Magnetostriction of Ni2Mn1−xCrxGa Heusler Alloys
Abstract
1. Introduction
1.1. Magnetostriction and Magnetic Field-Induced Strain of Ferroagnetic Shape Memory Alloys
1.2. Magnetostriction in Premartensite Phase
1.3. Purpose of This Study
2. Materials and Methods
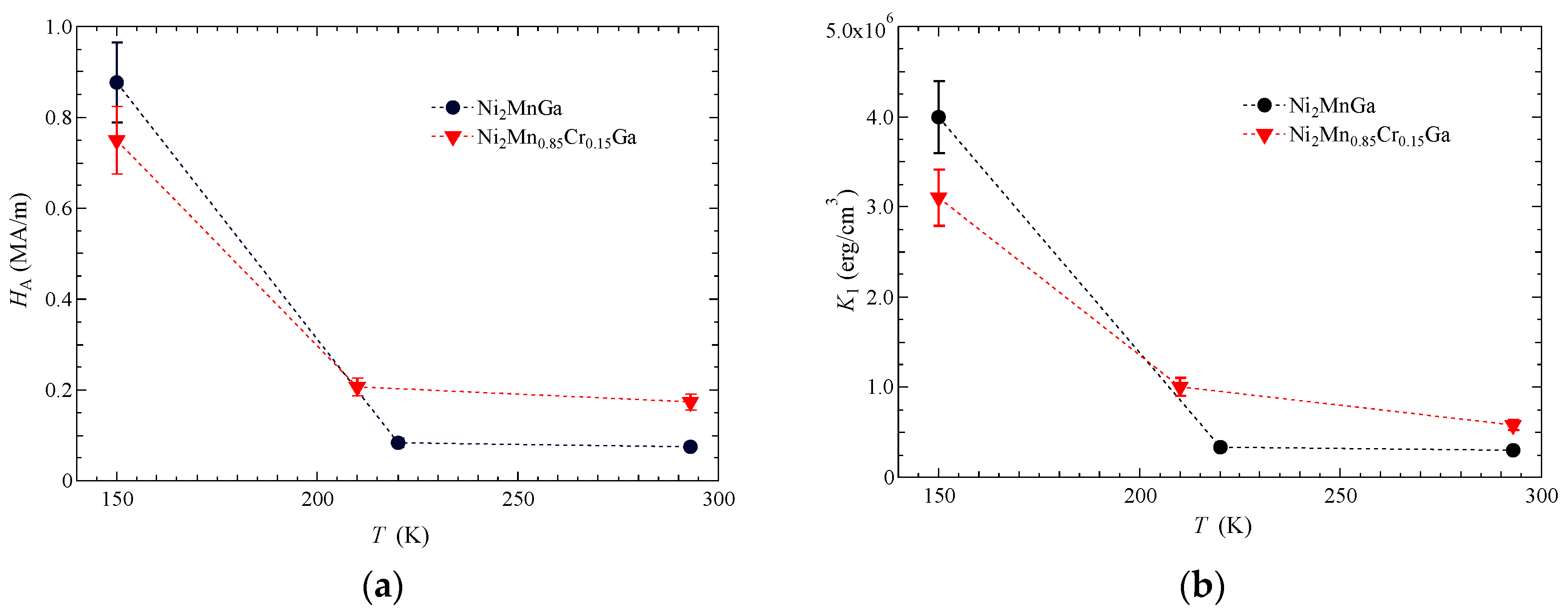
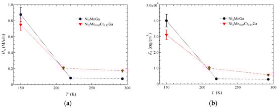
3. Results and Discussion
4. Conclusions
Acknowledgments
Author Contributions
Conflicts of Interest
References
- Ullakko, K.; Huang, J.K.; Kantner, C.; O’Handley, R.C.; Kokorin, V.V. Large magnetic-field-induced strains in Ni2MnGa single crystals. Appl. Phys. Lett. 1996, 69, 1966–1968. [Google Scholar] [CrossRef]
- Webster, P.J.; Ziebeck, K.R.A.; Town, S.L.; Peak, M.S. Magnetic order and phase transformation in Ni2MnGa. Philos. Mag. B 1984, 49, 295–310. [Google Scholar] [CrossRef]
- Brown, P.J.; Crangle, J.; Kanomata, T.; Matsumoto, M.; Neumann, K.-U.; Ouladdiaf, B.; Ziebeck, K.R.A. The crystal structure and phase transitions of the magnetic shape memory compound Ni2MnGa. J. Phys. Condens. Matter 2002, 14, 10159–10171. [Google Scholar] [CrossRef]
- Pons, J.; Santamarta, R.; Chernenko, V.A.; Cesari, E. Long-Period martensitic structures of Ni-Mn-Ga alloys studied by high-resolution transmission electron microscopy. J. Appl. Phys. 2005. [Google Scholar] [CrossRef]
- Ranjan, R.; Banik, S.; Barman, S.R.; Kumar, U.; Mukhopadhyay, P.K.; Pandey, D. Powder X-ray diffraction study of the thermoelastic martensite transition in Ni2Mn1.05Ga0.95. Phys. Rev. B 2006. [Google Scholar] [CrossRef]
- Ullakko, K.; Huang, J.K.; Kokorin, V.V.; O’Handley, R.C. Magnetically controlled shape memory effect in Ni2MnGa intermetallics. Scr. Mater. 1997, 36, 1133–1138. [Google Scholar] [CrossRef]
- Clark, A.E.; Belson, H.E. Giant Room-Temperature Magnetostrictions in TbFe2 and DyFe2. Phys. Rev. B 1972, 5. [Google Scholar] [CrossRef]
- Lindgren, E.A.; Haroush, S.; Poret, J.C.; Mazzatesta, A.D.; Rosen, M.; Wun-Fogle, M.; Restorff, J.B.; Clark, A.E.; Lindberg, J.F. Development of Terfenol-D transducer material. J. Appl. Phys. 1998, 83, 7282–7284. [Google Scholar] [CrossRef]
- Yu, C.H.; Wang, W.H.; Chen, J.L.; Wu, G.H.; Yang, F.M.; Tang, N.; Qi, S.R.; Zhan, Z.; Wang, Z.; Zheng, Y.F.; et al. Magnetic-field-induced strains and magnetic properties of Heusler alloy Ni52Mn23Ga25. J. Appl. Phys. 2000, 87, 6292–6294. [Google Scholar] [CrossRef]
- Pons, J.; Cesari, E.; Seguí, C.; Masdeu, F.; Santamarta, R. Ferromagnetic shape memory alloys: Alternatives to Ni-Mn-Ga. Mater. Sci. Eng. A 2008, 481–482, 57–65. [Google Scholar] [CrossRef]
- Koho, K.; Söderberg, O.; Lanska, N.; Gea, Y.; Liua, X.; Straka, X.; Vimpari, J.; Heczko, O.; Lindroos, V.K. Effect of the chemical composition to martensitic transformation in Ni-Mn-Ga-Fe alloys. Mater. Sci. Eng. A 2004, 378, 384–388. [Google Scholar] [CrossRef]
- Liu, Z.H.; Zhang, M.; Wang, W.Q.; Wang, W.H.; Chen, J.L.; Wua, G.H.; Meng, F.B.; Liu, H.Y.; Liu, B.D.; Qu, J.P.; et al. Magnetic properties and martensitic transformation in quaternary Heusler alloy of NiMnFeGa. J. Appl. Phys. 2002, 92, 5006–5010. [Google Scholar] [CrossRef]
- Tsuchiya, K.; Ohashi, A.; Ohtoyo, D.; Nakayama, H.; Umemoto, M.; McCormick, P.G. Phase transformation and magnetostriction in Ni-Mn-Ga Ferromagnetic Shape Memory Alloys. Mater. Trans. JIM 2000, 8, 938–942. [Google Scholar] [CrossRef]
- Dai, L.; Cullen, J.; Wuttig, M. Intermartensitic transformation in a NiMnGa alloy. J. Appl. Phys. 2004, 95, 6957–6959. [Google Scholar] [CrossRef]
- Kokorin, V.V.; Chernenko, V.A.; Cesari, E.; Pons, J.; Segui, C. Pre-martensitic state in Ni-Mn-Ga alloys. J. Phys. Condens. Matter 1996, 8, 6457–6464. [Google Scholar] [CrossRef]
- Manosa, L.; Gonzalez-Comas, A.; Obrado, E.; Planes, A.; Chernenko, V.A.; Kokorin, V.V.; Cesari, E. Anomalies related to the TA2-phonon-mode condensation in the Heusler Ni2MnGa alloy. Phys. Rev. B 1997, 55, 11068–11071. [Google Scholar] [CrossRef]
- Seiner, H.; Kopeck´y, V.; Landa, M.; Heczko, O. Elasticity and magnetism of Ni2MnGa premartensitic tweed. Phys. Status Solidi B 2014, 251, 2097–2103. [Google Scholar] [CrossRef]
- Zheludev, A.; Shapiro, S.M.; Wochner, P.; Schwartz, A.; Wall, M.; Tanner, L.E. Phonon anomaly, central peak, and microstructures in Ni2MnGa. Phys. Rev. B 1995, 51, 11310–11314. [Google Scholar] [CrossRef]
- Stuhr, U.; Vorderwisch, P.; Kokorin, V.V.; Lindgard, P.-A. Premartensitic phenomena in the ferro- and paramagnetic phases of Ni2MnGa. Phys. Rev. B 1997, 56, 14360–14365. [Google Scholar] [CrossRef]
- Barandiarán, J.M.; Chernenko, V.A.; Gutiérrez, J.; Orúe, I.; Lázpita, P. Magnetostriction in the vicinity of structural transitions in Ni2MnGa. Appl. Phys. Lett. 2012. [Google Scholar] [CrossRef]
- Heczko, O.; Landa, M.; Seiner, H. Anomalous lattice softening of Ni2MnGa austenite due to magnetoelastic coupling. J. Appl. Phys. 2012. [Google Scholar] [CrossRef]
- Khovailo, V.V.; Takagi, T.; Bozhko, A.D.; Matsumoto, M.; Tani, J.; Shavrov, V.G. Premartensitic Transition in Ni2 + xMn1 − xGa Heusler Alloys. J. Phys. Condens. Matter 2001, 13, 9655–9662. [Google Scholar] [CrossRef]
- Chernenko, V.A.; Besseghini, S.; Kanomata, T.; Yoshida, H.; Kakeshita, T. Effect of high hydrostatic pressure on premartensitic transition in Ni2MnGa. Scr. Mater. 2006, 55, 303–306. [Google Scholar] [CrossRef]
- Singh, S.; Bednarcik, J.; Barman, S.R.; Felsher, S.R.; Pandey, D. Premartensite to martensite transition and its implications for the origin of modulation in Ni2MnGa ferromagnetic shape-memory alloy. Phys. Rev. B 2015. [Google Scholar] [CrossRef]
- Chernenko, V.A.; L’vov, V.A. Magnetoelastic nature of ferromagnetic shape memory effect. Mater. Sci. Forum 2008, 583, 1–20. [Google Scholar] [CrossRef]
- Matsui, M.; Nakakura, T.; Murakami, D.; Asano, H. Super magnetostriction with mesophase transition of Ni2MnGa. Toyota Sci. Rep. 2010, 63, 27–36. [Google Scholar]
- Kikuchi, D.; Kanomata, T.; Yamaguchi, Y.; Nishimura, H.; Koyama, K.; Watanabe, K. Magnetic properties of ferromagnetic shape memory alloys Ni2Mn1 − xFexGa. J. Alloys Compd. 2004, 383, 184–188. [Google Scholar] [CrossRef]
- Khan, M.; Dubenko, I.; Stadler, S.; Ali, N. The Structural and Magnetic Properties of Ni2Mn1−xMxGa (M = Co, Cu). J. Appl. Phys. 2005, 97. [Google Scholar] [CrossRef]
- Khovaylo, V.V.; Buchelnikov, V.D.; Kainuma, R.; Koledov, V.V.; Ohtsuka, M.; Shavrov, V.G.; Takagi, T.; Taskaev, S.V.; Vasiliev, A.N. Phase transitions in Ni2+xMn1−xGa with a high Ni excess. Phys. Rev. B 2005, 72. [Google Scholar] [CrossRef]
- Kataoka, M.; Endo, K.; Kudo, N.; Kanomata, T.; Nishihara, H.; Shishido, T.; Umetsu, R.Y.; Nagasako, M.; Kainuma, R. Martensitic transition, ferromagnetic transition, and their interplay in the shape memory alloys Ni2Mn1−xCuxGa. Phys. Rev. B 2010. [Google Scholar] [CrossRef]
- Chernenko, V.A. Compositional Ionsability of β-phase in Ni-Mn-Ga Alloys. Scr. Mater. 1999, 40, 523–527. [Google Scholar] [CrossRef]
- Khovailo, V.V.; Abe, T.; Koledov, V.V.; Matsumoto, M.; Nakamura, H.; Note, R.; Ohtsuka, M.; Shavrov, V.G.; Takagi, T. Influence of Fe and Co on Phase Transitions in Ni-Mn-Ga Alloys. Mater. Trans. 2003, 44, 2509–2512. [Google Scholar] [CrossRef]
- Jin, X.; Marinori, M.; Bono, D.; Allen, S.M.; O’Handley, R.C.; Hsu, T.Y. Empirical mapping of Ni-Mn-Ga properties with composition and valence electron concentration. J. Appl. Phys. 2002, 91, 8222–8224. [Google Scholar] [CrossRef]
- Adachi, Y.; Kouta, R.; Fujii, M.; Kanomata, T.; Umetsu, R.Y.; Kainuma, R. Magnetic Phase Diagram of Heusler alloy system Ni2Mn1−xCrxGa. Phys. Procedia 2015, 75, 1187–1191. [Google Scholar] [CrossRef]
- Khan, M.; Brock, J.; Sugerman, I. Anomalous transport properties of Ni2Mn1−xCrxGa Heusler alloys at the martensite-austenite phase transition. Phys. Rev. B 2016. [Google Scholar] [CrossRef]
- Mori, K.; Harthway, K.; Clark, A.E. Magnetostriction in polycrystal Pr2(Co1−xFex)17 compounds and their easy directions of magnetization. J. Appl. Phys. 1982, 53, 8110–8112. [Google Scholar] [CrossRef]
- Aksoy, S.; Krenke, T.; Acet, M.; Wassermann, E.F.; Moya, X.; Mañosa, L.; Planes, A. Magnetization easy axis in martensitic Heusler alloys estimated by strain measurements under magnetic field. Appl. Phys. Lett. 2007. [Google Scholar] [CrossRef]
- Albertini, F.; Morellon, L.; Algarabel, P.A.; Ibara, M.R.; Pareti, L.; Arnold, Z.; Calestani, G. Magnetoelastic effects and magnetic anisotropy in Ni2MnGa polycrystals. J. Appl. Phys. 2001. [Google Scholar] [CrossRef]
- Soto-Parra, D.E.; Moya, X.; Mañosa, L.; Planes, A.; Flores-Zúñiga, H.; Alvarado-Hernández, F.; Ochoa-Gamboa, R.A.; Matutes-Aquino, J.A.; Ríos-Jara, D. Fe and Co selective substitution in Ni2MnGa: Effect of magnetism on relative phase stability. Philos. Mag. 2010, 90, 2771–2792. [Google Scholar] [CrossRef]
- Matsui, M.; Nakamura, T.; Murakami, D.; Yoshimura, S.; Asano, H. Effect of Super Magnetostriction on Magnetic Anisotropy of Ni2MnGa. Toyota Sci. Rep. 2011, 64, 1–11. [Google Scholar]
- Kikuchi, D.; Kanomata, T.; Yamaguchi, Y.; Nishihara, H. Magnetic properties of ferromagnetic shape memory alloys Ni50+xMn12.5Fe12.5Ga25−x. J. Alloys Compd. 2006, 426, 223–227. [Google Scholar] [CrossRef]
- Soto, D.; Alvarado Hernández, F.; Flores-Zúñiga, H.; Moya, X.; Mañosa, L.; Planes, A.; Aksoy, S.; Acet, M.; Krenke, T. Phase diagram of Fe-doped Ni-Mn-Ga ferromagneic shape-memory alloys. Phys. Rev. B 2008. [Google Scholar] [CrossRef]
- Uijttewaal, M.A.; Hickel, T.; Neugebauer, J.; Gruner, M.E.; Entel, P. Understanding the Phase Transitions of the Ni2MnGa Magnetic Shape Memory System from First Principles. Phys. Rev. Lett. 2009. [Google Scholar] [CrossRef] [PubMed]
- Chu, S.-Y.; Cramb, A.; De Graef, M.; Laughlin, D.; McHenry, M.E. The effect of field cooling and field orientation on the martensitic phase transformation in a single crystal. J. Appl. Phys. 2000, 87, 5777–5779. [Google Scholar] [CrossRef]
- Wu, S.K.; Yang, S.T. Effect of composition on transformation temperatures of Ni-Mn-Ga shape memory alloys. Mater. Lett. 2003, 57, 4291–4296. [Google Scholar] [CrossRef]
- Recarte, V.; Perez-Landazabal, J.I.; Sanchez-Alarcos, V.; Cesari, E.; Jimenez-Ruiz, M.; Schmalzl, K.; Chernenko, V.A. Direct evidence of the magnetoelastic interaction in Ni2MnGa magnetic shape memory system. Appl. Phys. Lett. 2013. [Google Scholar] [CrossRef]








| Composition | e/a | TP (K) | λ (ppm) | References |
|---|---|---|---|---|
| Ni51.7Mn24.3Ga24.0 | 7.59 | 285 | −550 | PC Matsui [26,40] |
| Ni49.9Mn26.2Ga23.9 | 7.54 | 259 | −360 | PC Matsui [26,40] |
| Ni2MnGa | 7.50 | 259 | −227 | SC Seiner [17] |
| Ni2MnGa | 7.50 | 258 | −180 | PC This work |
| Ni49.2Mn26.5Ga24.3 | 7.50 | 248 | −182 | SC Matsui [40] |
| Ni47.9Mn28.0Ga24.1 | 7.47 | 225 | −180 | PC Matsui [26,40] |
| Ni2Mn0.85Cr0.15Ga | 7.46 | 225 | −120 | PC This work |
© 2017 by the authors. Licensee MDPI, Basel, Switzerland. This article is an open access article distributed under the terms and conditions of the Creative Commons Attribution (CC BY) license (http://creativecommons.org/licenses/by/4.0/).
Share and Cite
Sakon, T.; Fujimoto, N.; Kanomata, T.; Adachi, Y. Magnetostriction of Ni2Mn1−xCrxGa Heusler Alloys. Metals 2017, 7, 410. https://doi.org/10.3390/met7100410
Sakon T, Fujimoto N, Kanomata T, Adachi Y. Magnetostriction of Ni2Mn1−xCrxGa Heusler Alloys. Metals. 2017; 7(10):410. https://doi.org/10.3390/met7100410
Chicago/Turabian StyleSakon, Takuo, Naoki Fujimoto, Takeshi Kanomata, and Yoshiya Adachi. 2017. "Magnetostriction of Ni2Mn1−xCrxGa Heusler Alloys" Metals 7, no. 10: 410. https://doi.org/10.3390/met7100410
APA StyleSakon, T., Fujimoto, N., Kanomata, T., & Adachi, Y. (2017). Magnetostriction of Ni2Mn1−xCrxGa Heusler Alloys. Metals, 7(10), 410. https://doi.org/10.3390/met7100410
