A Novel Approach to Rockwell and Scratch Adhesion Tests for Hard Coatings Deposited onto Ti6Al4V Substrates
Abstract
1. Introduction
2. Materials and Methods
2.1. Choice of Coating/Substrate Combinations
- The substrate fabrication method: LPBF and conventional rolling. This influences the microstructure of the material and, therefore, its mechanical properties [35,36] and the mechanical support provided to a thin coating. This ultimately affects the practical adhesion [37] of the coating. In fact, it has long been known that increasing the hardness of the substrate increases the critical load values measured by scratch testing [38]. Therefore, additively manufactured Ti6Al4V substrates were fabricated by the LPBF process in a SLM®280 machine (SLM Solution, Lübeck, Schleswig-Holstein, Germany) with the processing conditions described in [39]. The starting feedstock was a gas-atomized Ti6Al4V powder with 90% of the particles in the equivalent diameter range of 20–63 µm, as depicted in Figure 2. Its chemical composition is listed in Table 1.
- The substrate heat-treatment condition: after the LPBF fabrication, one set of bars was annealed at 740 °C × 130 min (i.e., below the β-transus) while another was solution at 1050 °C × 60 min (i.e., above the β-transus). The rolled bars were heat treated at 600 °C × 120 min as a stress-relieving heat treatment. In combination with the initial fabrication method, the heat treatment concurs to determining the final microstructure and, therefore, the mechanical properties of the substrate [35,40], extending the range of representative conditions probed in the adhesion tests.
- The surface finishing of the substrate, controlled by mechanical grinding with sandpapers of different grits. In fact, the substrate roughness is known to affect the adhesion of thin-film coatings [41,42]. The early reports indicate a tendency toward lower scratch adhesion and increased data scatter when the substrate roughness increases beyond Ra~0.05 µm [43,44], although sometimes the dependence between the roughness and scratch adhesion is more complex and non-linear [45]. Thus, all the rolled and LPBF substrates were cut in samples of 13 mm length, 15 mm in width, 5 mm in thickness after the heat treatment (Figure 1), and a wide spectrum of roughness was induced on their surfaces (before the deposition of the coatings) by grinding with SiC abrasive papers of different grit size. The surface roughness was measured on a surface area of 9.2 mm2 using a non-contact 3D profilometer (Taylor Hobson, Leicester, UK) equipped with the Mountains® platform software (Digital Surf, Besançon, France). The arithmetic mean height Sa (surface roughness) ranged between 0.11 and 1.6 μm. Each value was obtained through manual grinding operations by using SiC abrasive papers from P80 to P2400, and each surface was controlled by the non-contact 3D profilometer. The P80 and P180 were used to obtain rough substrates, while P1200 and P2400 were used to achieve low Sa values on bare substrate (smooth surfaces).
| Elements | Ti | Al | V | C | Fe | O | N | H |
|---|---|---|---|---|---|---|---|---|
| wt.% | Bal. | 6.5 | 4.1 | 0.01 | 0.2 | 0.1 | 0.01 | 0.001 |
2.2. Coating Deposition Conditions
2.3. Characterization of the Coated Systems
3. Results and Discussion
3.1. Structure and Microstructure of the Substrates and Thin Films
3.2. Analysis of the Coating/Substrate Adhesion: Rockwell Indentation Test
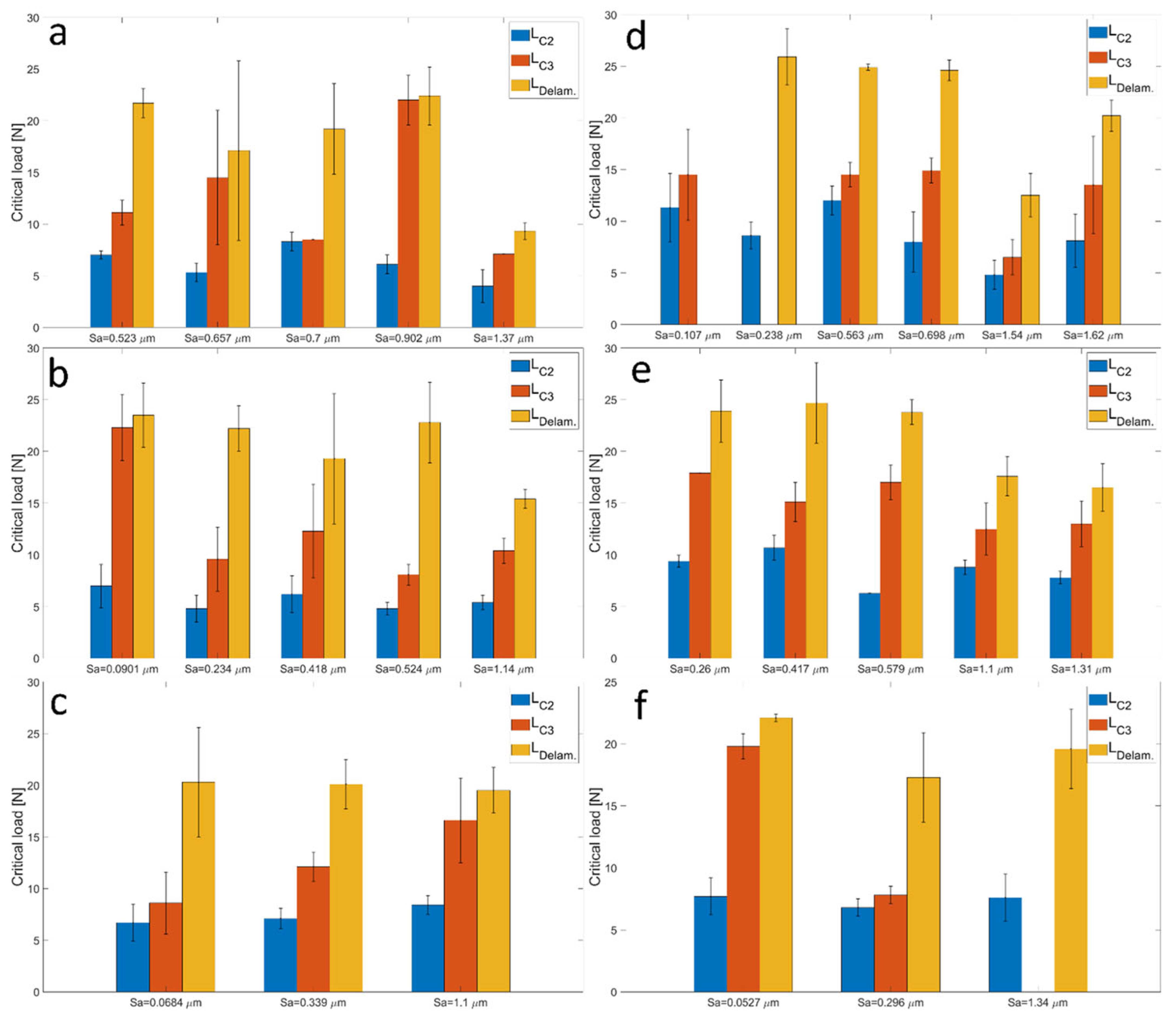
3.3. Analysis of Scratch Test Results
4. Conclusions
- The films showed good adhesion regardless of the roughness and the microstructure of the LPBF and rolled Ti6Al4V substrates. Where delamination areas were formed, a portion of both the DLC-based and the AlCrN coatings remained well adherent to the substrates. The extension of these delaminated areas displayed a monotonic correlation with the number of radial cracks per unit length, regardless of the surface finishes.
- Optical microscope observations at low magnification, as dictated by VDI 3198 standard, suggested a better adhesion class than was truly obtained when investigating the sample surfaces in more detail.
- Values of surface roughness (Sa) higher than 1 μm limited the applicability of VDI3198 standard in detecting the coating damages. Deep dales and high peaks aligned with the radial direction of the Rockwell indentation hid the presence of radial cracks and, therefore, led to an underestimation of the actual damage. Additionally, in the scratch test a high surface roughness made the smallest cracks associated with the critical load LC1 not discernible.
- Although the films were similarly damaged through cracks and delaminations during both the scratch test and the Rockwell indentation, the scratch test was a bit more sensitive in detecting the effect of surface roughness on adhesion strength. It was indeed capable of probing the complete removal of the coating, and a weak negative correlation emerged between the delamination load and the arithmetic mean roughness amplitude of the substrate surface. Additionally, there is a weak positive correlation between the percentage of delaminated area in the VDI test and the critical load of delamination in the scratch test. Nevertheless, when trying to correlate directly the percentage of delaminated area in the VDI test to the substrate surface roughness, we could not find a significant correlation, probably because of the large scatter of the data.
Author Contributions
Funding
Data Availability Statement
Acknowledgments
Conflicts of Interest
Abbreviations
| AES | Auger electron spectroscopy |
| CAD | Computer-aided design |
| CM | Conventional manufacturing |
| DLC | Diamond-like carbon |
| EDS | Energy-dispersive spectroscopy |
| FIB-SEM | Focused ion beam scanning electron microscopy |
| GB | Grain boundaries |
| HiPIMS | High-power impulse magnetron sputtering |
| LPBF | Laser powder bed fusion |
| PE-CVD | Plasma-enhanced chemical vapour deposition |
| PVD | Physical vapour deposition |
| MS | Magnetron sputtering |
| VDI | Verein Deutscher Ingenieure |
References
- Haydar, H.J.; Al-Deen, J.; AbidAli, A.K.; Mahmoud, A.A. Improved Performance of Ti6Al4V Alloy in Biomedical Applications—Review. J. Phys. Conf. Ser. 2021, 1973, 012146. [Google Scholar] [CrossRef]
- Donachie, M.J. Titanium: A Technical Guide, 2nd ed.; ASM International Materials Park: Novelty, OH, USA, 2000. [Google Scholar]
- Ghio, E.; Cerri, E. Additive Manufacturing of AlSi10Mg and Ti6Al4V Lightweight Alloys via Laser Powder Bed Fusion: A Review of Heat Treatments Effects. Materials 2022, 15, 2047. [Google Scholar] [CrossRef]
- Ren, X.P.; Li, H.Q.; Guo, H.; Shen, F.L.; Qin, C.X.; Zhao, E.T.; Fang, X.Y. A Comparative Study on Mechanical Properties of Ti–6Al–4V Alloy Processed by Additive Manufacturing vs. Traditional Processing. Mater. Sci. Eng. A 2021, 817, 141384. [Google Scholar] [CrossRef]
- Shunmugavel, M.; Polishetty, A.; Goldberg, M.; Singh, R.; Littlefair, G. A Comparative Study of Mechanical Properties and Machinability of Wrought and Additive Manufactured (Selective Laser Melting) Titanium Alloy—Ti-6Al-4V. Rapid Prototyp. J. 2017, 23, 1051–1056. [Google Scholar] [CrossRef]
- Xin, L.K.; Kamarudin, M.; Nosbi, N.; Yosuf, A.H.M.; Wan Ali, W.F. Enhancing turbine blade durability: Evaluating protective ceramic coatings for Ti6Al4V alloy. Tribol.-Mater. Surf. Interfaces 2024, 18, 256–269. [Google Scholar] [CrossRef]
- Sharma, P.; Mishra, S.K.; Ramkumar, J. Characterization and wear performance of advanced AlTiSiN-based coated cutting tools in dry machining of Ti-6Al-4V alloy. J. Mater. Process. 2025, 150, 485–500. [Google Scholar] [CrossRef]
- Chalker, P.R.; Bull, S.J.; Rickerby, D.S. A Review of the Methods for the Evaluation of Coating-Substrate Adhesion. Mater. Sci. Eng. A 1991, 140, 583–592. [Google Scholar] [CrossRef]
- Verein Deutscher Ingenieure Normen, VDI 3198; VDI-Verlag: Dusseldorf, Germany, 1991.
- Lenz, B.; Hasselbruch, H.; Mehner, A. Automated Evaluation of Rockwell Adhesion Tests for PVD Coatings Using Convolutional Neural Networks. Surf. Coat. Technol. 2020, 385, 125365. [Google Scholar] [CrossRef]
- Ebrahimzadeh, I.; Ashrafizadeh, F.; Sadeghi, B. Scratch and Indentation Adhesion Characteristics of Multilayered PVD Coatings before and after the Heat Treatment Deposited by Duplex Process. Surf. Topogr. 2019, 7, 045014. [Google Scholar] [CrossRef]
- Drobný, P.; Mercier, D.; Koula, V.; Škrobáková, S.I.; Čaplovič, Ľ.; Sahul, M. Evaluation of Adhesion Properties of Hard Coatings by Means of Indentation and Acoustic Emission. Coatings 2021, 11, 919. [Google Scholar] [CrossRef]
- Vidakis, N.; Antoniadis, A.; Bilalis, N. The VDI 3198 Indentation Test Evaluation of a Reliable Qualitative Control for Layered Compounds. J. Mater. Process Technol. 2003, 143–144, 481–485. [Google Scholar] [CrossRef]
- Zamharir, M.J.; Aghajani, H.; Tabrizi, A.T. Evaluation of Adhesion Strength of TiN Layer Applied on 316L Substrate by Electrophoretic Deposition. J. Aust. Ceram. Soc. 2021, 57, 1219–1230. [Google Scholar] [CrossRef]
- Bird, A.; Yang, L.; Wu, G.; Inkson, B.J. Failure Mechanisms of Diamond like Carbon Coatings Characterised by in Situ SEM Scratch Testing. Wear 2023, 530–531, 205034. [Google Scholar] [CrossRef]
- Wieciński, P.; Smolik, J.; Garbacz, H.; Kurzydłowski, K.J. Failure and Deformation Mechanisms during Indentation in Nanostructured Cr/CrN Multilayer Coatings. Surf. Coat. Technol. 2014, 240, 23–31. [Google Scholar] [CrossRef]
- Soleimani, M.; Fattah-alhosseini, A.; Elmkhah, H.; Babaei, K.; Imantalab, O. A Comparison of Tribological and Corrosion Behavior of PVD-Deposited CrN/CrAlN and CrCN/CrAlCN Nanostructured Coatings. Ceram. Int. 2023, 49, 5029–5041. [Google Scholar] [CrossRef]
- Fazlalipour, F.; Naghashnejad, M.; Niki Nushari, M. Evaluation of Adhesion and Erosion/Corrosion Resistance of Nano-Composite and Nano-Multilayer Thin Films in Molten Aluminum Alloy. SN Appl. Sci. 2019, 1, 1308. [Google Scholar] [CrossRef]
- Yang, T.S.; Yao, S.H.; Chang, Y.Y.; Deng, J.H. Contact Behavior of Composite CrTiSiN Coated Dies in Compressing of Mg Alloy Sheets under High Pressure. Materials 2018, 11, 88. [Google Scholar] [CrossRef]
- Konuru, S.L.K.; Umasankar, V.; Sarkar, B.; Sarma, A. Microstructure and Mechanical Properties of Tungsten and Tungsten-Tantalum Thin Film Deposited RAFM Steel. Mater. Res. Innov. 2020, 24, 97–103. [Google Scholar] [CrossRef]
- Škrobáková, I.S.; Gogola, P.; Palcut, M.; Čaplovič, L. Characterization of Hard Coatings Using Acoustic Emission. Materials 2025, 18, 3777. [Google Scholar] [CrossRef]
- Li, X.; Shan, Y.; Xia, F.; Chen, C.; Lu, S.; Hu, X. Preparation of Diamond Films wih Cracked Textures on Stainless Steel Using W/W-N Film as an Interlayer. Coatings 2024, 14, 1494. [Google Scholar] [CrossRef]
- Kuroda, P.A.B.; Narciso de Mattos, F.; Grandini, C.R.; Afonso, C.R.M. Analysis of the ceramic coatings’ recrystallization produced on the surface of Zr-25Ta-25Ti alloy. Next Mater. 2024, 3, 100167. [Google Scholar] [CrossRef]
- Azizpour, A.; Hahn, R.; Klimashin, F.F.; Wojcik, T.; Poursaeidi, E.; Mayrhofer, P.H. Deformation and Cracking Mechanism in CrN/TiN Multilayer Coatings. Coatings 2019, 9, 363. [Google Scholar] [CrossRef]
- Kleinbichler, A.; Pfeifenberger, M.J.; Zechner, J.; Moody, N.R.; Bahr, D.F.; Cordill, M.J. New Insights into Nanoindentation-Based Adhesion Testing. JOM 2017, 69, 2237–2245. [Google Scholar] [CrossRef]
- Bull, S.J. Failure Mode Maps in the Thin Film Scratch Adhesion Test. Tribol. Int. 1997, 30, 491–498. [Google Scholar] [CrossRef]
- Bull, S.J. Failure Modes in Scratch Adhesion Testing. Surf. Coat. Technol. 1991, 50, 25–32. [Google Scholar] [CrossRef]
- Bull, S.J.; Berasetegui, E.G. An Overview of the Potential of Quantitative Coating Adhesion Measurement by Scratch Testing. Tribol. Int. 2006, 39, 99–114. [Google Scholar] [CrossRef]
- Laukkanen, A.; Holmberg, K.; Koskinen, J.; Ronkainen, H.; Wallin, K.; Varjus, S. Tribological Contact Analysis of a Rigid Ball Sliding on a Hard Coated Surface, Part III: Fracture Toughness Calculation and Influence of Residual Stresses. Surf. Coat. Technol. 2006, 200, 3824–3844. [Google Scholar] [CrossRef]
- Holmberg, K.; Laukkanen, A.; Ronkainen, H.; Wallin, K.; Varjus, S.; Koskinen, J. Tribological Contact Analysis of a Rigid Ball Sliding on a Hard Coated Surface: Part II: Material Deformations, Influence of Coating Thickness and Young’s Modulus. Surf. Coat. Technol. 2006, 200, 3810–3823. [Google Scholar] [CrossRef]
- Holmberg, K.; Laukkanen, A.; Ronkainen, H.; Wallin, K.; Varjus, S.; Koskinen, J. Tribological Contact Analysis of a Rigid Ball Sliding on a Hard Coated Surface: Part I: Modelling Stresses and Strains. Surf. Coat. Technol. 2006, 200, 3793–3809. [Google Scholar] [CrossRef]
- Randall, N.X. The Current State-of-the-Art in Scratch Testing of Coated Systems. Surf. Coat. Technol. 2019, 380, 125092. [Google Scholar] [CrossRef]
- Giacomelli, R.O.; de Mattos, J.M.; Soprano, P.B.; Salvaro, D.B.; Binder, C.; Klein, A.N.; de Mello, J.D.B. Assessment of multifunctional coating adhesion: Comparison between indentation and scratch tests. In Proceedings of the 2nd International Brazilian Conference on Tribology, Foz do Iguaçu, Brazil, 3–5 November 2014; Editora Blucher: São Paulo, Brazil; pp. 4059–4068. [Google Scholar]
- Konuru, S.L.K.; Umasankar, V.; Sarma, A. A Comparison of Qualitative and Quantitative Adhesion Analysis for a Composite Thin Film System. Mater. Today Proc. 2021, 46, 1243–1246. [Google Scholar] [CrossRef]
- Cerri, E.; Ghio, E.; Bolelli, G. Effect of Surface Roughness and Industrial Heat Treatments on the Microstructure and Mechanical Properties of Ti6Al4V Alloy Manufactured by Laser Powder Bed Fusion in Different Built Orientations. Mater. Sci. Eng. A 2022, 851, 143635. [Google Scholar] [CrossRef]
- Chandrakar, S.; Gore, P.; Gurao, N.P. Mechanical Behavior of Hot-Rolled and Direct Metal Laser-Sintered Ti6Al4V Alloy in the Presence of Hydrogen. ACS Mater. Au 2025. [Google Scholar] [CrossRef]
- Bull, S.J.; Rickerby, D.S. Characterization of Hard Coatings. In Handbook of Hard Coatings: Deposition Technolgies, Properties and Applications; Bunshah, R.F., Ed.; William Andrew Publishing LLC: Norwich, NY, USA, 2001; pp. 181–228. [Google Scholar]
- Burnett, P.J.; Rickerby, D.S. The relationship between hardness and scratch adhesion. Thin Solid Films 1987, 154, 403–416. [Google Scholar] [CrossRef]
- Cerri, E.; Ghio, E.; Bolelli, G. Ti6Al4V-ELI Alloy Manufactured via Laser Powder-Bed Fusion and Heat-Treated below and above the β-Transus: Effects of Sample Thickness and Sandblasting Post-Process. Appl. Sci. 2022, 12, 5359. [Google Scholar] [CrossRef]
- Jamhari, F.I.; Foudzi, F.M.; Buhairi, M.A.; Sulong, A.B.; Mohd Radzuan, N.A.; Muhamad, N.; Mohamed, I.F.; Jamadon, N.H.; Tan, K.S. Influence of Heat Treatment Parameters on Microstructure and Mechanical Performance of Titanium Alloy in LPBF: A Brief Review. J. Mater. Res. Technol. 2023, 24, 4091–4110. [Google Scholar] [CrossRef]
- Singh, R.K.; Xie, Z.H.; Bendavid, A.; Martin, P.J.; Munroe, P.; Hoffman, M. Effect of Substrate Roughness on the Contact Damage of DLC Coatings. Diam. Relat. Mater. 2008, 17, 975–979. [Google Scholar] [CrossRef]
- Takadoum, J.; Houmid Bennani, H. Influence of Substrate Roughness and Coating Thickness on Adhesion, Friction and Wear of TiN Films. Surf. Coat. Technol. 1997, 96, 272–282. [Google Scholar] [CrossRef]
- Bull, S.J.; Rickerby, D.S. New developments in the modelling of the hardness and scratch adhesion of thin films. Surf. Coat. Technol. 1990, 42, 149–164. [Google Scholar] [CrossRef]
- Subramanian, C.; Strafford, K.N.; Wilks, T.P.; Ward, L.P.; McMillan, W. Influence of substrate roughness on the scratch adhesion of titanium nitride coatings. Surf. Coat. Technol. 1993, 62, 529–535. [Google Scholar] [CrossRef]
- Salerno, E.; Casotti, D.; Paolicelli, G.; Gualtieri, E.; Ballestrazzi, A.; Gazzadi, G.C.; Bolelli, G.; Lusvarghi, L.; Valeri, S.; Rota, A. Friction and Wear of DLC Films Deposited on Additive Manufactured AlSi10Mg: The Role of Surface Finishing. Surf. Coat. Technol. 2023, 463, 129531. [Google Scholar] [CrossRef]
- Ghio, E.; Bolelli, G.; Bertè, A.; Cerri, E. Diamond-Like Carbon (DLC) and AlCrN Films onto Ti-6Al-4V Substrates by Laser-Powder Bed Fusion (L-PBF): Effect of Substrate Heat Treatment and Surface Finish. Surf. Coat. Technol. 2023, 475, 130128. [Google Scholar] [CrossRef]
- ISO20502:2016-11; Advanced Technical Ceramics—Methos of Test for Ceramic Coatings—Part 3: Determination of Adhesion and Other Mechanical Failure Modes by Scratch Test. Technical Representative, Berlin, Germany. iTeh Standard: San Francisco, CA, USA, 2016.
- Kruth, J.-P.; Dadbakhsh, S.; Vrancken, B.; Kempen, K.; Vleugels, J.; Van Humbeeck, J. Additive Manufacturing of Metals via Selective Laser Melting: Process Aspects and Material Developments. In Additive Manufacturing; Srivatsan, T.S., Sudarshan, T.S., Eds.; CRC Press: Boca Raton, FL, USA, 2016; pp. 69–99. [Google Scholar]
- Yang, J.; Yu, H.; Yin, J.; Gao, M.; Wang, Z.; Zeng, X. Formation and Control of Martensite in Ti-6Al-4V Alloy Produced by Selective Laser Melting. Mater. Des. 2016, 108, 308–318. [Google Scholar] [CrossRef]
- Motyka, M. Martensite Formation and Decomposition during Traditional and AM Processing of Two-Phase Titanium Alloys—An Overview. Metals 2021, 11, 481. [Google Scholar] [CrossRef]
- Guan, R.G.; Je, Y.T.; Zhao, Z.Y.; Lee, C.S. Effect of Microstructure on Deformation Behavior of Ti–6Al–4V Alloy during Compressing Process. Mater. Des. 2012, 36, 796–803. [Google Scholar] [CrossRef]
- Vogel, S.C.; Bhattacharyya, D.; Viswanathan, G.B.; Williams, D.J.; Fraser, H.L. Phase Transformation Textures in Ti-6Al-4V Alloy. Mater. Sci. Forum 2005, 495–497, 681–686. [Google Scholar] [CrossRef]
- Carson, C. Heat Treating of Titanium and Titanium Alloys. In Heat Treating of Nonferrous Alloys; ASM International: Materials Park, OH, USA, 2016; pp. 511–534. [Google Scholar]
- Pederson, R.; Gaddam, R.; Antti, M.-L. Microstructure and Mechanical Behavior of Cast Ti-6Al-4V with Addition of Boron. Open Eng. 2012, 2, 347–357. [Google Scholar] [CrossRef]
- Gilewicz, A.; Jedrzejewski, R.; Myslinski, P.; Warcholinski, B. Structure, Morphology, and Mechanical Properties of AlCrN Coatings Deposited by Cathodic Arc Evaporation. J. Mater. Eng. Perform. 2019, 28, 1522–1531. [Google Scholar] [CrossRef]
- Komori, K.; Umehara, N. Effect of Surface Morphology of Diamond-like Carbon Coating on Friction, Wear Behavior and Tribo-Chemical Reactions under Engine-Oil Lubricated Condition. Tribol. Int. 2015, 84, 100–109. [Google Scholar] [CrossRef]
- Jiang, J.; Arnell, R.D. The Effect of Substrate Surface Roughness on the Wear of DLC Coatings. Wear 2000, 239, 1–9. [Google Scholar] [CrossRef]
- Liu, Z.; Meng, F.; Yi, L.-B. Simulation of the Effects of Different Substrates, Temperature, and Substrate Roughness on the Mechanical Properties of Al2O3 Coating as Tritium Penetration Barrier. Nucl. Sci. Tech. 2019, 30, 62. [Google Scholar] [CrossRef]
- Persson, B.N.J. Surface Roughness-Induced Stress Concentration. Tribol. Lett. 2023, 71, 66. [Google Scholar] [CrossRef]
- Jensen, H.M. Indentation Cracking of Brittle Coatings. In Proceedings of the International Conference of Fracture 9, Sydney, Australia, 1–5 April 1997; pp. 2423–2431. [Google Scholar]
- Damerchi, E.; Abdollah-zadeh, A.; Poursalehi, R.; Mehr, M.S. Effects of Functionally Graded TiN Layer and Deposition Temperature on the Structure and Surface Properties of TiCN Coating Deposited on Plasma Nitrided H13 Steel by PACVD Method. J. Alloys Compd. 2019, 772, 612–624. [Google Scholar] [CrossRef]
- Abedi, M.; Abdollah-zadeh, A.; Vicenzo, A.; Bestetti, M.; Movassagh-Alanagh, F.; Damerchi, E. A Comparative Study of the Mechanical and Tribological Properties of PECVD Single Layer and Compositionally Graded TiSiCN Coatings. Ceram. Int. 2019, 45, 21200–21207. [Google Scholar] [CrossRef]
- Thomsen, N.B.; Fischer-Cripps, A.C.; Swain, M.V. Crack Formation Mechanisms during Micro and Macro Indentation of Diamond-like Carbon Coatings on Elastic–Plastic Substrates. Thin Solid. Film. 1998, 332, 180–184. [Google Scholar] [CrossRef]
- Tang, J.-F.; Lin, C.-Y.; Yang, F.-C.; Chang, C.-L. Influence of Nitrogen Content and Bias Voltage on Residual Stress and the Tribological and Mechanical Properties of CrAlN Films. Coatings 2020, 10, 546. [Google Scholar] [CrossRef]
- Cerri, E.; Ghio, E.; Spigarelli, S.; Cabibbo, M.; Bolelli, G. Static and Dynamic Precipitation Phenomena in Laser Powder Bed-Fused Ti6Al4V Alloy. Mater. Sci. Eng. A 2023, 880, 145315. [Google Scholar] [CrossRef]






















| Sample Designation | Substrate Heat Treatments | Substrate Manufacturing Process | |
|---|---|---|---|
| DLC-Based | AlCrN | ||
| 7_DLC | 7_AlCrN | 740 °C × 130′ | LPBF |
| 10_DLC | 10_AlCrN | 1050 °C × 60′ | |
| R_DLC | R_AlCrN | 600 °C × 120′ | Rolling |
| Smoothest | Roughest | |||||
|---|---|---|---|---|---|---|
| Bare Substrates | Coated Substrates | Bare Substrates | Coated Substrates | Coated Substrates | Bare Substrates | |
| DLC-Based | AlCrN | DLC-Based | AlCrN | |||
| Sa | 0.11 ± 0.05 | 0.18 ± 0.06 | 0.17 ± 0.05 | 1.6 ± 0.2 | 1.5 ± 0.5 | 1.8 ± 0.3 |
| Sq | 0.22 ± 0.10 | 0.32 ± 0.09 | 0.25 ± 0.08 | 1.9 ± 0.3 | 1.8 ± 0.6 | 2.0 ± 0.6 |
Disclaimer/Publisher’s Note: The statements, opinions and data contained in all publications are solely those of the individual author(s) and contributor(s) and not of MDPI and/or the editor(s). MDPI and/or the editor(s) disclaim responsibility for any injury to people or property resulting from any ideas, methods, instructions or products referred to in the content. |
© 2025 by the authors. Licensee MDPI, Basel, Switzerland. This article is an open access article distributed under the terms and conditions of the Creative Commons Attribution (CC BY) license (https://creativecommons.org/licenses/by/4.0/).
Share and Cite
Ghio, E.; Bonilauri, M.F.; Bolelli, G.; Colombi, P.; Cerri, E. A Novel Approach to Rockwell and Scratch Adhesion Tests for Hard Coatings Deposited onto Ti6Al4V Substrates. Metals 2025, 15, 994. https://doi.org/10.3390/met15090994
Ghio E, Bonilauri MF, Bolelli G, Colombi P, Cerri E. A Novel Approach to Rockwell and Scratch Adhesion Tests for Hard Coatings Deposited onto Ti6Al4V Substrates. Metals. 2025; 15(9):994. https://doi.org/10.3390/met15090994
Chicago/Turabian StyleGhio, Emanuele, Maria Francesca Bonilauri, Giovanni Bolelli, Paolo Colombi, and Emanuela Cerri. 2025. "A Novel Approach to Rockwell and Scratch Adhesion Tests for Hard Coatings Deposited onto Ti6Al4V Substrates" Metals 15, no. 9: 994. https://doi.org/10.3390/met15090994
APA StyleGhio, E., Bonilauri, M. F., Bolelli, G., Colombi, P., & Cerri, E. (2025). A Novel Approach to Rockwell and Scratch Adhesion Tests for Hard Coatings Deposited onto Ti6Al4V Substrates. Metals, 15(9), 994. https://doi.org/10.3390/met15090994

