The Effect of Quenching and Partitioning (Q&P) Processing on the Microstructure, Hardness, and Corrosion Resistance of SAE 9254 Spring Steel
Abstract
1. Introduction
2. Materials and Methods
2.1. Material and Q&P Treatments
2.2. Microstructural Characterization
2.3. X-Ray Diffraction
2.4. Vickers Microhardness and Nanoindentation Tests
2.5. Electrochemical Tests
3. Results and Discussion
3.1. Dilatometric Analysis
3.2. Transformed Phase Fraction
3.3. Microstructural Examination
3.4. XRD Results
3.5. Vickers Microhardness and Nanoindentation Measurements
3.6. Corrosion Behavior
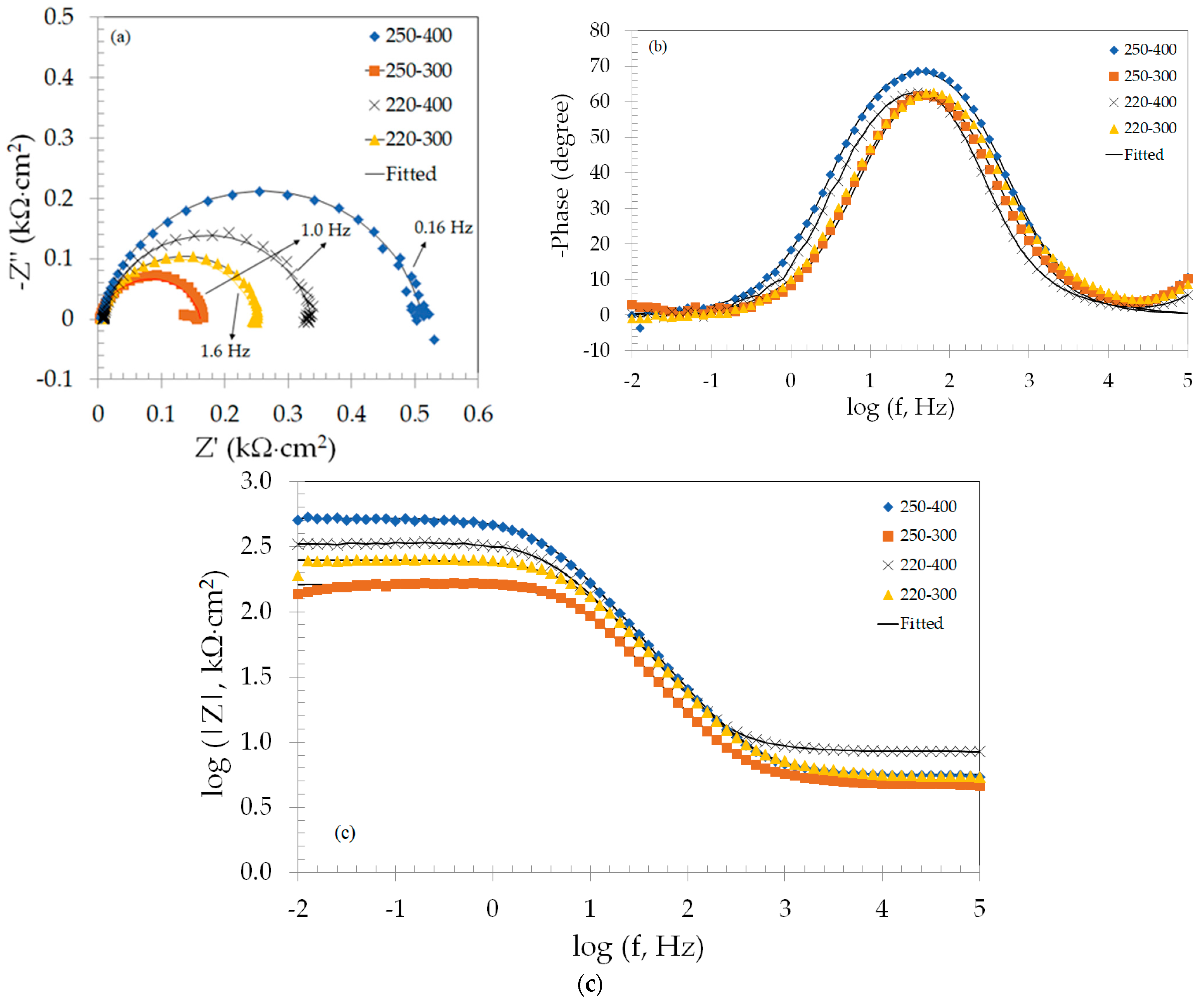
3.6.1. Electrochemical Impedance Spectroscopy (EIS)
3.6.2. Potentiodynamic Polarization Curves
4. Conclusions
Author Contributions
Funding
Data Availability Statement
Acknowledgments
Conflicts of Interest
References
- Candela, A.; Sandrini, G.; Gadola, M.; Chindamo, D.; Magri, P. Lighweighting in the automotive industry as a measure for energy efficiency: Review of the main materials and methods. Heliyon 2024, 10, e29728. [Google Scholar] [CrossRef] [PubMed]
- Wang, H.; Liang, Y.; Hao, S.; Wang, J.; Shi, H. Heterogeneous Fe-Mn-Al-C lightweight steel breaking the strength-ductility trade-off via high-temperature warm rolling process. Mater. Charact. 2024, 218, 114571. [Google Scholar] [CrossRef]
- Arslan, E.; Genel, K. Failure analysis of automotive helical spring. Eng. Fail. Anal. 2023, 153, 107569. [Google Scholar] [CrossRef]
- Remalli, N.; Hasan, M.; Kishore, K.N.; Rajavel, G.; Münch, M.; Sambandam, M.; Rajulapati, V.; Brandt, R. Pivotal role of retained austenite as a low temperature creep controlling mechanism in a martensitic spring steel. Mater. Sci. Eng. A 2023, 887, 145751. [Google Scholar] [CrossRef]
- Suh, M.-S.; Nahm, S.-H.; Suh, C.-M.; Park, N.-K. Impact toughness of spring steel after bainita and martensite transformation. Metals 2022, 12, 304. [Google Scholar] [CrossRef]
- Shi, F.; Zheng, J.; Zhang, J.; Zhao, Y.; Chen, L. Heat treatment process, microstructure, and mechanical properties of spring steel with ultra-high strength and toughness. Metals 2024, 14, 189. [Google Scholar] [CrossRef]
- Hasan, M.; Kishore, K.N.; Remalli, N.; Rajavel, G.; Brandt, R.; Klapprott, S.; Sambandam, M.; Nagini, M.; Rajulapati, K.V. Effect of austenitisation and tempering treatments on the mechanical properties of advanced high strength spring steel SAE 9254. Mater. Today Commun. 2024, 39, 108812. [Google Scholar] [CrossRef]
- Santos, S.L.; Toloczko, F.R.; Silva, D.M.; Santos, S.F. Investigating the role of the austenitizing temperature and cooling rate on the martensitic transformation kinetics in a SAE 9254 spring steel. J. Alloys Mettal. Syst. 2024, 5, 100065. [Google Scholar] [CrossRef]
- Zhang, J.; Ding, H.; Wang, C.; Zhao, J.; Ding, T. Work hardening behaviors of a low carbon Nb-microalloyed Si–Mn quenching–partitioning steel with different cooling styles after partitioning. Mater. Sci. Eng. A 2013, 585, 132–138. [Google Scholar] [CrossRef]
- Li, Y.; Wang, E.; Zhang, L.; Ma, B.; Du, J.; Zhang, S. High strength and high ductility of 60Si2CrVAT spring steel through a novel quenching and partitioning (Q-P) process. Mater. Sci. Eng. A 2024, 899, 146444. [Google Scholar] [CrossRef]
- Zurnadzhy, V.I.; Efremenko, V.G.; Wu, K.M.; Azarkhov, A.Y.; Chabak, Y.G.; Greshta, V.L.; Isayev, O.B.; Pomazkov, M.V. Effects of stress relief tempering on microstructure and tensile/impact behavior of quenched and partitioned commercial spring steel. Mater. Sci. Eng. A 2019, 745, 307–318. [Google Scholar] [CrossRef]
- Dai, Z.; Chen, H.; Ding, R.; Lu, Q.; Zhang, C.; Yang, Z.; van der Zwaag, S. Fundamentals and application of solid-state phase transformations for advanced high strength steels containing metastable retained austenite. Mater. Sci. Eng. R 2021, 143, 100590. [Google Scholar] [CrossRef]
- Xu, W.-H.; Li, Y.; Xiao, G.-Y.; Gu, G.-C.; Lu, Y.-P. Effects of quenching and partitioning on microstructure and properties of high-silicon and high-aluminum medium carbon alloy steels. Mater. Today Commun. 2023, 34, 105031. [Google Scholar] [CrossRef]
- Carvalho, F.M.; Centeno, D.; Tressia, G.; Avila, J.A.; Cezario, F.E.M.; Márquez-Rossy, A.; Ariza, E.A.; Masoumi, M. Development of a complex multicomponent microstructure on commercial carbon-silicon grade steel by governing the phase transformation mechanisms to design novel quenching and partitioning processing. J. Mater. Res. Technol. 2022, 18, 4590–4603. [Google Scholar] [CrossRef]
- Härtel, M.; Wilke, A.; Dieck, S.; Landgraf, P.; Grund, T.; Lampke, T.; Neukirchner, H.; Halle, T.; Wappler, S. On the Q&P Potential of a Commercial Spring Steel. Metals 2021, 11, 1612. [Google Scholar] [CrossRef]
- Ma, Y.; Xu, R.; Qi, P.; Feng, S.Y.; Zhang, Y. The effects of quenching and partitioning on the microstructure and tensile properties of high strength suspension spring steel. Mater. Today Commun. 2024, 40, 109653. [Google Scholar] [CrossRef]
- HajyAkbary, F.; Sietsma, J.; Miyamoto, G.; Furuhara, T.; Santofimia, M.J. Interaction of carbon partitioning, carbide precipitation and bainite formation during the Q&P process in a low C steel. Acta Mater. 2016, 104, 72–83. [Google Scholar]
- Masoumi, M.; Ariza, E.A.; Centeno, D.; Tressia, G.; Márquez-Rossy, A.; Poplawsky, J.D.; Tschiptschin, A.P. Achieving superior mechanical properties: Tailoring multicomponent microstructure in AISI 9254 spring steel through a two-stage Q&P process and nanoscale carbide integration. Mater. Charact. 2024, 207, 113523. [Google Scholar]
- Yang, J.; Lu, Y.; Guo, Z.; Gu, J.; Gu, C. Corrosion behavior of a quenched and partitioned medium carbon steel in 3.5 wt.% NaCl solution. Corros. Sci. 2018, 130, 64–75. [Google Scholar] [CrossRef]
- Mehner, T.; Morgenstern, R.; Frint, P.; Scharf, I.; Wagner, M.F.-X.; Lampke, T. Corrosion characteristics of a quenching and partitioning steel determined by electrochemical impedance spectroscopy. IOP Conf. Ser. Mater. Sci. Eng. 2018, 373, 012003. [Google Scholar] [CrossRef]
- Mohtadi-Bonab, M.A.; Ariza, E.A.; Loureiro, R.C.P.; Centeno, D.; Carvalho, F.M.; Avila, J.A.; Masoumi, M. Improvement of tensile properties by controlling the microstructure and crystallographic data in commercial pearlitic carbon-silicon steel via quenching and partitioning (Q&P) process. J. Mater. Res. Technol. 2023, 23, 845–858. [Google Scholar]
- Somani, M.C.; Porter, D.A.; Karjalainen, L.P.; Misra, R.D.K. On Various Aspects of Decomposition of Austenite in a High-Silicon Steel During Quenching and Partitioning. Metall. Mater. Trans. A 2014, 45, 1247–1257. [Google Scholar] [CrossRef]
- Miettunen, I.; Ghosh, S.; Somani, M.C.; Pallaspuro, S.; Kömi, J. Competitive mechanisms occurring during quenching and partitioning of three silicon variants of 0.4 wt.% carbon steels. J. Mater. Res. Technol. 2021, 11, 1045–1060. [Google Scholar] [CrossRef]
- Ma, Y.; Dong, M.; Qi, P.; Zheng, S.; Feng, S.Y.; Zhang, Y.; Xu, R. Effect of a new two-step austenitizing-Q&P process on the microstructure and mechanical properties of microalloyed 51CrMnV spring steel. J. Alloys Compd. 2024, 1004, 175864. [Google Scholar]
- Li, Y.; Wang, E.; Zhang, L.; Zhao, X.; Gao, R.; Zhu, W. Ultra-high strength and high ductility 60Si2CrVNb spring steel with multiphase microstructure controlled by austempering. J. Mater. Res. Technol. 2024, 30, 5855–5868. [Google Scholar] [CrossRef]
- Centeno, D.; Tressia, G.; Carvalho, F.M.; Cezario, F.E.M.; Ariza, E.A.; Masoumi, M.; Centeno, D.; Tressia, G.; Carvalho, F.M.; Cezario, F.E.M.; et al. Enhancing mechanical properties and wear resistance of heavy-haul rail systems through complex microstructure control. J. Mater. Res. Technol. 2023, 27, 1146–1159. [Google Scholar] [CrossRef]
- Cerný, I.; Mikulová, D.; Sís, J.; Mašek, B.; Jirková, H.; Malina, J. Fatigue properties of a low alloy 42SiCr steel heat treated by quenching and partitioning process. Proc. Eng. 2011, 10, 3310–3315. [Google Scholar] [CrossRef]
- Marques, M.C.S.; de Moura, A.N.; de Alcântara, C.M.; de Carvalho, F.M.S.B.; Bussoloti, R.; Labiapari, W.S.; Vatavuk, J. Microstructure and mechanical properties of a martensitic stainless steel (0.2%Ce12%Cr) after quenching and partitioning (Q&P) process. J. Mater. Res. Technol. 2023, 24, 3937–3955. [Google Scholar]
- de Diego-Calderón, I.; Santofimia, M.J.; Molina-Aldareguia, J.M.; Monclús, M.A.; Sabirov, I. Deformation behavior of a high strength multiphase steel at macro- and micro-scales. Mater. Sci. Eng. A 2014, 611, 201–211. [Google Scholar] [CrossRef]
- Zhou, S.; Hu, F.; Wang, K.; Hu, C.; Dong, H.; Wan, X.; Cheng, S.; Misra, R.D.K.; Wu, K. A study of deformation behavior and stability of retained austenite in carbide-free bainitic steel during nanoindentation process. J. Mater. Res. Technol. 2022, 20, 2221–2234. [Google Scholar] [CrossRef]
- Sherif, E.-S.M. Study on the electrochemical corrosion behavior of iron and X-65 steel in 4.0 wt.% chloride solution after different exposure intervals. Molecules 2014, 19, 9962–9974. [Google Scholar] [CrossRef]
- Gu, J.-L.; Lu, S.-Y.; Shao, Y.; Yao, K.-F. Segregating the homogeneous passive film and understanding the passivation mechanism of Ti-based metallic glasses. Corros. Sci. 2021, 178, 109078. [Google Scholar] [CrossRef]
- Qiao, X.Y.; Zheng, Y.G.; Ke, W.; Okafor, P.C. Electrochemical behaviour of high nitrogen stainless steel in acidic solutions. Corros. Sci. 2009, 51, 979–986. [Google Scholar] [CrossRef]
- Huynh, T.L.; Manh, T.D.; Nguyen, L.T.P.; Vu, D.T.; Nguyen, K.D.H.; Ngo, K.L.D. Corrosion inhibition of carbon steel in sulfuric acid and hydrochloric acid solutions by Syzygium polyanthum (Wight) Walp. leaf extract. Res. Surf. Interfaces 2024, 17, 100318. [Google Scholar] [CrossRef]
- Elabbasy, H.M.; Elnagar, M.E.; Fouda, A.S. Surface interaction and corrosion inhibition of carbon steel in sulfuric acid using Petroselinum crispum extract. J. Indian Chem. Soc. 2023, 100, 100988. [Google Scholar] [CrossRef]
- Al-Sharif, M.S. Electrochemical and theoretical assessment of two heterocyclic Schiff bases as effective corrosion inhibitors for carbon steel in sulfuric acid solution. Int. J. Electrochem. Sci. 2024, 19, 100454. [Google Scholar] [CrossRef]
- Toghan, A.; Farag, A.A.; Alduaij, O.K.; Elabbasy, H.M.; Dardeer, H.M.; Masoud, E.M.; Fawzy, A.; Gadow, H.S. Electrochemical, gravimetric, quantum chemical and computational investigations on an effective synthetic chlorinated cyclic imide derivative as a corrosion inhibitor for carbon steel in sulfuric acid solution. J. Mol. Struct. 2024, 1307, 138040. [Google Scholar] [CrossRef]
- Wang, Q.; Wang, R.; Zhao, J.; Zou, Z.; Huang, Q.; Sui, Y.; Shi, J.; Aslam, R.; Sun, Y.; Yan, Z. Corrosion inhibition performance of protein derived carbon quantum dots as corrosion inhibitors on low carbon steel in sulfuric acid solution. Microchem. J. 2024, 207, 111957. [Google Scholar] [CrossRef]
- Kalita, S.; Kaur, J.; Saxena, A. Use of Erythrina variegata Linn as green corrosion inhibitor for steel in 0.5 M sulphuric acid. Chem. Data Collect. 2024, 51, 101142. [Google Scholar] [CrossRef]
- Li, G.; Li, Z.; Rahimi, E.; Muratori, M.; Smith, A.; Navarro, M.J.S.; Gonzalez-Garcia, Y. Pit initiation in quenching and paritioning processed martensitic stainless steels. Electrochim. Acta 2024, 498, 144646. [Google Scholar] [CrossRef]
- Lu, S.-Y.; Yao, K.-F.; Chen, Y.-B.; Wang, M.-H.; Chen, N.; Ge, X.-Y. Effect of quenching and partitioning on the microstructure evolution and electrochemical properties of a martensitic stainless steel. Corros. Sci. 2016, 103, 95–104. [Google Scholar] [CrossRef]













| C | Si | Mn | P | S | Cr | Mo | Ni | Al | Cu | Ti | N | Fe |
|---|---|---|---|---|---|---|---|---|---|---|---|---|
| 0.544 | 1.338 | 0.699 | 0.009 | 0.003 | 0.658 | 0.003 | 0.127 | 0.226 | 0.150 | 0.005 | 0.003 | Balance |
| Samples | Quenching Stop Temperature (TQ) (°C) | Partitioning Temperature (TP) (°C) |
|---|---|---|
| 250–400 | 250 | 400 |
| 250–300 | 250 | 300 |
| 220–400 | 220 | 400 |
| 220–300 | 220 | 300 |
| Sample | RA (%) | Hardness (HV) | H (GPa) | E (GPa) |
|---|---|---|---|---|
| 250–400 | 20.9 ± 1.7 | 523 ± 9 | 5.13 ± 0.32 | 222.72 ± 18.03 |
| 250–300 | 14.4 ± 2.1 | 602 ± 12 | 5.27 ± 0.54 | 209.69 ± 13.70 |
| 220–400 | 19.7 ± 0.2 | 567 ± 11 | 5.22 ± 0.23 | 198.38 ± 06.59 |
| 220–300 | 13.9 ± 1.3 | 529 ± 8 | 5.24 ± 0.43 | 218.38 ± 30.51 |
| Sample | R1 (Ω⋅cm2) | Q1 (10−4⋅F⋅cm−2⋅sn−1) | R2 (Ω⋅cm2) | n1 |
|---|---|---|---|---|
| 250–400 | 5.5 | 1.39 | 506 | 0.88 |
| 250–300 | 4.8 | 2.07 | 157 | 0.89 |
| 220–400 | 8.5 | 1.61 | 329 | 0.89 |
| 220–300 | 5.6 | 1.62 | 243 | 0.87 |
| Sample | Ecorr (mV vs. Ag/AgCl) | icorr (µA⋅cm−2) |
|---|---|---|
| 250–400 | −485 | 58 |
| 250–300 | −491 | 151 |
| 220–400 | −462 | 74 |
| 220–300 | −458 | 107 |
Disclaimer/Publisher’s Note: The statements, opinions and data contained in all publications are solely those of the individual author(s) and contributor(s) and not of MDPI and/or the editor(s). MDPI and/or the editor(s) disclaim responsibility for any injury to people or property resulting from any ideas, methods, instructions or products referred to in the content. |
© 2025 by the authors. Licensee MDPI, Basel, Switzerland. This article is an open access article distributed under the terms and conditions of the Creative Commons Attribution (CC BY) license (https://creativecommons.org/licenses/by/4.0/).
Share and Cite
Nizes, A.D.C.; dos Santos, S.L.; Antunes, R.A. The Effect of Quenching and Partitioning (Q&P) Processing on the Microstructure, Hardness, and Corrosion Resistance of SAE 9254 Spring Steel. Metals 2025, 15, 509. https://doi.org/10.3390/met15050509
Nizes ADC, dos Santos SL, Antunes RA. The Effect of Quenching and Partitioning (Q&P) Processing on the Microstructure, Hardness, and Corrosion Resistance of SAE 9254 Spring Steel. Metals. 2025; 15(5):509. https://doi.org/10.3390/met15050509
Chicago/Turabian StyleNizes, Alisson Denis Carros, Silvano Leal dos Santos, and Renato Altobelli Antunes. 2025. "The Effect of Quenching and Partitioning (Q&P) Processing on the Microstructure, Hardness, and Corrosion Resistance of SAE 9254 Spring Steel" Metals 15, no. 5: 509. https://doi.org/10.3390/met15050509
APA StyleNizes, A. D. C., dos Santos, S. L., & Antunes, R. A. (2025). The Effect of Quenching and Partitioning (Q&P) Processing on the Microstructure, Hardness, and Corrosion Resistance of SAE 9254 Spring Steel. Metals, 15(5), 509. https://doi.org/10.3390/met15050509

