Abstract
In this study, the thermal and mechanical properties of Cu50−xZr43Al7Agx (x = 0, 3, 4, 5, 6) bulk metallic glasses (BMGs) are investigated by using an X-ray diffractometer (XRD), a differential scanning calorimeter (DSC), differential thermal analysis (DTA), a Vickers hardness tester, a material test system (MTS), scanning electron microscopy (SEM), and transmission electron microscopy (TEM). Cu50−xZr43Al7Agx (x = 0, 3, 4, 5, 6) BMGs were made by arc-melting and an injection casting process. The results revealed that the glass transition temperature (Tg) and the crystallization temperature (Tx) of CuZrAl alloy decreased with the Ag addition. Hence, the supercooled liquid region and γ of Cu45Zr43Al7Ag5 alloy increased to 76 K and 0.42, respectively. The thermal stability and glass forming ability of CuZrAlAg BMG alloys were enhanced by the microalloyed Ag content. The room temperature compressive fracture strength and strain measured of Cu47Zr43Al7Ag3 were about 2200 MPa and 2.1%, respectively. The distribution of vein patterns and the formation of nanocrystalline phases on the fracture surface of Cu47Zr43Al7Ag3 alloy can be observed by SEM and TEM to be significant, indicating a typical ductile fracture behavior and an improved plasticity of alloys with the addition of microalloyed Ag from 0 to 6 atom %.
1. Introduction
Cu-Zr-Al bulk metallic glasses (BMGs) with low density have attracted increasing attention due to their high specific strength and density ratio and excellent thermal properties [1,2,3,4,5,6], as compared with the conventional alloys. For example, the Cu45Zr48Al7 BMGs [7] exhibits high fracture stress near 1890 MPa. Hence, the development of Cu-based bulk amorphous alloys in structural parts and the transportation vehicle applications is steadily growing. However, the low workability at room temperature of Cu-based BMGs has limited their applications [7]. Therefore, the enhancement on the plasticity of BMGs with high glass forming ability (GFA) has been strongly requested.
The ductility of BMGs can be solved effectively by the addition of a selected element. Therefore, a positive heat of mixing with the major constituent elements of the base alloys has been reported to increase the room temperature plasticity of BMGs [8,9,10,11,12,13,14]. For example, Cu46Zr45Al7Y2 (Zr-Y: +35 kJ/mol), Cu45Zr47Al7Fe1 (Cu-Fe: +13 kJ/mol), and Cu43Zr43Al7Ag7 (Cu-Ag: +5 kJ/mol) exhibited the enhanced plastic strain of 5.21%, 9.48%, and 6.3%, respectively [15,16,17]. Much research has shown that the adding of Ag can effectively enhance the GFA of the Cu-Zr-, Zr-Cu-, Zr-Cu-Al-based BMGs [18,19,20,21,22,23,24].
In this study, the Cu50Zr43Al7 [25] with high GFA and high thermal stability are used as base alloys, and the structural transformations and the shear deformation process of BMGs are studied by microalloyed Ag content. Variations in thermal and mechanical properties of Cu50−xZr43Al7Agx BMGs made with microalloyed Ag content (from 0 to 6 atom %) are discussed in conjunction with the analysis of XRD, DSC, DTA, micro-hardness, and compression stress-strain curves of measured BMGs.
2. Materials and Methods
The composition of Cu50−xZr43Al7Agx (x = 0, 3, 4, 5, and 6 in the following denoted as Ag0, Ag3, Ag4, Ag5, and Ag6) were selected for preparing the bulk metallic glasses (BMGs). High purity elements (>99.9 wt. % or higher) were pre-alloyed into an alloy ingot by an arc melting process in a Ti-gettered argon atmosphere. Alloy ingots were remelted five times to ensure chemical homogeneity. BMG rod specimens with diameters of 2–3 mm were fabricated by suction casting into a water-cooled Cu mold under an argon atmosphere. Differential scanning calorimeter (TA Instruments DSC 2920, TA Instruments Inc., New Castle, DE, USA) and differential thermal analysis (Perkin Elmer DTA-7, PerkinElmer Inc., Waltham, MA, USA) were used for thermal analyses of the specimens at a heating rate of 20 K/min. Hardness measurements and compression tests were performed with a Vickers hardness tester (Akashi AVK-C2, Akashi Corporation, Kanagawa, Japan) and the MTS 810 material test system at room temperature (at a strain rate of 1 × 10−4). Cylindrical samples with the height-to-diameter ratio of 2:1 were cut from as-cast rods. Structural characterization was examined with an X-ray diffractometer (XRD, Sintage X-4000, with monochromatic Cu-Kα radiation), scanning electron microscopy (SEM, Hitachi S-3400, Hitachi High-Technologies Corporation, Tokyo, Japan), and transmission electron microscopy (TEM, FEI, Tecnai G2 20 S-Twin, FEI company, FEI company, OR, USA).
3. Results and Discussion
3.1. Phase Identification
The XRD patterns of Cu50−xZr43Al7Agx (x = 0, 3, 4, 5, 6) alloys are shown in Figure 1. Within the limit of XRD resolution, the XRD spectra reveal broad diffraction humps without any characteristic Bragg peaks corresponding to crystalline phases. The verification of Cu50−xZr43Al7Agx (x = 0, 3, 4, 5, 6) alloys with the microalloyed Ag addition was achieved.
Figure 1.
XRD patterns of the as-cast Cu50−xZr43Al7Agx (x = 0, 3, 4, 5, 6) alloys.
3.2. Thermal Analysis
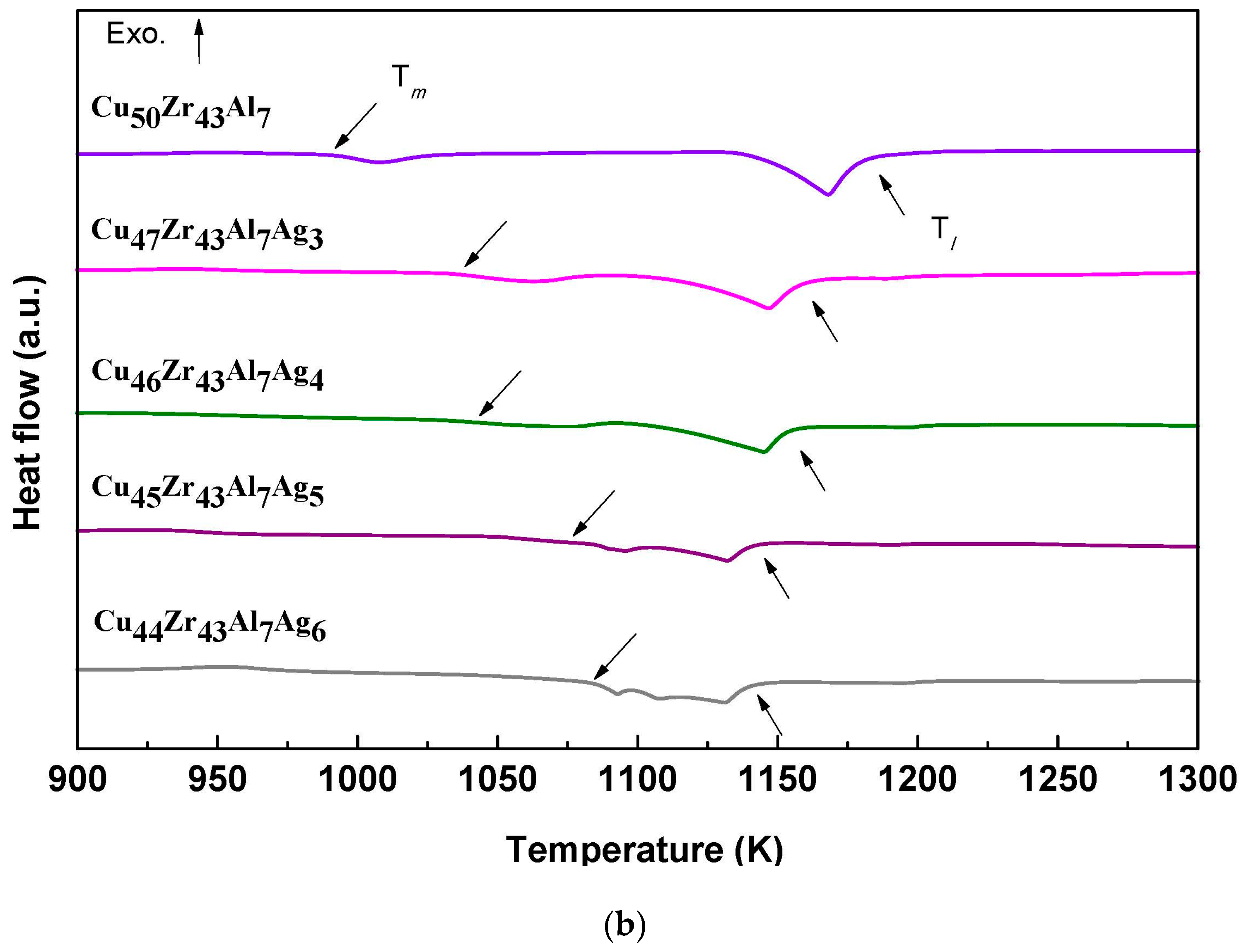
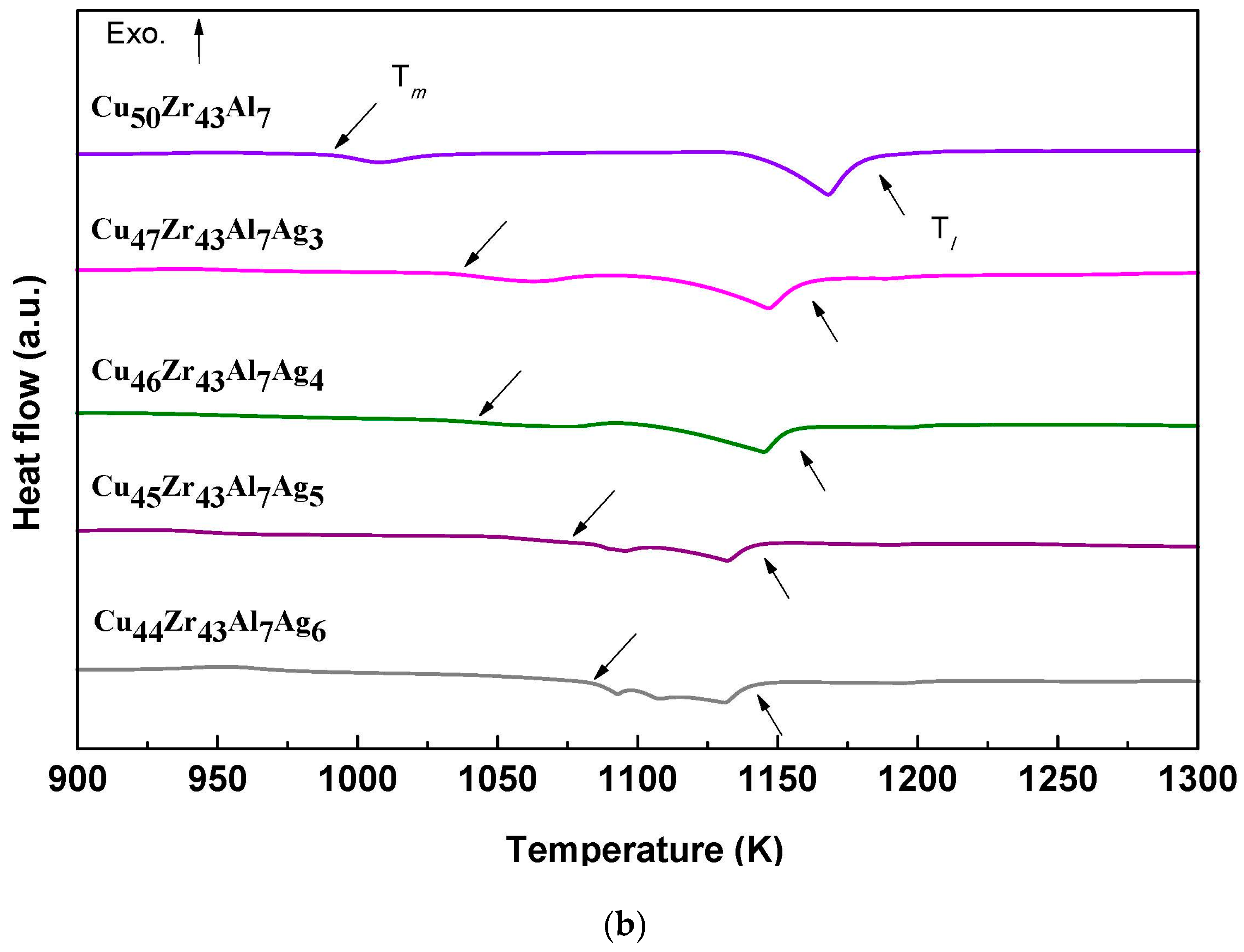
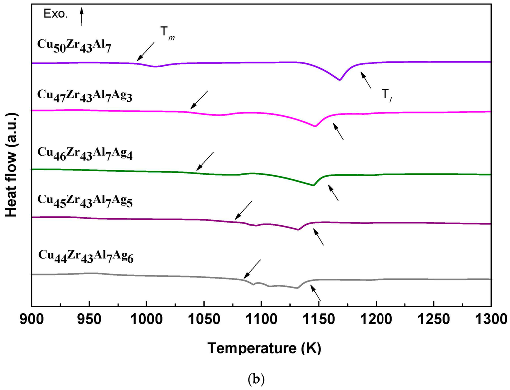
Figure 2 illustrates the DSC and the DTA curves of Cu50−xZr43Al7Agx (x = 0, 3, 4, 5, 6) BMGs. Their glass transition temperature (Tg), crystallization onset temperature (Tx), liquidus temperature (Tl), and related thermal parameters are summarized in Table 1. No obvious variation of the crystallization temperature of the alloys can be found, but both of the glass transition temperatures and the liquidus temperature of the alloys decreases with increasing Ag content. Hence, the reduced glass transition temperature (Trg = Tg/Tl) and the γ parameter (γ = Tx/(Tg + Tl)) increase as the content of microalloyed Ag increases, indicating an increment of the glass forming ability (GFA) of Cu50−xZr43Al7Agx (x = 0, 3, 4, 5, 6) BMGs. The supercooled liquid region (ΔTx = Tx − Tg) are extended from 54 to 76 K with a 5-atom % Ag addition; however, this region is reduced to 62 K as the microalloyed Ag further increases to 6 atom %.

Figure 2.
(a) The DSC and (b) the DTA curves of the Cu50−xZr43Al7Agx (x = 0, 3, 4, 5, 6) BMGs.
Table 1.
Thermal parameters of the Cu50−xZr43Al7Agx (x = 0, 3, 4, 5, 6) BMG alloys measured at a heating rate of 20 K/min.
3.3. Compression Tests and Microstructure Observation
The room temperature compressive stress–strain curves of the Cu50−xZr43Al7Agx rods are shown in Figure 3. The size of the rod samples used for the compression tests was 1 mm in diameter and 2 mm in height. As can be seen, the Ag-free base alloy with composition of Cu50Zr43Al7 exhibits less than 1% plastic strain. Vein-like patterns (as shown in Figure 4a) are displayed on the fracture surface of Cu50Zr43Al7 alloys, indicating a slightly plastic fracture behavior of this specimen. Moreover, the results presented in Figure 3 show that the alloys with Ag contents of 3 and 5 atom % exhibit compressive plasticity and that the compressive strain increased to 2.1% and 1.5%, respectively. However, we found that the plastic strain of CuZrAlAg alloys is lower than that of the base alloy when the microalloyed Ag content exceeds 4 atom %. In addition, the fracture stress of the CuZrAlAg alloy increased to 2280 MPa with a 3-atom % Ag addition; however, it decreased to ~1900 MPa upon further increases in the Ag content. It is observed that the strength of the Cu50−xZr43Al7Agx (x = 0, 3, 4, 5, 6) BMG alloys does not improve with the addition of microalloyed Ag more than 3 atom %. The Cu47Zr43Al7Ag3 BMG alloy exhibits the highest ductility. The variation tendency of hardness (Figure 5) is similar to that of the fracture stress of the Cu50−xZr43Al7Agx (x = 0, 3, 4, 5, 6) alloys.
Figure 3.
Compressive stress-strain curves of the Cu50−xZr43Al7Agx (x = 0, 3, 4, 5, 6) rods at room temperature.

Figure 4.
SEM images of the compressive fracture surface of Cu50−xZr43Al7Agx alloys: (a) x = 0, (b) x = 3, (c) x = 4, (d) x = 5, and (e) x = 6.
Figure 5.
The hardness of the Cu50−xZr43Al7Agx alloys with increasing microalloyed Ag content.
The fracture surface of a Cu47Zr43Al7Ag3 alloy subjected to room temperature compression is displayed in Figure 4b. The appearance of the vein pattern is evidence of the ductile fracture behavior in the Cu47Zr43Al7Ag3 alloy, suggesting that viscous flow occurs during the plastic deformation. With the increasing Ag content, the micrographs on the fracture surface of the Cu50−xZr43Al7Agx (x ≥ 4) alloys shown in Figure 4c–e indicate a gradual reduction in the regions of vein patterns with an increase in smooth areas. The smooth areas are related to the rapid propagation of the brittle fracture.
Figure 6 shows SEM images of the shear bands that occur on the lateral surface of the Cu50−xZr43Al7Agx alloys after compressive testing. It is evident that the primary and secondary shear bands (indicated using a dashed-line arrow) are formed after the room temperature compression. In Figure 6b–d, the secondary shear bands interact with the primary ones and subsequently retard the propagation of the primary shear bands. However, in Figure 6e, no secondary shear bands are visible and only one set of the primary shear bands near the edge of fracture surface is formed. Therefore, the Cu47Zr43Al7Ag6 alloy was excluded from the calculation of shear band density. The statistical shear band density of Cu50−xZr43Al7Agx (x = 0, 3, 4, 5) BMGs with different Ag contents are as follows. The results can be divided into two parts: a rapid increase from 4.1 × 10−3 μm−1 (Ag0) to 11.6 × 10−3 μm−1 (Ag3), followed by a decrease to 9.2 × 10−3 μm−1 (Ag4) and 7.2 × 10−3 μm−1 (Ag5). This suggests that the dense distribution of shear bands is related to the enhanced ductility and strength of BMGs.

Figure 6.
SEM images of the multiple shear bands on the lateral surface of compressive Cu50−xZr43Al7Agx alloys: (a) x = 0, (b) x = 3, (c) x = 4, (d) x = 5, and (e) x = 6. The two arrows indicated the primary shear bands and the secondary shear bands (the arrow with dashed line).
The Cu47Zr43Al7Ag3 BMG alloys possessed the largest fracture strength, hardness, and plastic strain. Therefore, they were selected for further study. SEM micrographs of the outer surface of Cu47Zr43Al7Ag3 rods after compressive testing showed the formation and propagation of the secondary shear bands on the lateral surface of the Cu47Zr43Al7Ag3 alloy, which leads to an increase in plastic strain. This result is confirmed via TEM observation. In contrast to the TEM images of Cu47Zr43Al7Ag3 (Figure 7a,b) and Cu47Zr43Al7Ag6 (Figure 7c,d) alloys shown in Figure 7, the nano-sized crystalline phase is evident from the TEM images of the Cu47Zr43Al7Ag3 amorphous matrix. Ag has a positive enthalpy of mixing with Cu (Cu-Ag: +5 kJ/mol), which results in the separation of the nanocrystalline phase from the liquid state of the Cu47Zr43Al7Ag3 alloy. The formation of a nanocrystalline phase in the BMG matrix leads to the discontinuous propagation and branching of the primary shear bands during the shear deformation [26]. Therefore, the strength, plastic strain, and hardness of the Cu47Zr43Al7Ag3 alloys are enhanced by the presence of small-sized and homogeneously scattered nanocrystals, as observed in the SEM images and in the room temperature compressive stress-strain curves of the Cu47Zr43Al7Ag3 alloy.

Figure 7.
TEM bright field and dark field images of Cu47Zr43Al7Ag3 (a,b) and Cu47Zr43Al7Ag6 (c,d) BMG alloys.
In contrast, the Cu47Zr43Al7Ag6 alloy had fewer nanocrystalline phases in the BMG matrix, which were also of larger size. Hence, the large-sized nanocrystalline phase in Cu47Zr43Al7Ag6 alloy is inefficient for the retarding of the shear band propagation and led to the reduction in hardness, compressive stress, and strain.
4. Conclusion
In conclusion, the structural, thermal, and mechanical properties of Cu50−xZr43Al7Agx amorphous alloys with microalloyed Ag addition (from 0 to 6 atom %) were studied by XRD, thermal analyses, a micro-hardness test, and a compression test. Results indicated that the glass forming ability (γ up to 0.42) and the thermal stability (ΔTx up to 76 K) can be improved by partial substitution of Cu by Ag element. The higher mechanical properties with compressive fracture stress, plastic strain, and hardness near to the values of 2280 MPa, 2.1%, and 510 Hv, respectively, are displayed in the Cu47Zr43Al7Ag3 alloy. In addition, from SEM and TEM observations, the crystallization of nano-sized phase aids to disrupt the propagation of shear deformation, to branch the primary shear bands, and to form the secondary shear bands of alloys during plastic deformation.
Acknowledgments
This work was supported by the National Science Council of Taiwan, under Grant No. NSC102-2221-E-214-016 and MOST 105-2112-M-214-001. In addition, the authors would like to acknowledge the help with the SEM and TEM analyses by the Micro and Nano Analysis Laboratory of I-Shou University.
Author Contributions
T.M.C. designed the experimental procedure; T.M.C., S.R.J., and P.J.H. conducted the experiments and analyzed the data; T.M.C. and P.J.H. performed the analysis tools; P.J.H. wrote the paper.
Conflicts of Interest
The authors declare no conflict of interest.
References
- Wang, D.; Li, Y.; Lu, K.; Ma, E. Bulk metallic glass formation in the binary Cu-Zr system. Appl. Phys. Lett. 2004, 84, 4029. [Google Scholar] [CrossRef]
- Wang, W.H.; Lewandowski, J.J.; Greer, A.L. Understanding the glass forming ability of Cu50Zr50 alloy in terms of metastable eutectic. J. Mater. Res. 2005, 20, 2307. [Google Scholar] [CrossRef]
- Zhang, T.; Men, H.; Pang, S.J.; Fu, J.Y.; Ma, C.L.; Inoue, A. Effects of a minor addition of Si and/or Sn on formation and mechanical properties of Cu-Zr-Ti bulk metallic glass. Mater. Sci. Eng. A 2007, 295, 449. [Google Scholar] [CrossRef]
- Zhang, Q.; Zhang, W.; Inoue, A. New Cu-Zr-based bulk metallic glasses with large diameters of up to 1.5 cm. Scr. Mater. 2006, 55, 711. [Google Scholar] [CrossRef]
- Eckert, J.; Das, J.; Kim, K.B.; Wang, W.H.; Zhang, Z.F. High strength ductile Cu-base metallic glass. Intermetallics 2006, 14, 876. [Google Scholar] [CrossRef]
- Sha, Z.D.; Feng, Y.P.; Li, Y. Statistical composition-structure-property correlation and glass-forming ability based on the full icosahedra in Cu-Zr metallic glasses. Appl. Phys. Lett. 2010, 96, 61903. [Google Scholar] [CrossRef]
- Xu, H.W.; Du, Y.L.; Deng, Y. Effects of Y addition on structural and mechanical properties of CuZrAl bulk metallic glass. Trans. Nonferr. Met. Soc. China 2012, 22, 842. [Google Scholar] [CrossRef]
- Lee, J.C.; Kim, Y.C.; Ahn, J.P.; Kim, H.S.; Lee, S.H.; Lee, B.J. Deformation-induced nanocrystallization and its influence on work hardening in a bulk amorphous matrix composite. Acta Mater. 2004, 52, 1525. [Google Scholar] [CrossRef]
- Bian, Z.; Kato, H.; Qin, C.L.; Zhang, W.; Inoue, A. Cu-Hf-Ti-Ag-Ta bulk metallic glass composites and their properties. Acta Mater. 2005, 53, 2037. [Google Scholar] [CrossRef]
- Kim, K.B.; Das, J.; Venkataraman, S.; Yi, S.; Eckert, J. Work hardening ability of ductile Ti45Cu40Ni7.5Zr5Sn2.5 and Cu47.5Zr47.5Al5 bulk metallic glasses. Appl. Phys. Lett. 2006, 89, 71908. [Google Scholar] [CrossRef]
- Eckert, J.; Das, J.; Pauly, S.; Duhamel, C. Processing Routes, Microstructure and Mechanical Properties of Metallic Glasses and their Composites. Adv. Eng. Mater. 2007, 9, 443. [Google Scholar] [CrossRef]
- Pauly, S.; Liu, G.; Wang, G.; Eckert, J. Microstructural heterogeneities governing the deformation of Cu47.5Zr47.5Al5 bulk metallic glass composites. Acta Mater. 2009, 57, 5445. [Google Scholar] [CrossRef]
- Pauly, S.; Bednarcik, J.; Mattern, N.; Kim, D.H.; Eckert, J. Deformation-induced martensitic transformation in Cu-Zr-(Al,Ti) bulk metallic glass composites. Scr. Mater. 2009, 60, 431. [Google Scholar] [CrossRef]
- Song, K.K.; Pauly, S.; Zhang, Y.; Scudino, S.; Gargarella, P.; Surreddi, K.B.; Kühn, U.; Eckert, J. Significant tensile ductility induced by cold rolling in Cu47.5Zr47.5Al5 bulk metallic glass. Intermetallics 2011, 19, 1394. [Google Scholar] [CrossRef]
- Park, E.S.; Kim, D.H. Phase separation and enhancement of plasticity in Cu-Zr-Al-Y bulk metallic glasses. Acta Mater. 2006, 54, 2597. [Google Scholar] [CrossRef]
- Pan, J.; Liu, L.; Chan, K.C. Enhanced plasticity by phase separation in CuZrAl bulk metallic glass with micro-addition of Fe. Scr. Mater. 2009, 60, 822. [Google Scholar] [CrossRef]
- Kim, Y.C.; Lee, J.C.; Cha, P.R.; Ahn, J.P.; Fleury, E. Enhanced glass forming ability and mechanical properties of new Cu-based bulk metallic glasses. Mater. Sci. Eng. A 2006, 437, 248. [Google Scholar] [CrossRef]
- Zhang, Q.; Zhang, W.; Xie, G.; Inoue, A. Formation of a phase separating bulk metallic glass in Cu40Zr40Al10Ag10 alloy. Mater. Sci. Eng. B 2008, 148, 97. [Google Scholar] [CrossRef]
- Oh, J.C.; Ohkubo, T.; Kim, Y.C.; Fleury, E.; Hono, K. Phase separation in Cu43Zr43Al7Ag7 bulk metallic glass. Scr. Mater. 2005, 53, 165. [Google Scholar] [CrossRef]
- Kündig, A.A.; Ohnuma, M.; Ohkubo, T.; Abe, T.; Hono, K. Glass formation and phase separation in the Ag-Cu-Zr system. Scr. Mater. 2006, 55, 449. [Google Scholar] [CrossRef]
- Louzguine-Luzgin, D.V.; Xie, G.; Zhang, W.; Inoue, A. Devitrification behavior and glass-forming ability of Cu-Zr-Ag alloys. Mater. Sci. Eng. A 2007, 465, 146. [Google Scholar] [CrossRef]
- Zhang, W.; Inoue, A. High glass-forming ability and good mechanical properties of new bulk glassy alloys in Cu-Zr-Ag ternary system. J. Mater. Res. 2006, 21, 234. [Google Scholar] [CrossRef]
- Louzguine-Luzgin, D.V.; Xie, G.; Li, S.; Zhang, Q.S.; Zhang, W.; Suryanarayana, C.; Inoue, A. Glass-forming ability and differences in the crystallization behavior of ribbons and rods of Cu36Zr48Al8Ag8 bulk glass-forming alloy. J. Mater. Res. 2009, 24, 1886. [Google Scholar] [CrossRef]
- Jiang, Q.K.; Wang, X.D.; Nie, X.P.; Zhang, G.Q.; Ma, H.; Fecht, H.-J.; Bendnarick, J.; Franz, H.; Liu, Y.G.; Cao, Q.P.; et al. Zr-(Cu,Ag)-Al bulk metallic glasses. Acta Mater. 2008, 56, 1785. [Google Scholar] [CrossRef]
- Sung, D.S.; Kwon, O.J.; Fleury, E.; Kim, K.B.; Lee, J.C.; Kim, D.H.; Kim, Y.C. Enhancement of the glass forming ability of Cu-Zr-Al alloys by Ag addition. Met. Mater. Int. 2004, 10, 575. [Google Scholar] [CrossRef]
- Wang, W.H.; Dong, C.; Shek, C.H. Bulk metallic glasses. Mater. Sci. Eng. 2004, R44, 45. [Google Scholar] [CrossRef]
© 2016 by the authors; licensee MDPI, Basel, Switzerland. This article is an open access article distributed under the terms and conditions of the Creative Commons Attribution (CC-BY) license (http://creativecommons.org/licenses/by/4.0/).










