Evidence of Change in the Density of States during the Martensitic Phase Transformation of Ni-Mn-In Metamagnetic Shape Memory Alloys
Abstract
:1. Introduction
2. Experimental Procedure
3. Results and Discussion
3.1. Magnetic Measurements
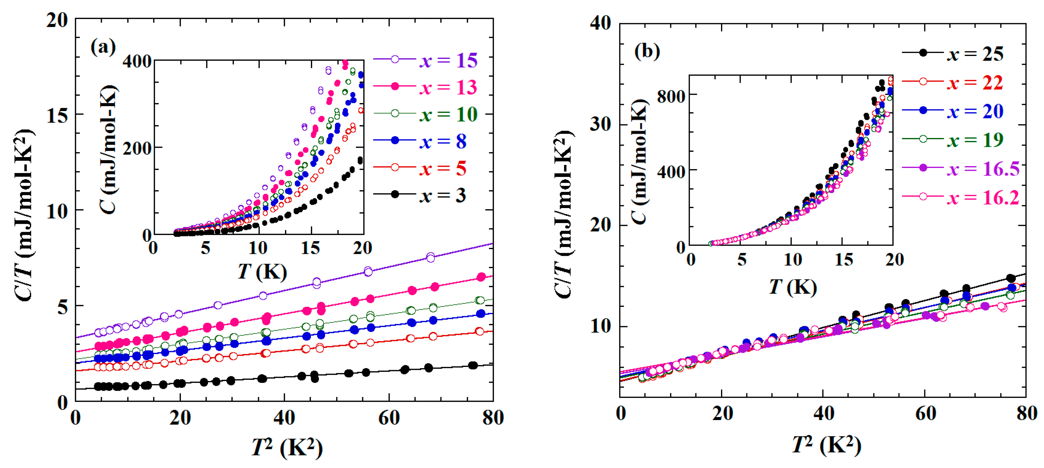
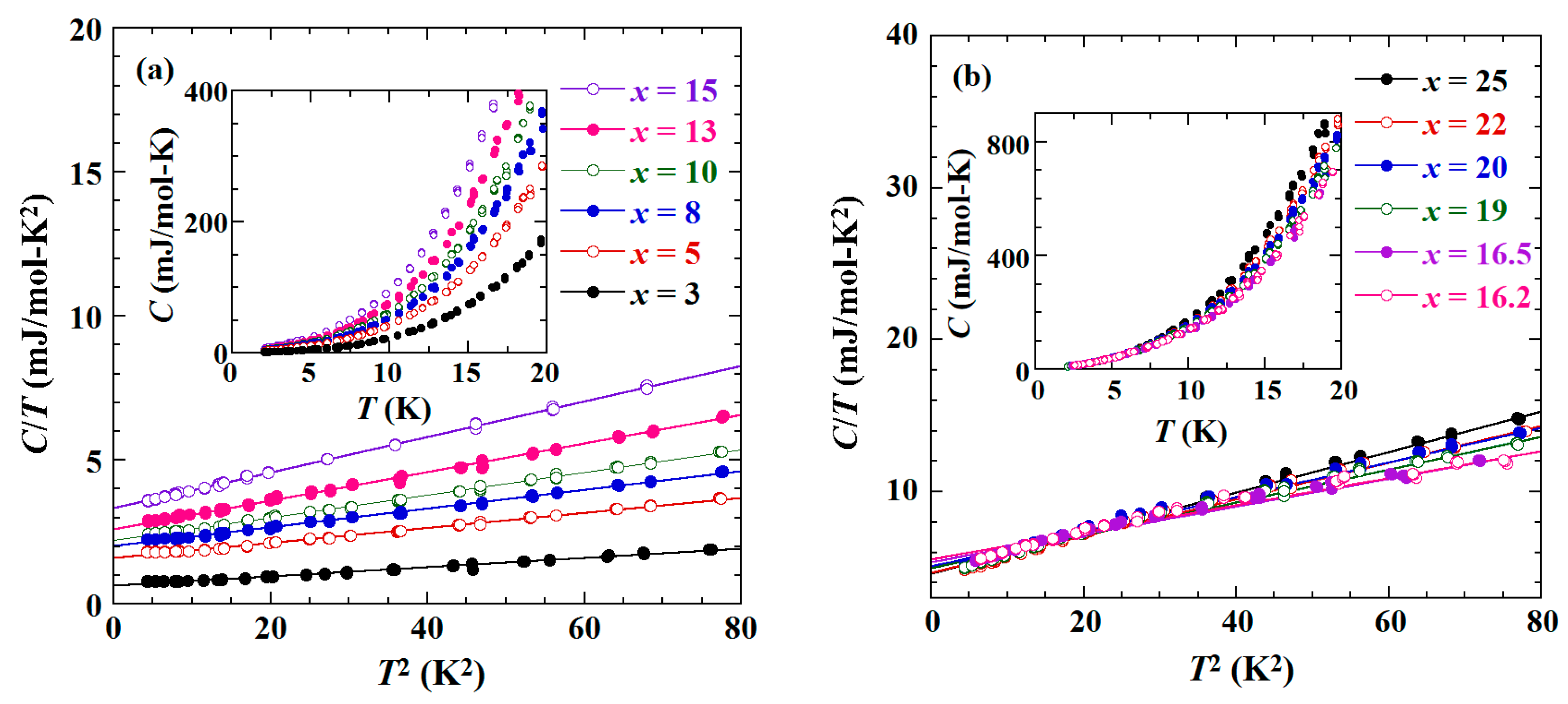
3.2. Specific Heat Measurements
4. Conclusions
Acknowledgments
Author Contributions
Conflicts of Interest
References
- Sutou, Y.; Imano, Y.; Koeda, N.; Omori, T.; Kainuma, R.; Ishida, K.; Oikawa, K. Magnetic and martensitic transformations of NiMnX (X = In, Sn, Sb) ferromagnetic shape memory alloys. Appl. Phys. Lett. 2004, 85, 4358–4360. [Google Scholar] [CrossRef]
- Kainuma, R.; Imano, Y.; Ito, W.; Sutou, Y.; Morito, H.; Okamoto, S.; Kitakami, O.; Oikawa, K.; Fujita, A.; Kanomata, T.; et al. Magnetic-field-induced shape recovery by reverse phase transformation. Nature 2006, 439, 957–960. [Google Scholar] [CrossRef] [PubMed]
- Kainuma, R.; Imano, Y.; Ito, W.; Morito, H.; Sutou, Y.; Oikawa, K.; Fujita, A.; Ishida, K.; Okamoto, S.; Kitakami, O.; et al. Metamagnetic shape memory effect in a Heusler-type Ni43Co7Mn39Sn11 polycrystalline alloy. Appl. Phys. Lett. 2006, 88, 192513. [Google Scholar] [CrossRef]
- Krenke, T.; Duman, E.; Acet, M.; Wassermann, E.F.; Moya, X.; Mañosa, L.; Planes, A. Inverse magnetocaloric effect in ferromagnetic Ni–Mn–Sn alloys. Nat. Mater. 2005, 4, 450–454. [Google Scholar] [CrossRef] [PubMed]
- Oikawa, K.; Ito, W.; Imano, Y.; Sutou, Y.; Kainuma, R.; Ishida, K.; Okamoto, S.; Kitakami, O.; Kanomata, T. Effect of magnetic field on martensitic transition of Ni46Mn41In13 Heusler alloy. Appl. Phys. Lett. 2006, 88, 122507. [Google Scholar] [CrossRef]
- Han, Z.D.; Wang, D.H.; Zhang, C.L.; Tang, S.L.; Gu, B.X.; Du, Y.W. Large magnetic entropy changes in the Ni45.4Mn41.5In13.1 ferromagnetic shape memory alloy. Appl. Phys. Lett. 2006, 89, 182507. [Google Scholar] [CrossRef]
- Koyama, K.; Okada, H.; Watanabe, K.; Kanomata, T.; Kainuma, R.; Ito, W.; Oikawa, K.; Ishida, K. Observation of large magnetoresistance of magnetic Heusler alloy Ni50Mn36Sn14 in high magnetic fields. Appl. Phys. Lett. 2006, 88, 132505. [Google Scholar] [CrossRef]
- Yu, S.Y.; Liu, Z.H.; Liu, G.D.; Chen, J.L.; Cao, Z.X.; Wu, G.H.; Zhang, B.; Zhang, X.X. Large magnetoresistance in single-crystalline Ni50Mn50−xInx alloys (x = 14–16) upon martensitic transformation. Appl. Phys. Lett. 2006, 89, 162503. [Google Scholar] [CrossRef]
- Zhang, B.; Zhang, X.X.; Yu, S.Y.; Chen, J.L.; Cao, Z.X.; Wu, G.H. Giant magnetothermal conductivity in the Ni–Mn–In ferromagnetic shape memory alloys. Appl. Phys. Lett. 2007, 91, 012510. [Google Scholar] [CrossRef]
- Zhu, S.; Ye, M.; Shirai, K.; Taniguchi, M.; Ueda, S.; Miura, Y.; Shirai, M.; Umetsu, R.Y.; Kainuma, R.; Kanomata, T.; et al. Drastic change in density of states upon martensitic phase transition for metamagnetic shape memory alloy Ni2Mn1+xIn1−x. J. Phys. Condens. Matter 2015, 27, 362201. [Google Scholar] [CrossRef] [PubMed]
- Umetsu, R.Y.; Sakuma, A.; Fukamichi, K. Magnetic properties and electronic structures of L10-type MnTM (TM = Ir, Pt, Pd and Ni) alloy systems. Met. Mater. Process. 2003, 15, 67–94. [Google Scholar] [CrossRef]
- Umetsu, R.Y.; Fukamichi, K.; Sakuma, A. Electrical and magnetic properties, and electronic structures of pseudo-gap-type antiferromagnetic L10-type MnPt Alloys. Mater. Trans. 2006, 47, 2–10. [Google Scholar] [CrossRef]
- Umetsu, R.Y.; Fukamichi, K.; Sakuma, A. Effective exchange constant and electronic structure of pseudo-gap-type L10-MnPd Alloys. J. Phys. Soc. Jpn. 2006, 75, 104714. [Google Scholar] [CrossRef]
- Ito, W.; Imano, Y.; Kainuma, R.; Sutou, Y.; Oikawa, K.; Ishida, K. Martensitic and magnetic transformation behaviors in Heusler-type NiMnIn and NiCoMnIn metamagnetic shape memory Alloys. Metall. Mater. Trans. A 2007, 38, 759–766. [Google Scholar] [CrossRef]
- Pál, L.; Krén, E.; Kádár, G.; Szabó, P.; Tarnóczi, T. Magnetic structures and phase transformations in Mn-based CuAu-I type alloys. J. Appl. Phys. 1968, 39, 538–544. [Google Scholar] [CrossRef]
- Aksoy, S.; Posth, O.; Acet, M.; Meckenstock, R.; Lindner, J.; Farle, M.; Wassermann, E.F. Ferromagnetic resonance in Ni-Mn based ferromagnetic Heusler alloys. J. Phys. Conf. Ser. 2010, 200, 092001. [Google Scholar] [CrossRef]
- Priolkar, K.R. Role of local disorder in martensitic and magnetic interactions in Ni–Mn based ferromagnetic shape memory alloys. Phys. Status Solidi B 2014, 251, 2088–2096. [Google Scholar] [CrossRef]
- Krenke, T.; Acet, M.; Wassermann, E.F.; Moya, X.; Mañosa, L.; Planes, A. Ferromagnetism in the austenitic and martensitic states of Ni-Mn-In alloys. Phys. Rev. B 2006, 73, 174413. [Google Scholar] [CrossRef]
- Yan, H.; Zhang, Y.; Xu, N.; Senyshyn, A.; Brokmeier, H.G.; Esling, C.; Zhao, X.; Zuo, L. Crystal structure determination of incommensurate modulated martensite in Ni–Mn–In Heusler alloys. Acta Mater. 2015, 88, 375–388. [Google Scholar] [CrossRef]
- Umetsu, R.Y.; Fujita, A.; Ito, W.; Kanomata, T.; Kainuma, R. Determination of the magnetic ground state in the martensite phase of Ni–Mn–Z (Z = In, Sn and Sb) off-stoichiometric Heusler alloys by nonlinear AC susceptibility. J. Phys. Condens. Matter 2011, 23, 326001. [Google Scholar] [CrossRef] [PubMed]
- Khovaylo, V.V.; Kanomata, T.; Tanaka, T.; Nakashima, M.; Amako, Y.; Kainuma, R.; Umetsu, R.Y.; Morito, H.; Miki, H. Magnetic properties of Ni50Mn34.8In15.2 probed by Mössbauer spectroscopy. Phys. Rev. B 2009, 80, 144409. [Google Scholar] [CrossRef]
- Kanomata, T.; Yasuda, T.; Sasaki, S.; Nishihara, H.; Kainuma, R.; Ito, W.; Oikawa, K.; Ishida, K.; Neumann, K.-U.; Ziebeck, K.R.A. Magnetic properties on shape memory alloys Ni2Mn1+xIn1−x. J. Magn. Magn. Mater. 2009, 321, 773–776. [Google Scholar] [CrossRef]
- Şaşıoğlu, E.; Sandratskii, L.M.; Bruno, P. First-principles calculation of the intersublattice exchange interactions and Curie temperatures of the full Heusler alloys Ni2MnX (X = Ga, In, Sn, Sb). Phys. Rev. B 2004, 70, 024427. [Google Scholar] [CrossRef]
- Umetsu, R.Y.; Kusakari, Y.; Kanomata, T.; Suga, K.; Sawai, Y.; Kindo, K.; Oikawa, K.; Kainuma, R.; Ishida, K. Metamagnetic behaviour under high magnetic fields in Ni50Mn50−XInX (X = 14.0 and 15.6) shape memory alloys. J. Phys. Appl. Phys. 2009, 42, 075003. [Google Scholar] [CrossRef]
- Miyamoto, T.; Ito, W.; Umetsu, R.Y.; Kainuma, R.; Kanomata, T.; Ishida, K. Phase stability and magnetic properties of Ni50Mn50−xInx Heusler-type alloys. Scr. Mater. 2010, 62, 151–154. [Google Scholar] [CrossRef]
- Gopal, E.S.R. Specific Heats at Low Temperatures; Plenum Press: New York, NY, USA, 1966. [Google Scholar]
- Abematsu, K.; Umetsu, R.Y.; Kainuma, R.; Kanomata, T.; Watanabe, K.; Koyama, K. Structural and magnetic properties of magnetic shape memory alloy Ni46Mn41In13 under magnetic fields. Mater. Trans. 2014, 55, 477–481. [Google Scholar] [CrossRef]
- D’Souza, S.W.; Chakrabarti, A.; Barman, S.R. Magnetic interactions and electronic structure of Ni–Mn–In. J. Electron Spectrosc. Relat. Phenom. 2016, 208, 33–39. [Google Scholar] [CrossRef]





© 2017 by the authors. Licensee MDPI, Basel, Switzerland. This article is an open access article distributed under the terms and conditions of the Creative Commons Attribution (CC BY) license (http://creativecommons.org/licenses/by/4.0/).
Share and Cite
Umetsu, R.Y.; Xu, X.; Ito, W.; Kainuma, R. Evidence of Change in the Density of States during the Martensitic Phase Transformation of Ni-Mn-In Metamagnetic Shape Memory Alloys. Metals 2017, 7, 414. https://doi.org/10.3390/met7100414
Umetsu RY, Xu X, Ito W, Kainuma R. Evidence of Change in the Density of States during the Martensitic Phase Transformation of Ni-Mn-In Metamagnetic Shape Memory Alloys. Metals. 2017; 7(10):414. https://doi.org/10.3390/met7100414
Chicago/Turabian StyleUmetsu, Rie Y, Xiao Xu, Wataru Ito, and Ryosuke Kainuma. 2017. "Evidence of Change in the Density of States during the Martensitic Phase Transformation of Ni-Mn-In Metamagnetic Shape Memory Alloys" Metals 7, no. 10: 414. https://doi.org/10.3390/met7100414
APA StyleUmetsu, R. Y., Xu, X., Ito, W., & Kainuma, R. (2017). Evidence of Change in the Density of States during the Martensitic Phase Transformation of Ni-Mn-In Metamagnetic Shape Memory Alloys. Metals, 7(10), 414. https://doi.org/10.3390/met7100414
