Predicting the Ti-Al Binary Phase Diagram with an Artificial Neural Network Potential
Abstract
1. Introduction
2. Methodology
2.1. First-Principles Calculations
2.2. RANN
2.3. Generalized Stacking Fault Energies
2.4. Phase Diagram
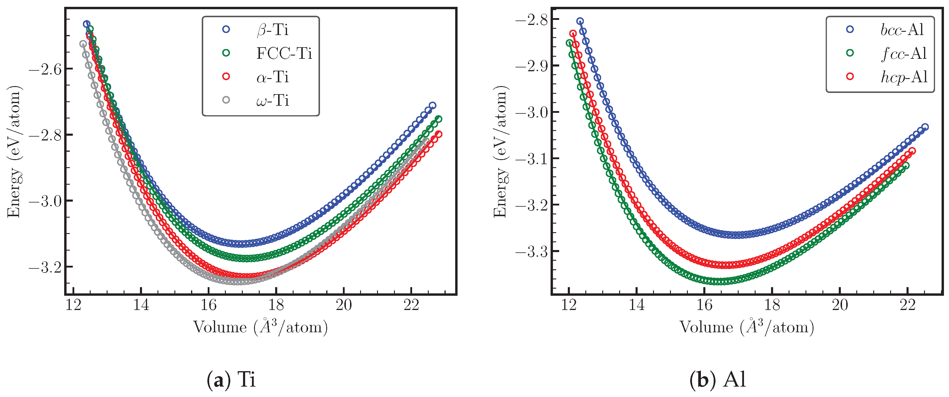
3. Results
3.1. Potential Creation
3.2. Primary Validation
3.3. GSFE Validation
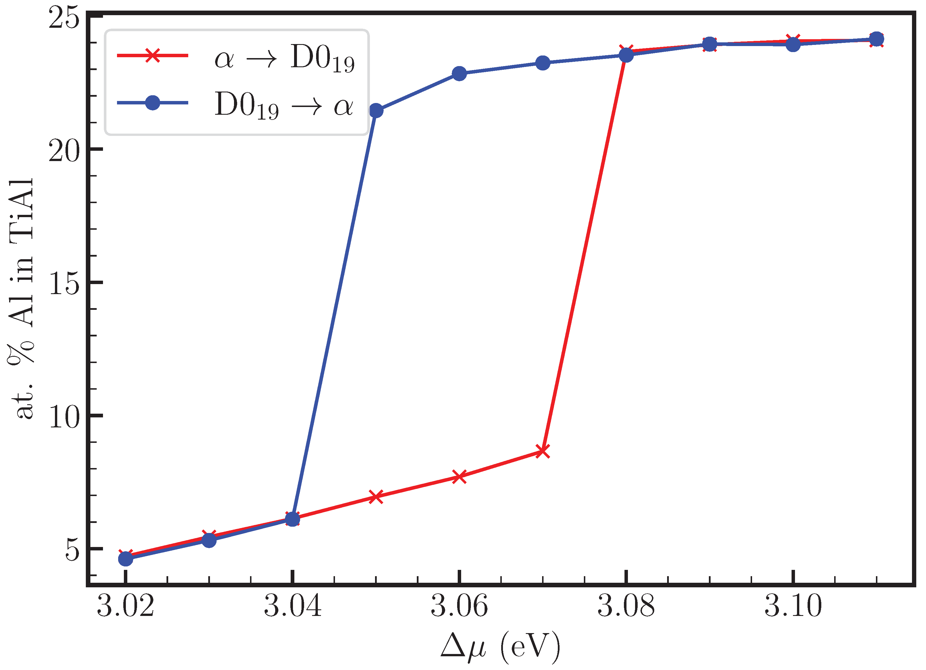
3.4. Potential Prediction at Finite Temperature
4. Discussion
Supplementary Materials
Author Contributions
Funding
Data Availability Statement
Conflicts of Interest
References
- Appel, F.; Paul, J.D.H.; Oehring, M. Gamma Titanium Aluminide Alloys: Science and Technology; John Wiley & Sons: Hoboken, NJ, USA, 2011. [Google Scholar]
- Clemens, H.; Mayer, S. Intermetallic titanium aluminides in aerospace applications–processing, microstructure and properties. Mater. High Temp. 2016, 33, 560–570. [Google Scholar] [CrossRef]
- Leyens, C.; Peters, M. Titanium and Titanium Alloys: Fundamentals and Applications; Wiley Online Library: Hoboken, NJ, USA, 2006. [Google Scholar]
- Dimiduk, D. Gamma titanium aluminide alloys—an assessment within the competition of aerospace structural materials. Mater. Sci. Eng. A 1999, 263, 281–288. [Google Scholar] [CrossRef]
- Kim, S.W.; Na, Y.S.; Yeom, J.T.; Kim, S.E.; Choi, Y.S. An in-situ transmission electron microscopy study on room temperature ductility of TiAl alloys with fully lamellar microstructure. Mater. Sci. Eng. A 2014, 589, 140–145. [Google Scholar] [CrossRef]
- Palomares-García, A.J.; Pérez-Prado, M.T.; Molina-Aldareguia, J.M. Effect of lamellar orientation on the strength and operating deformation mechanisms of fully lamellar TiAl alloys determined by micropillar compression. Acta Mater. 2017, 123, 102–114. [Google Scholar] [CrossRef]
- Guo, Z.; Miodownik, A.; Saunders, N.; Schillé, J.P. Influence of stacking-fault energy on high temperature creep of alpha titanium alloys. Scr. Mater. 2006, 54, 2175–2178. [Google Scholar] [CrossRef]
- Appel, F.; Wagner, R. Microstructure and deformation of two-phase γ-titanium aluminides. Mater. Sci. Eng. Rep. 1998, 22, 187–268. [Google Scholar] [CrossRef]
- Veiga, C.; Davim, J.P.; Loureiro, A. Properties and applications of titanium alloys: A brief review. Rev. Adv. Mater. Sci. 2012, 32, 133–148. [Google Scholar]
- Jepson, K.; Brown, A.R.; Gray, J. Effect of Cooling Rate on the Beta Transformation in Titanium–Niobium and Titanium–Aluminium Alloys; Technical Report; Royal Aircraft Establishment: Farnborough, UK, 1970. [Google Scholar]
- Sato, T.; Hukai, S.; Huang, Y.C. The Ms points of binary titanium alloys. J. Austral. Inst. Met. 1960, 5, 149–153. [Google Scholar]
- Asta, M.; de Fontaine, D.; van Schilfgaarde, M.; Sluiter, M.; Methfessel, M. First-principles phase-stability study of fcc alloys in the Ti-Al system. Phys. Rev. B 1992, 46, 5055. [Google Scholar] [CrossRef]
- Shang, S.; Kim, D.; Zacherl, C.; Wang, Y.; Du, Y.; Liu, Z. Effects of alloying elements and temperature on the elastic properties of dilute Ni-base superalloys from first-principles calculations. J. Appl. Phys. 2012, 112, 053515. [Google Scholar] [CrossRef]
- Liu, Y.; Liu, L.; Wang, S.; Ye, H. First-principles study of shear deformation in TiAl and Ti3Al. Intermetallics 2007, 15, 428–435. [Google Scholar] [CrossRef]
- Ding, R.; Li, H.; Hu, D.; Martin, N.; Dixon, M.; Bowen, P. Features of fracture surface in a fully lamellar TiAl-base alloy. Intermetallics 2015, 58, 36–42. [Google Scholar] [CrossRef]
- Yoo, M.; Zou, J.; Fu, C. Mechanistic modeling of deformation and fracture behavior in TiAl and Ti3Al. Mater. Sci. Eng. A 1995, 192, 14–23. [Google Scholar] [CrossRef]
- Fu, C.; Yoo, M. Elastic constants, fault energies, and dislocation reactions in TiAl: A first-principles total-energy investigation. Philos. Mag. Lett. 1990, 62, 159–165. [Google Scholar] [CrossRef]
- Sun, J.; Trimby, P.; Si, X.; Liao, X.; Tao, N.; Wang, J. Nano twins in ultrafine-grained Ti processed by dynamic plastic deformation. Scr. Mater. 2013, 68, 475–478. [Google Scholar] [CrossRef]
- Lee, T.; Kim, S.W.; Kim, J.Y.; Ko, W.S.; Ryu, S. First-principles study of the ternary effects on the plasticity of γ-TiAl crystals. Sci. Rep. 2020, 10, 21614. [Google Scholar] [CrossRef]
- Daw, M.S.; Baskes, M.I. Embedded-atom method: Derivation and application to impurities, surfaces, and other defects in metals. Phys. Rev. B 1984, 29, 6443. [Google Scholar] [CrossRef]
- Farkas, D.; Jones, C. Interatomic potentials for ternary Nb-Ti-Al alloys. Model. Simul. Mater. Sci. Eng. 1996, 4, 23. [Google Scholar] [CrossRef]
- Zope, R.R.; Mishin, Y. Interatomic potentials for atomistic simulations of the Ti-Al system. Phys. Rev. B 2003, 68, 024102. [Google Scholar] [CrossRef]
- Baskes, M. Application of the embedded-atom method to covalent materials: A semiempirical potential for silicon. Phys. Rev. Lett. 1987, 59, 2666. [Google Scholar] [CrossRef] [PubMed]
- Baskes, M.; Nelson, J.; Wright, A. Semiempirical modified embedded-atom potentials for silicon and germanium. Phys. Rev. B 1989, 40, 6085. [Google Scholar] [CrossRef]
- Kim, Y.K.; Kim, H.K.; Jung, W.S.; Lee, B.J. Atomistic modeling of the Ti–Al binary system. Comput. Mater. Sci. 2016, 119, 1–8. [Google Scholar] [CrossRef]
- Koizumi, Y.; Ogata, S.; Minamino, Y.; Tsuji, N. Energies of conservative and non-conservative antiphase boundaries in Ti3Al: A first principles study. Philos. Mag. 2006, 86, 1243–1259. [Google Scholar] [CrossRef]
- Karkina, L.; Yakovenkova, L. Dislocation core structure and deformation behavior of Ti3Al. Model. Simul. Mater. Sci. Eng. 2012, 20, 065003. [Google Scholar] [CrossRef]
- Legros, M.; Corn, A.; Caillard, D. Prismatic and basal slip in Ti3Al I. Frictional forces on dislocations. Philos. Mag. A 1996, 73, 61–80. [Google Scholar] [CrossRef]
- Pei, Q.X.; Jhon, M.; Quek, S.S.; Wu, Z. A systematic study of interatomic potentials for mechanical behaviours of Ti-Al alloys. Comput. Mater. Sci. 2021, 188, 110239. [Google Scholar] [CrossRef]
- Smith, J.S.; Isayev, O.; Roitberg, A.E. ANI-1: An extensible neural network potential with DFT accuracy at force field computational cost. Chem. Sci. 2017, 8, 3192–3203. [Google Scholar] [CrossRef] [PubMed]
- Vita, J.A.; Trinkle, D.R. Spline-based neural network interatomic potentials: Blending classical and machine learning models. Comput. Mater. Sci. 2024, 232, 112655. [Google Scholar] [CrossRef]
- Morawietz, T.; Artrith, N. Machine learning-accelerated quantum mechanics-based atomistic simulations for industrial applications. J. -Comput.-Aided Mol. Des. 2021, 35, 557–586. [Google Scholar] [CrossRef] [PubMed]
- Zuo, Y.; Chen, C.; Li, X.; Deng, Z.; Chen, Y.; Behler, J.; Csányi, G.; Shapeev, A.V.; Thompson, A.P.; Wood, M.A.; et al. Performance and cost assessment of machine learning interatomic potentials. J. Phys. Chem. A 2020, 124, 731–745. [Google Scholar] [CrossRef]
- Deringer, V.L.; Caro, M.A.; Csányi, G. Machine learning interatomic potentials as emerging tools for materials science. Adv. Mater. 2019, 31, 1902765. [Google Scholar] [CrossRef]
- Behler, J. Perspective: Machine learning potentials for atomistic simulations. J. Chem. Phys. 2016, 145. [Google Scholar] [CrossRef]
- Kobayashi, R.; Giofré, D.; Junge, T.; Ceriotti, M.; Curtin, W.A. Neural network potential for Al-Mg-Si alloys. Phys. Rev. Mater. 2017, 1, 053604. [Google Scholar] [CrossRef]
- Dickel, D.; Nitol, M.; Barrett, C. LAMMPS implementation of rapid artificial neural network derived interatomic potentials. Comput. Mater. Sci. 2021, 196, 110481. [Google Scholar] [CrossRef]
- Thompson, A.P.; Swiler, L.P.; Trott, C.R.; Foiles, S.M.; Tucker, G.J. Spectral neighbor analysis method for automated generation of quantum-accurate interatomic potentials. J. Comput. Phys. 2015, 285, 316–330. [Google Scholar] [CrossRef]
- Bartók, A.P.; Payne, M.C.; Kondor, R.; Csányi, G. Gaussian approximation potentials: The accuracy of quantum mechanics, without the electrons. Phys. Rev. Lett. 2010, 104, 136403. [Google Scholar] [CrossRef] [PubMed]
- Shapeev, A.V. Moment tensor potentials: A class of systematically improvable interatomic potentials. Multiscale Model. Simul. 2016, 14, 1153–1173. [Google Scholar] [CrossRef]
- Qi, J.; Aitken, Z.; Pei, Q.; Tan, A.M.Z.; Zuo, Y.; Jhon, M.; Quek, S.; Wen, T.; Wu, Z.; Ong, S.P. Machine Learning Moment Tensor Potential for Modelling Dislocation and Fracture in L10-TiAl and D019-Ti3Al Alloys. arXiv 2023, arXiv:2305.11825. [Google Scholar]
- Seko, A. Machine learning potentials for multicomponent systems: The Ti-Al binary system. Phys. Rev. B 2020, 102, 174104. [Google Scholar] [CrossRef]
- Dickel, D.; Barrett, C.D.; Carino, R.L.; Baskes, M.I.; Horstemeyer, M.F. Mechanical instabilities in the modeling of phase transitions of titanium. Model. Simul. Mater. Sci. Eng. 2018, 26, 065002. [Google Scholar] [CrossRef]
- Nitol, M.S.; Dickel, D.E.; Barrett, C.D. Machine learning models for predictive materials science from fundamental physics: An application to titanium and zirconium. Acta Mater. 2022, 224, 117347. [Google Scholar] [CrossRef]
- Nitol, M.S.; Dang, K.; Fensin, S.J.; Baskes, M.I.; Dickel, D.E.; Barrett, C.D. Hybrid interatomic potential for Sn. Phys. Rev. Mater. 2023, 7, 043601. [Google Scholar] [CrossRef]
- Nitol, M.S.; Mun, S.; Dickel, D.E.; Barrett, C.D. Unraveling Mg <c + a> slip using neural network potential. Philos. Mag. 2022, 102, 651–673. [Google Scholar] [CrossRef]
- Nitol, M.S.; Dickel, D.E.; Barrett, C.D. Artificial neural network potential for pure zinc. Comput. Mater. Sci. 2021, 188, 110207. [Google Scholar] [CrossRef]
- Hafner, J. Ab-initio simulations of materials using VASP: Density-functional theory and beyond. J. Comput. Chem. 2008, 29, 2044–2078. [Google Scholar] [CrossRef] [PubMed]
- Perdew, J.P.; Burke, K.; Ernzerhof, M. Generalized gradient approximation made simple. Phys. Rev. Lett. 1996, 77, 3865. [Google Scholar] [CrossRef] [PubMed]
- Dickel, D.; Francis, D.; Barrett, C. Neural network aided development of a semi-empirical interatomic potential for titanium. Comput. Mater. Sci. 2020, 171, 109157. [Google Scholar] [CrossRef]
- Baskes, M.I. Determination of modified embedded atom method parameters for nickel. Mater. Chem. Phys. 1997, 50, 152–158. [Google Scholar] [CrossRef]
- Lee, B.J.; Baskes, M.I. Second nearest-neighbor modified embedded-atom-method potential. Phys. Rev. B 2000, 62, 8564. [Google Scholar] [CrossRef]
- Levenberg, K. A method for the solution of certain non-linear problems in least squares. Q. Appl. Math. 1944, 2, 164–168. [Google Scholar] [CrossRef]
- Marquardt, D.W. An algorithm for least-squares estimation of nonlinear parameters. J. Soc. Ind. Appl. Math. 1963, 11, 431–441. [Google Scholar] [CrossRef]
- Artrith, N.; Urban, A. An implementation of artificial neural-network potentials for atomistic materials simulations: Performance for TiO2. Comput. Mater. Sci. 2016, 114, 135–150. [Google Scholar] [CrossRef]
- Becker, C.A.; Tavazza, F.; Trautt, Z.T.; Buarque de Macedo, R.A. Considerations for choosing and using force fields and interatomic potentials in materials science and engineering. Curr. Opin. Solid State Mater. Sci. 2013, 17, 277–283. [Google Scholar] [CrossRef]
- Hale, L.M.; Trautt, Z.T.; Becker, C.A. Evaluating variability with atomistic simulations: The effect of potential and calculation methodology on the modeling of lattice and elastic constants. Model. Simul. Mater. Sci. Eng. 2018, 26, 055003. [Google Scholar] [CrossRef]
- Sadigh, B.; Erhart, P.; Stukowski, A.; Caro, A.; Martinez, E.; Zepeda-Ruiz, L. Scalable parallel Monte Carlo algorithm for atomistic simulations of precipitation in alloys. Phys. Rev. B 2012, 85, 184203. [Google Scholar] [CrossRef]
- Metropolis, N.; Rosenbluth, A.W.; Rosenbluth, M.N.; Teller, A.H.; Teller, E. Equation of state calculations by fast computing machines. J. Chem. Phys. 1953, 21, 1087–1092. [Google Scholar] [CrossRef]
- Kiely, E.; Zwane, R.; Fox, R.; Reilly, A.M.; Guerin, S. Density functional theory predictions of the mechanical properties of crystalline materials. CrystEngComm 2021, 23, 5697–5710. [Google Scholar] [CrossRef]
- Jafari, M.; Zarifi, N.; Nobakhti, M.; Jahandoost, A.; Lame, M. Pseudopotential calculation of the bulk modulus and phonon dispersion of the bcc and hcp structures of titanium. Phys. Scr. 2011, 83, 065603. [Google Scholar] [CrossRef]
- Simmons, G.; Wang, H. Single Crystal Elastic Constants and Calculated Aggregate Properties: A Handbook; MIT Press: Cambridge, MA, USA, 1971. [Google Scholar]
- Yin, B.; Wu, Z.; Curtin, W. Comprehensive first-principles study of stable stacking faults in hcp metals. Acta Mater. 2017, 123, 223–234. [Google Scholar] [CrossRef]
- Kittel, C. Introduction to Solid State Physics; John Wiley & Sons, Inc: Hoboken, NJ, USA, 2005. [Google Scholar]
- Fisher, E.; Renken, C. Single-crystal elastic moduli and the hcp → bcc transformation in Ti, Zr, and Hf. Phys. Rev. 1964, 135, A482. [Google Scholar] [CrossRef]
- Boer, F.R. Cohesion in Metals: Transition Metal Alloys; North Holland: Amsterdam, The Netherlands, 1988; Volume 1. [Google Scholar]
- Tyson, W.; Miller, W. Surface free energies of solid metals: Estimation from liquid surface tension measurements. Surf. Sci. 1977, 62, 267–276. [Google Scholar] [CrossRef]
- Blakemore, J.S. Solid State Physics; Cambridge University Press: Cambridge, UK, 1985. [Google Scholar]
- Malica, C.; Dal Corso, A. Quasi-harmonic temperature dependent elastic constants: Applications to silicon, aluminum, and silver. J. Phys. Condens. Matter 2020, 32, 315902. [Google Scholar] [CrossRef]
- Li, W.; Wang, T. Ab initio investigation of the elasticity and stability of aluminium. J. Phys. Condens. Matter 1998, 10, 9889. [Google Scholar] [CrossRef]
- Wang, H.; Li, M. Ab initio calculations of second-, third-, and fourth-order elastic constants for single crystals. Phys. Rev. B 2009, 79, 224102. [Google Scholar] [CrossRef]
- Golesorkhtabar, R.; Pavone, P.; Spitaler, J.; Puschnig, P.; Draxl, C. ElaStic: A tool for calculating second-order elastic constants from first principles. Comput. Phys. Commun. 2013, 184, 1861–1873. [Google Scholar] [CrossRef]
- Shang, S.; Saengdeejing, A.; Mei, Z.; Kim, D.; Zhang, H.; Ganeshan, S.; Wang, Y.; Liu, Z. First-principles calculations of pure elements: Equations of state and elastic stiffness constants. Comput. Mater. Sci. 2010, 48, 813–826. [Google Scholar] [CrossRef]
- Lu, G.; Kioussis, N.; Bulatov, V.V.; Kaxiras, E. Generalized-stacking-fault energy surface and dislocation properties of aluminum. Phys. Rev. B 2000, 62, 3099. [Google Scholar] [CrossRef]
- Wu, X.Z.; Wang, R.; Wang, S.F.; Wei, Q.Y. Ab initio calculations of generalized-stacking-fault energy surfaces and surface energies for FCC metals. Appl. Surf. Sci. 2010, 256, 6345–6349. [Google Scholar] [CrossRef]
- Smallman, R.; Dobson, P. Stacking fault energy measurement from diffusion. Metall. Trans. 1970, 1, 2383–2389. [Google Scholar] [CrossRef]
- Woodward, C.; Trinkle, D.; Hector, L., Jr.; Olmsted, D. Prediction of dislocation cores in aluminum from density functional theory. Phys. Rev. Lett. 2008, 100, 045507. [Google Scholar] [CrossRef] [PubMed]
- Crampin, S.; Hampel, K.; Vvedensky, D.; MacLaren, J. The calculation of stacking fault energies in close-packed metals. J. Mater. Res. 1990, 5, 2107–2119. [Google Scholar] [CrossRef]
- Denteneer, P.; Soler, J. Defect energetics in aluminium. J. Phys. Condens. Matter 1991, 3, 8777. [Google Scholar] [CrossRef]
- Hammer, B.; Jacobsen, K.; Milman, V.; Payne, M. Stacking fault energies in aluminium. J. Phys. Condens. Matter 1992, 4, 10453. [Google Scholar] [CrossRef]
- Hehenkamp, T. Absolute vacancy concentrations in noble metals and some of their alloys. J. Phys. Chem. Solids 1994, 55, 907–915. [Google Scholar] [CrossRef]
- Tanaka, K.; Okamoto, K.; Inui, H.; Minonishi, Y.; Yamaguchi, M.; Koiwa, M. Elastic constants and their temperature dependence for the intermetallic compound Ti3Al. Philos. Mag. A 1996, 73, 1475–1488. [Google Scholar] [CrossRef]
- Wei, Y.; Zhang, Y.; Lu, G.H.; Xu, H. SITE PREFERENCE AND ELASTIC PROPERTIES OF A 2-Ti 3 Al WITH OXYGEN IMPURITY: A FIRST-PRINCIPLES STUDY. Int. J. Mod. Phys. B 2010, 24, 2749–2755. [Google Scholar] [CrossRef]
- Zhang, C.; Hou, H.; Zhao, Y.; Yang, X.; Guo, Y. First-principles study on structural, elastic and thermal properties of γ-TiAl and α2-Ti3Al phases in TiAl-based alloy under high pressure. Int. J. Mod. Phys. B 2017, 31, 1750079. [Google Scholar] [CrossRef]
- Pearson, W.B. A Handbook of Lattice Spacings and Structures of Metals and Alloys: INTERNATIONAL Series of Monographs on Metal Physics and Physical Metallurgy; Elsevier: Amsterdam, The Netherlands, 2013; Volume 4. [Google Scholar]
- Tanaka, K. Single-crystal elastic constants of γ-TiAl. Philos. Mag. Lett. 1996, 73, 71–78. [Google Scholar] [CrossRef]
- Fu, H.; Zhao, Z.; Liu, W.; Peng, F.; Gao, T.; Cheng, X. Ab initio calculations of elastic constants and thermodynamic properties of γTiAl under high pressures. Intermetallics 2010, 18, 761–766. [Google Scholar] [CrossRef]
- Li, J.; Zhang, M.; Luo, X. Theoretical investigations on phase stability, elastic constants and electronic structures of D022-and L12-Al3Ti under high pressure. J. Alloys Compd. 2013, 556, 214–220. [Google Scholar] [CrossRef]
- Tang, P.Y.; Tang, B.Y.; Su, X.P. First-principles studies of typical long-period superstructures Al5Ti3, h-Al2Ti and r-Al2Ti in Al-rich TiAl alloys. Comput. Mater. Sci. 2011, 50, 1467–1476. [Google Scholar] [CrossRef]
- Kwasniak, P.; Garbacz, H.; Kurzydlowski, K. Solid solution strengthening of hexagonal titanium alloys: Restoring forces and stacking faults calculated from first principles. Acta Mater. 2016, 102, 304–314. [Google Scholar] [CrossRef]
- Rao, S.; Venkateswaran, A.; Letherwood, M. Molecular statics and molecular dynamics simulations of the critical stress for motion of a/3〈1 1 2 0〉 screw dislocations in α-Ti at low temperatures using a modified embedded atom method potential. Acta Mater. 2013, 61, 1904–1912. [Google Scholar] [CrossRef]
- Spreadborough, J.; Christian, J. The measurement of the lattice expansions and Debye temperatures of titanium and silver by X-ray methods. Proc. Phys. Soc. 1959, 74, 609. [Google Scholar] [CrossRef]
- Kornilov, I.; Pylaeva, E.; Volkova, M. Phase diagram of the binary system titanium-aluminum. Bull. Acad. Sci. Ussr, Div. Chem. Sci. 1956, 5, 787–795. [Google Scholar] [CrossRef]
- Rostoker, W. Observations on the lattice parameters of the alpha solid solution in the titanium-aluminum system. Jom 1952, 4, 212–213. [Google Scholar] [CrossRef]
- Hennig, R.; Lenosky, T.; Trinkle, D.; Rudin, S.; Wilkins, J. Classical potential describes martensitic phase transformations between the α, β, and ω titanium phases. Phys. Rev. B 2008, 78, 054121. [Google Scholar] [CrossRef]
- Stukowski, A. Visualization and analysis of atomistic simulation data with OVITO-the Open Visualization Tool. Model. Simul. Mater. Sci. Eng. 2010, 18, 015012. [Google Scholar] [CrossRef]
- Kainuma, R.; Palm, M.; Inden, G. Solid-phase equilibria in the Ti-rich part of the Ti Al system. Intermetallics 1994, 2, 321–332. [Google Scholar] [CrossRef]
- Blackburn, M. The ordering transformation in titanium- aluminum alloys containing up to 25 at. pct aluminum(Ti-Al alloys ordering transformation studied by electron microscopy and electron and X-ray diffraction, showing existence of three phase fields). Aime Trans. 1967, 239, 1200–1208. [Google Scholar]
- Shull, R.; McAlister, A.; Reno, R. Phase equilibria in the titanium-aluminum system. In Titanium: Science and Technology; Deutsche Gesellschaft für Metallkunde: Sankt Augustin, Germany, 1985; pp. 1459–1466. [Google Scholar]
- Ohnuma, I.; Fujita, Y.; Mitsui, H.; Ishikawa, K.; Kainuma, R.; Ishida, K. Phase equilibria in the Ti–Al binary system. Acta Mater. 2000, 48, 3113–3123. [Google Scholar] [CrossRef]













| Fingerprint Metaparameters | Ti | Al |
|---|---|---|
| m | ∈{0 …5} | ∈{0 …4} |
| n | ∈1 …3} | ∈1 …3} |
| 2.924308 | 2.856975 | |
| 4.72 | 4.685598 | |
| 1, 2, 5, 9 | 1, 2, 5, 9 | |
| 8.0 | 8.0 | |
| r | 5.075692 | 5.143025 |
| 0.49 | 0.49 | |
| 1.44 | 1.44 |
| RANN | MTP | RANN | MTP | MEAM | MEAM | ||
|---|---|---|---|---|---|---|---|
| 900 | 8.6 | 12.9 | 22.7 | 23.6 | 973 | 6.3 | 24.1 |
| 1000 | 9.7 | 15.2 | 22.3 | 23.4 | 1023 | 8.7 | 24.1 |
| 1100 | 11.1 | 18.2 | 21.6 | 23.7 | 1123 | 13.3 | 23.8 |
| 1200 | 14.2 | — | 22.2 | — | 1173 | 16.9 | 23.2 |
| at.% Al | (K) | (K) | (K) | |||
|---|---|---|---|---|---|---|
| RANN | MTP | RANN | MTP | RANN | MTP | |
| 0 | 1525 | 1602 | 1657 | 1883 | 1192 | 1027 |
| 2.5 | 1522 | 1617 | 1673 | 1884 | 1206 | 1105 |
| 5 | 1535 | 1617 | 1675 | 1877 | 1235 | 1135 |
| 7.5 | 1561 | 1661 | 1691 | 1887 | 1247 | 1242 |
| 10 | 1579 | 1690 | 1666 | 1883 | 1280 | 1364 |
| 12.5 | 1592 | 1707 | 1700 | 1898 | 1327 | 1379 |
| 15 | 1619 | 1732 | 1707 | 1887 | 1362 | 1497 |
| 17.5 | 1620 | 1748 | 1718 | 1887 | 1417 | 1535 |
| 20 | 1634 | 1770 | 1738 | 1887 | 1426 | 1573 |
Disclaimer/Publisher’s Note: The statements, opinions and data contained in all publications are solely those of the individual author(s) and contributor(s) and not of MDPI and/or the editor(s). MDPI and/or the editor(s) disclaim responsibility for any injury to people or property resulting from any ideas, methods, instructions or products referred to in the content. |
© 2026 by the authors. Licensee MDPI, Basel, Switzerland. This article is an open access article distributed under the terms and conditions of the Creative Commons Attribution (CC BY) license.
Share and Cite
Nichols, M.; Nitol, M.S.; Fensin, S.J.; Barrett, C.D.; Dickel, D.E. Predicting the Ti-Al Binary Phase Diagram with an Artificial Neural Network Potential. Metals 2026, 16, 140. https://doi.org/10.3390/met16020140
Nichols M, Nitol MS, Fensin SJ, Barrett CD, Dickel DE. Predicting the Ti-Al Binary Phase Diagram with an Artificial Neural Network Potential. Metals. 2026; 16(2):140. https://doi.org/10.3390/met16020140
Chicago/Turabian StyleNichols, Micah, Mashroor S. Nitol, Saryu J. Fensin, Christopher D. Barrett, and Doyl E. Dickel. 2026. "Predicting the Ti-Al Binary Phase Diagram with an Artificial Neural Network Potential" Metals 16, no. 2: 140. https://doi.org/10.3390/met16020140
APA StyleNichols, M., Nitol, M. S., Fensin, S. J., Barrett, C. D., & Dickel, D. E. (2026). Predicting the Ti-Al Binary Phase Diagram with an Artificial Neural Network Potential. Metals, 16(2), 140. https://doi.org/10.3390/met16020140

