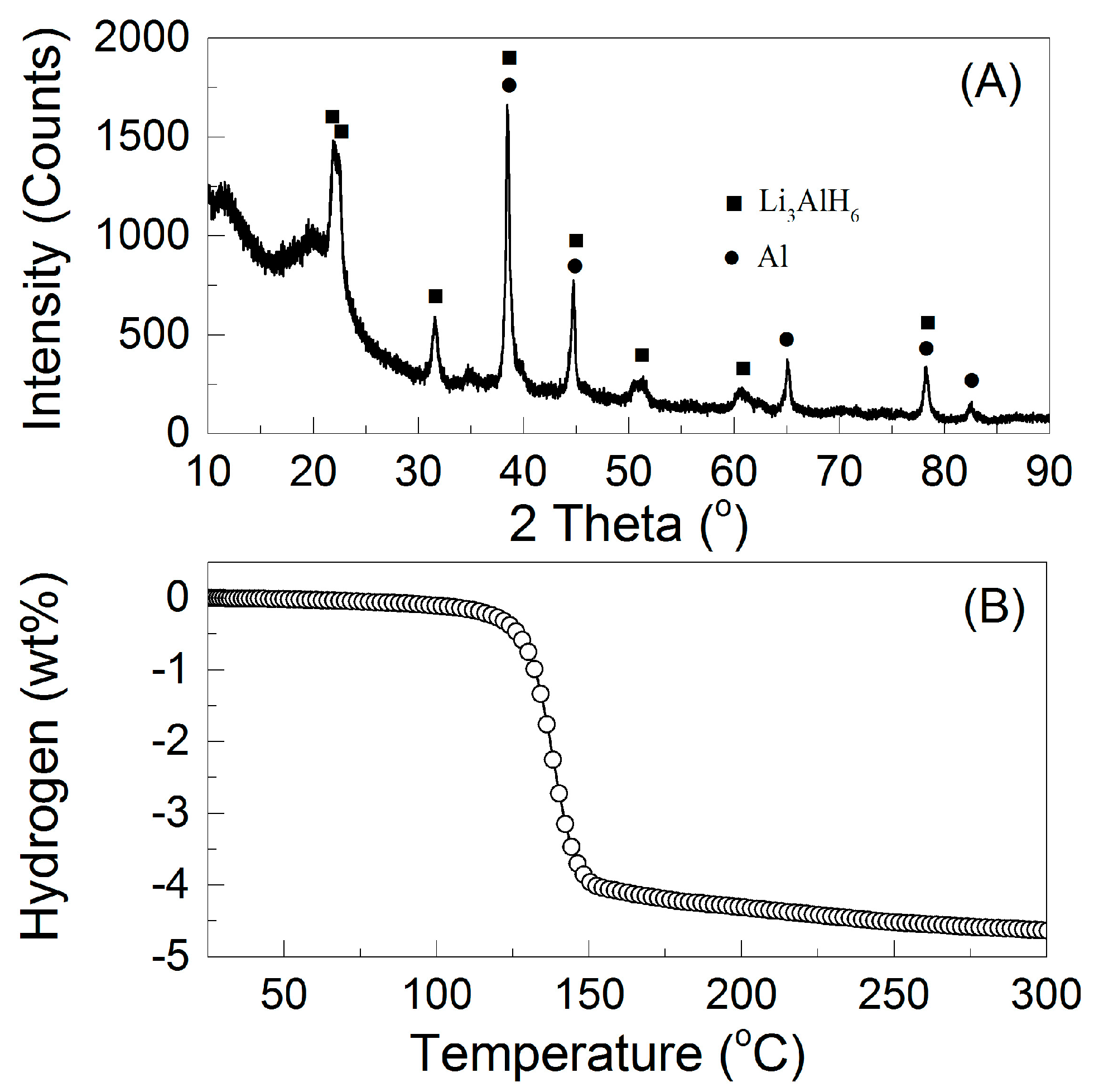
Figure 1A presents the XRD patterns for the as-prepared Li3AlH6 sample. It can be observed that the majority of peaks can be ascribed to Li3AlH6, accompanied by a few peaks from impurities of metallic Al. Moreover, the thermal gas desorption properties of the Li3AlH6 sample were determined by PCTPRO-2000 and are shown in Figure 1B. A total of 4.63 wt % of hydrogen was liberated from Li3AlH6 sample when heated up to 300 °C, which is consistent with the previous studies [7,13]. These results illustrate that Li3AlH6 was successfully prepared through ball milling the mixture of 2LiH/LiAlH4.
Figure 1.
(A) XRD pattern and (B) Non-isothermal dehydrogenation of the as-prepared Li3AlH6 sample.
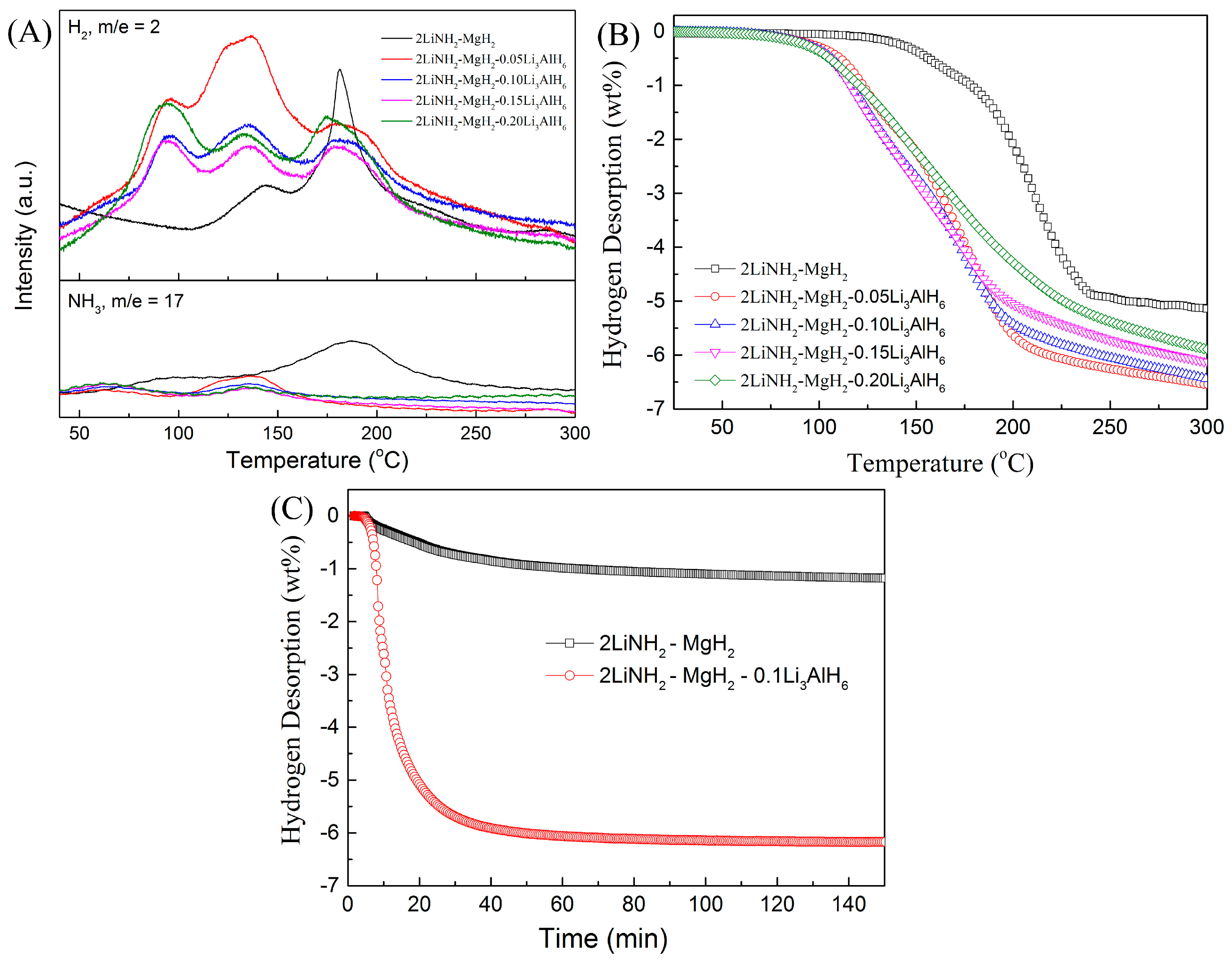
As shown in Figure 2A, the hydrogen desorption performance of the as-prepared 2LiNH2-MgH2-XLi3AlH6 was first evaluated by means of TPD and MS. The operating temperatures for the dehydrogenation of the 2LiNH2-MgH2 system were significantly reduced through the addition of Li3AlH6. Interestingly, the dehydrogenation process of the samples with X = 0.05–0.20 exhibited three peaks, which is different from the pristine sample, with only one desorption peak at 184 °C. For the 2LiNH2-MgH2-0.1Li3AlH6 sample, three dehydrogenation peaks were seen at temperatures of 96, 128, and 180 °C, respectively. A reduction of 52 °C in the first dehydrogenation peak was achieved as compared to the pristine sample of 2LiNH2-MgH2 [32]. MS examination shows that 2LiNH2-MgH2 generated gaseous products including hydrogen and ammonia in a wide heating process. After the addition of Li3AlH6, the ammonia emission in the heating process was dramatically suppressed and almost completely inhibited for the sample of 2LiNH2-MgH2-0.1Li3AlH6.
Figure 2.
(A) Temperature-dependent gas (hydrogen (top) and ammonia (bottom)) released and (B) non-isothermal dehydrogenation curves of 2LiNH2-MgH2-XLi3AlH6 samples; (C) Isothermal dehydrogenation curves of 2LiNH2-MgH2 and 2LiNH2-MgH2-0.1Li3AlH6 at 160 °C.
The hydrogen desorption performance of the as-prepared 2LiNH2-MgH2 samples doped with different amounts of Li3AlH6 is shown in Figure 2B. Obviously, the operating temperatures for dehydrogenation were significantly decreased, and the amount of hydrogen released was found to be increased after the addition of Li3AlH6. A total of 5.15 wt % of hydrogen was liberated from pristine 2LiNH2-MgH2 when heated up to 300 °C, while 6.47 wt % of hydrogen was released from 2LiNH2-MgH2-0.05 Li3AlH6 with an onset temperature of about 102 °C. It is worth noting that the increase of hydrogen capacity for 2LiNH2-MgH2-XLi3AlH6 is not proportional to the quantity of Li3AlH6 added, implying that Li3AlH6 may participate in the dehydrogenation reaction of 2LiNH2-MgH2 during ball milling or heating processes. The onset desorption temperature was found to decrease gradually with an increasing amount of the doped Li3AlH6. Considering the hydrogen capacity and the operating temperature, the sample of 2LiNH2-MgH2-0.1Li3AlH6 exhibited an optimal overall performance in the present study, since it could release 6.43 wt % of hydrogen. Therefore, subsequent investigation of the relationship between hydrogen storage properties and thermal diffusivity was focused on the 2LiNH2-MgH2-0.1Li3AlH6 sample.
The isothermal dehydrogenation curves shown in Figure 2C indicate that the dehydrogenation rate of 2LiNH2-MgH2 was remarkably enhanced by the addition of 0.1Li3AlH6. At 160 °C, about 5.82 wt % of hydrogen was desorbed from 2LiNH2-MgH2-0.1Li3AlH6 within 30 min, whereas only 0.57 wt % of hydrogen desorbed from 2LiNH2-MgH2. When the dehydrogenation period was extended to 150 min, the amount of hydrogen desorbed from 2LiNH2-MgH2-0.1Li3AlH6 increased to 6.11 wt %, which is very close to the total hydrogen capacity of 6.43 wt % heated up to 300 °C (Figure 2B). That is to say, the dehydrogenation kinetics was enhanced through the addition of 0.1Li3AlH6, even at low temperature. We performed reversibility tests of the 2LiNH2-MgH2-0.1Li3AlH6 sample (i.e., rehydrogenation at 200 °C and 50 bar hydrogen pressure). The initial rate for isothermal hydrogen absorption was so quick that the pressure-composition-temperature (PCT) could not accurately record the data. So, the absorption capacity was much lower than the theoretical value, and the hydrogen absorption capacity decreased with the increase of running cycles. Despite all this, it is worth noting that the doped sample had a much better reabsorption property than that of pristine sample.
The study of the dehydrogenation mechanism of the Li-Mg-N-H system shows that poor mass and/or heat transfer for solid–solid reaction is one of the critical issues for altering the thermodynamic and kinetic performance for hydrogen storage [33]. Figure 3 shows the thermal diffusivity of studied samples measured under the same conditions. Obviously, the thermal diffusivity increased after the addition of Li3AlH6. Doping with 0.1Li3AlH6 or more gave rise to a significant increase of the thermal diffusivity. The thermal diffusivity of 2LiNH2-MgH2-0.1Li3AlH6 is about 0.0035 cm2/s, almost two times higher than that of pristine 2LiNH2-MgH2. With the increase of temperature, the thermal diffusivity of both samples remained roughly constant. As discussed above in this study, the hydrogen storage properties were been significantly improved (i.e., lower dehydrogenation temperature and suppression of the NH3 evolution after the addition of Li3AlH6). It can be concluded that these improvements could be ascribed to the significant increase of thermal diffusivity, helpful to improve the performance of heat transfer for solid–solid reaction, eventually resulting in an enhancement of hydrogen desorption performance.
Figure 3.
Thermal diffusivity for 2LiNH2-MgH2 and 2LiNH2-MgH2-0.1Li3AlH6 samples at different temperatures.
On the basis of the results discussed above, it can be deduced that the added Li3AlH6 should participate in the dehydrogenation reaction. Therefore, the phase evolution of 2LiNH2-MgH2-0.1Li3AlH6 during heating process was studied in detail with the XRD patterns shown in Figure 4. It can be observed that in the initial stage, LiNH2 and MgH2 diffraction peaks were observed for sample after ball milling without detectable Li3AlH6, which means that Li3AlH6 may transform to an amorphous structure in the process of ball milling. After desorption at 100 °C, about 0.40 wt % of hydrogen was desorbed from 2LiNH2-MgH2-0.1Li3AlH6, which gives a similar XRD pattern. When heated to 160 °C, LiNH2 and MgH2 diffraction peaks almost disappeared. Meanwhile, α-phase Li2Mg(NH)2 with an orthorhombic structure was formed. Upon further increasing the temperature to 220 °C with about 6.31 wt % of hydrogen released, α-phase Li2Mg(NH)2 was still the main product. Note that after complete dehydrogenation at 300 °C, β-phase Li2Mg(NH)2 with a primitive cubic structure was observed, indicating that a solid phase transition of Li2Mg(NH)2 occurred. The structural transition from an orthorhombic phase to a primitive cubic phase was reported to always occur at an elevated temperature of 400 °C or under a treatment of 36 h of high-energetic ball milling [34]. It should be highlighted that this phase transition occurred below 300 °C in our case, which may be related to the addition of Li3AlH6. The study of the underlying mechanism is underway.
Figure 4.
XRD patterns for 2LiNH2-MgH2-0.1Li3AlH6 sample at different stages.
4. Conclusions
Li3AlH6 was prepared by ball milling the mixture of 2LiH/LiAlH4. Then, it was doped into 2LiNH2-MgH2, which resulted in an improvement of the dehydrogenation properties. The addition of Li3AlH6 not only reduced the dehydrogenation temperatures and increased the amount of hydrogen released from the 2LiNH2-MgH2 system, but also inhibited the release of ammonia as byproduct. 2LiNH2-MgH2-0.1Li3AlH6 had a reduced onset dehydrogenation temperature of 78 °C without detectable ammonia emission during the whole heating process. Moreover, 2LiNH2-MgH2-0.1Li3AlH6 had excellent low temperature hydrogen releasing performance (i.e., 6.11 wt % of hydrogen released at 160 °C in 150 min). Moreover, the kinetics for hydrogen reabsorption of 2LiNH2-MgH2-0.1Li3AlH6 was much better than that of pristine sample, which needs to be confirmed by non-isothermal absorption tests in the future. Doping with 0.1Li3AlH6 gave rise to a high thermal diffusivity, almost two times higher than that of 2LiNH2-MgH2, probably contributing to the improved hydrogen storage properties.
Acknowledgments
This research was financially supported by NSFC (51401059, 51361006, 51461010, 51361005, 51371060, U1501242, and 51461011), the Innovation Project of GUET Graduate Education (2016YJCX22) and GXNSF (2014GXNSFAA118043 and 2014GXNSFAA118333).
Author Contributions
H.C., F.X. and L.S. conceived and designed the experiments; S.Q., X.M. and E.W. performed the experiments; S.Q., Y.Z. and H.C. analyzed the data; S.Q., X.M. and C.X. contributed reagents/materials/analysis tools; S.Q., X.M. and H.C. wrote the paper.
Conflicts of Interest
The authors declare no conflict of interest.
References
- Meeks, N.D.; Baxley, S. Fuel cells and the hydrogen economy. Chem. Eng. Prog. 2016, 112, 34–38. [Google Scholar]
- Graetz, J. New approaches to hydrogen storage. Chem. Soc. Rev. 2009, 38, 73–82. [Google Scholar] [CrossRef] [PubMed]
- Thomas, K.M. Hydrogen adsorption and storage on porous materials. Catal. Today 2007, 120, 389–398. [Google Scholar] [CrossRef]
- Schuth, F.; Bogdanovic, B.; Felderhoff, M. Light metal hydrides and complex hydrides for hydrogen storage. Chem. Commun. 2004, 20, 2249–2258. [Google Scholar] [CrossRef] [PubMed]
- Orimo, S.I.; Nakamori, Y.; Eliseo, J.R.; Zuttel, A.; Jensen, C.M. Complex hydrides for hydrogen storage. Chem. Rev. 2007, 107, 4111–4132. [Google Scholar] [CrossRef] [PubMed]
- Xiong, Z.T.; Wu, G.T.; Hu, J.J.; Chen, P. Ternary imides for hydrogen strogen. Adv. Mater. 2004, 16, 1522–1525. [Google Scholar] [CrossRef]
- Xiong, Z.T.; Wu, G.T.; Hu, J.J.; Chen, P. Investigation on chemical reaction between LiAlH4 and LiNH2. J. Power Sources 2006, 159, 167–170. [Google Scholar] [CrossRef]
- Wang, H.; Cao, H.J.; Wu, G.T.; He, T.; Chen, P. The improved hydrogen storage performances of the multi-component composite: 2Mg(NH2)2–3LiH-LiBH4. Energies 2015, 8, 6898–6909. [Google Scholar] [CrossRef]
- Lu, J.; Fang, Z.Z. Dehydrogenation of a Combined LiAlH4/LiNH2 System. J. Phys. Chem. B 2005, 109, 20830–20834. [Google Scholar] [CrossRef] [PubMed]
- Wei, J.; Leng, H.Y.; Li, Q.; Chou, K.C. Improved hydrogen storage properties of LiBH4 doped Li-N-H system. Int. J. Hydrog. Energy 2014, 39, 13609–13615. [Google Scholar] [CrossRef]
- Cao, H.J.; Chua, Y.S.; Zhang, Y.; Xiong, Z.T.; Wu, G.T.; Qiu, J.S.; Chen, P. Releasing 9.6 wt % of H2 from Mg(NH2)2–3LiH-NH3BH3 through mechanochemical reaction. Int. J. Hydrog. Energy 2013, 38, 10446–10452. [Google Scholar] [CrossRef]
- Kwak, Y.J.; Kwon, S.N.; Song, M.Y. Preparation of Zn(BH4)2 and diborane and hydrogen release properties of Zn(BH4)2 + xMgH2 (x = 1, 5, 10, and 15). Met. Mater. Int. 2015, 21, 971–976. [Google Scholar] [CrossRef]
- Chen, J.; Kuriyama, N.; Xu, Q.; Takeshita, H.T.; Sakai, T. Reversible hydrogen storage via titanium-catalyzed LiAlH4 and Li3AlH6. J. Phys. Chem. B 2001, 105, 11214–11220. [Google Scholar] [CrossRef]
- Chu, H.L.; Xiong, Z.T.; Wu, G.T.; He, T.; Wu, C.Z.; Chen, P. Hydrogen storage properties of Li–Ca–N–H system with different molar ratios of LiNH2/CaH2. Int. J. Hydrog. Energy 2010, 35, 8317–8321. [Google Scholar] [CrossRef]
- Chua, Y.S.; Chen, P.; Wu, G.T.; Xiong, Z.T. Development of amidoboranes for hydrogen storage. Chem. Commun. 2011, 47, 5116–5129. [Google Scholar] [CrossRef] [PubMed]
- David, W.I.F. Effective hydrogen storage: A strategic chemistry challenge. Faraday Discuss. 2011, 151, 399–414. [Google Scholar] [CrossRef] [PubMed]
- Chen, P.; Zhu, M. Recent progress in hydrogen storage. Mater. Today 2008, 11, 36–43. [Google Scholar] [CrossRef]
- Chen, P.; Xiong, Z.T.; Luo, J.Z.; Lin, J.Y.; Tan, K.L. Interaction of hydrogen with metal nitrides and imides. Nature 2002, 420, 302–304. [Google Scholar] [CrossRef] [PubMed]
- Luo, W.F. (LiNH2-MgH2): A viable hydrogen storage system. J. Alloys Compd. 2004, 381, 284–287. [Google Scholar] [CrossRef]
- Amica, G.; Larochette, P.A.; Gennari, F.C. Hydrogen storage properties of LiNH2-LiH system with MgH2, CaH2 and TiH2 added. Int. J. Hydrog. Energy 2015, 40, 9335–9346. [Google Scholar] [CrossRef]
- Li, Y.T.; Ding, X.L.; Wu, F.L.; Sun, D.L.; Zhang, Q.A.; Fang, F. Enhancement of hydrogen storage in destabilized LiNH2 with KMgH3 by quick conveyance of N-containing species. J. Phys. Chem. C 2016, 120, 1415–1420. [Google Scholar] [CrossRef]
- Shukla, V.; Bhatnagar, A.; Pandey, S.K.; Shahi, R.R.; Yadav, T.P.; Shaz, M.A.; Srivastava, O.N. On the synthesis, characterization and hydrogen storage behavior of ZrFe2 catalyzed Li-Mg-N-H hydrogen storage material. Int. J. Hydrog. Energy 2015, 40, 12294–12302. [Google Scholar] [CrossRef]
- Principi, G.; Agresti, F.; Maddalena, A.; Russo, S. The problem of solid state hydrogen storage. Energy 2009, 34, 2087–2091. [Google Scholar] [CrossRef]
- Nakamori, Y.; Ninomiya, A.; Kitahara, G.; Aoki, M.; Noritake, T.; Miwa, K.; Kojima, Y.; Orimo, S. Dehydriding reactions of mixed complex hydrides. J. Power Sources 2006, 155, 447–455. [Google Scholar] [CrossRef]
- Ono, T.; Shimoda, K.; Tsubota, M.; Kohara, S.; Ichikawa, T.; Kojima, K.; Tansho, M.; Shimizu, T.; Kojima, Y. Ammonia desorption property and structural changes of LiAl(NH2)4 on thermal decomposition. J. Phys. Chem. C 2011, 115, 10284–10291. [Google Scholar] [CrossRef]
- Siangsai, A.; Suttisawat, Y.; Sridechprasat, P.; Rangsunvigit, P.; Kitiyanan, B.; Kulprathipanja, S. Effect of Ti compounds on hydrogen desorption/absorption of LiNH2/LiAlH2/MgH2. J. Chem. Eng. Jpn. 2008, 43, 95–98. [Google Scholar] [CrossRef]
- Andreasen, A.; Vegge, T.; Pedersen, A.S. Dehydrogenation kinetics of as-received and ball-milled LiAlH4. J. Solid State Chem. 2005, 178, 3672–3678. [Google Scholar] [CrossRef]
- Andreasen, A. Effect of Ti-doping on the dehydrogenation kinetic parameters of lithium aluminum hydride. J. Alloys Compd. 2006, 419, 40–44. [Google Scholar] [CrossRef]
- Lu, J.; Fang, Z.Z.; Sohn, H.Y.; Bowman, R.C.; Hwang, S.J. Potential and reaction mechanism of Li-Mg-Al-N-H system for reversible hydrogen storage. J. Phys. Chem. C 2007, 111, 16686–16692. [Google Scholar] [CrossRef]
- Xiong, Z.T.; Wu, G.T.; Hu, J.J.; Liu, Y.F.; Chen, P.; Luo, W.F.; Wang, J. Reversible hydrogen storage by a Li-Al-N-H complex. Adv. Funct. Mater. 2007, 17, 1137–1142. [Google Scholar] [CrossRef]
- Lu, J.; Fang, Z.Z.; Sohn, H.Y. A new Li-Al-N-H system for reversible hydrogen storage. J. Phys. Chem. B 2006, 110, 14236–14239. [Google Scholar] [CrossRef] [PubMed]
- Wang, J.H.; Liu, T.; Wu, G.T.; Li, W.; Liu, Y.F.; Araujo, C.M.; Scheicher, R.H.; Blomqvist, A.; Ahuja, R.; Xiong, Z.T.; et al. Potassium-modified Mg(NH2)2/2LiH system for hydrogen storage. Angew. Chem. Int. Ed. 2009, 48, 5828–5832. [Google Scholar] [CrossRef] [PubMed]
- Chen, P.; Xiong, Z.T.; Yang, L.F.; Wu, G.T.; Luo, W.F. Mechanistic investigations on the heterogeneous solid-state reaction of magnesium amides and lithium hydrides. J. Phys. Chem. B 2006, 110, 14221–14225. [Google Scholar] [CrossRef] [PubMed]
- Liang, C.; Gao, M.X.; Pan, H.G.; Liu, Y.F. Structural transitions of ternary imide Li2Mg(NH)2 for hydrogen storage. Appl. Phys. Lett. 2014, 105, 083909. [Google Scholar] [CrossRef]
© 2017 by the authors. Licensee MDPI, Basel, Switzerland. This article is an open access article distributed under the terms and conditions of the Creative Commons Attribution (CC BY) license ( http://creativecommons.org/licenses/by/4.0/).



