A Theoretical Study of Ordinary Dislocations and Order Twinning in γ-TiAl at Finite Temperatures
Abstract
1. Introduction
2. Methodology
2.1. Thermodynamic Properties [17,18]
2.2. Generalized Planar Fault Energy
2.3. Computational Details
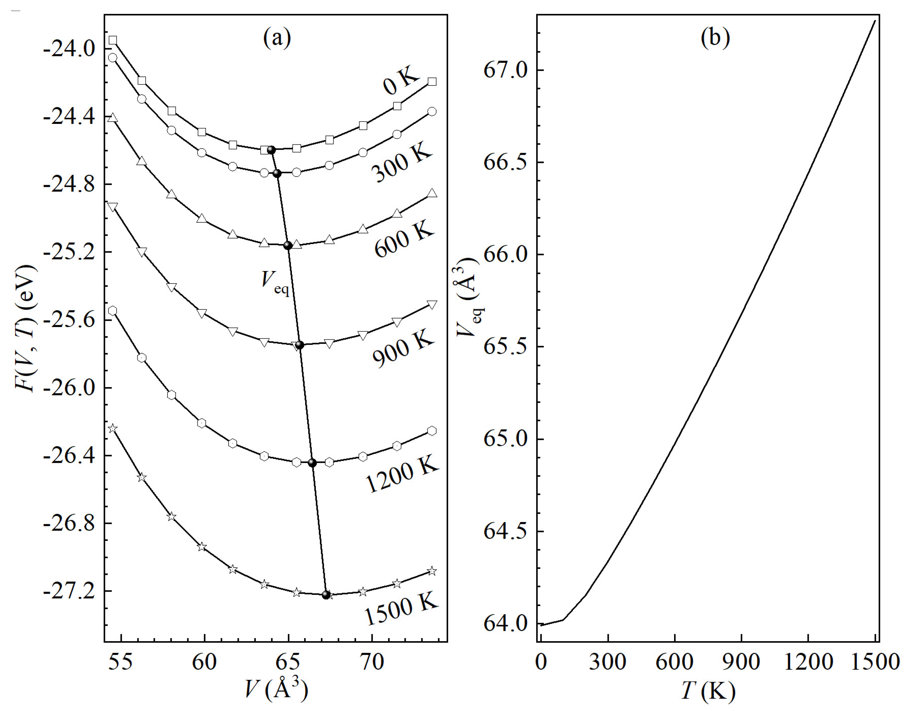
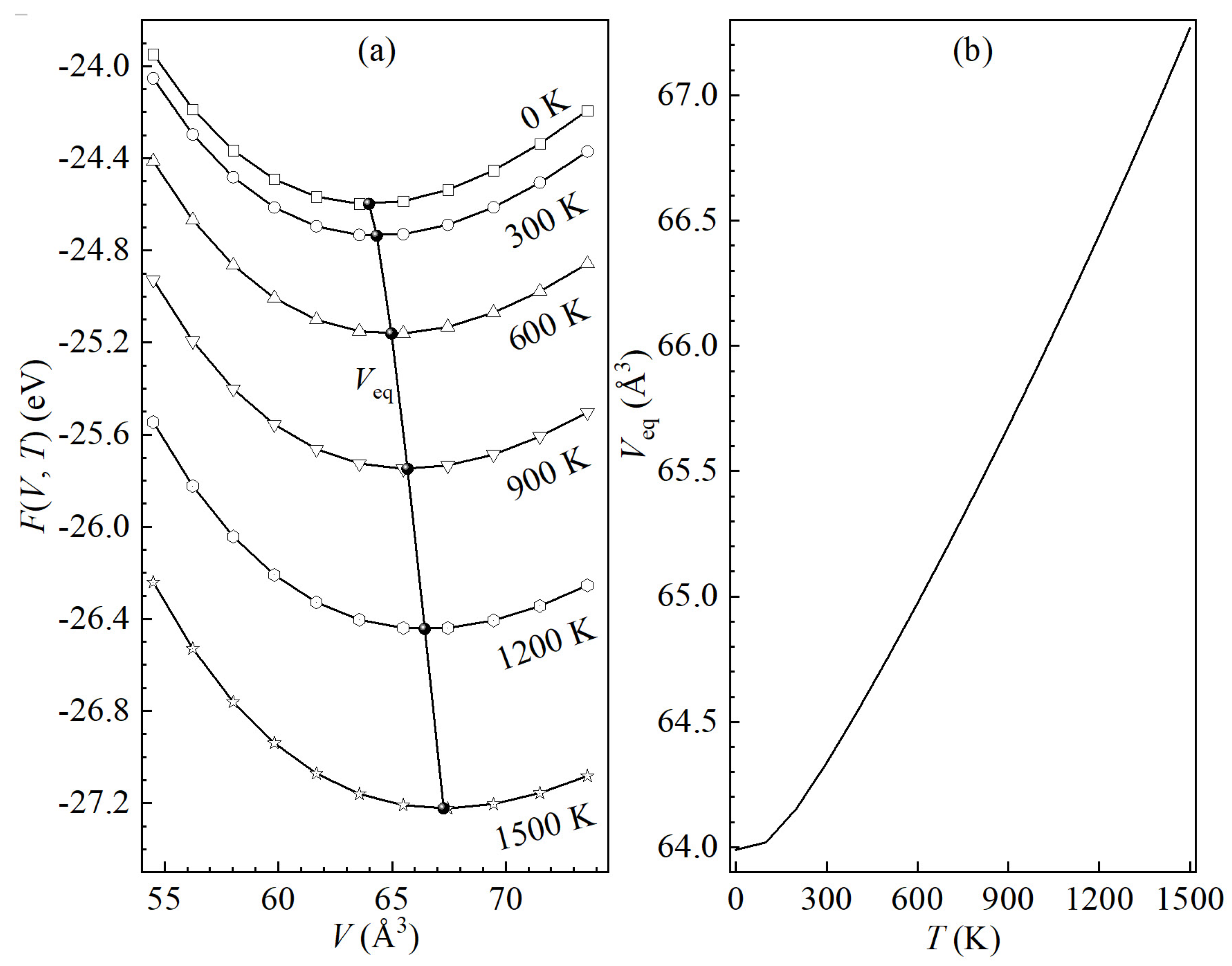
3. Results and Discussion
4. Conclusions
Author Contributions
Funding
Data Availability Statement
Conflicts of Interest
References
- Xu, X.; Ding, H.; Huang, H.; Liang, H.; Guo, H.; Chen, R.; Guo, J.; Fu, H. Twin and twin intersection phenomena in a creep deformed microalloyed directionally solidified high Nb containing TiAl. J. Mater. Sci. Technol. 2022, 127, 115–123. [Google Scholar] [CrossRef]
- Wen, D.; Kong, B.; Wang, S.; Liu, L.; Song, Q.; Yin, Z. Mechanism of stress- and thermal-induced fct→hcp→fcc crystal structure change in a TiAl-based alloy compressed at elevated temperature. Mater. Sci. Eng. A 2022, 840, 143011. [Google Scholar] [CrossRef]
- Appel, F.; Wagner, R. Microstructure and deformation of two-phase γ-titanium aluminides. Mater. Sci. Eng. R 1998, 22, 187–268. [Google Scholar] [CrossRef]
- Fischer, F.D.; Appel, F.; Clemens, H. A thermodynamical model for the nucleation of mechanical twins in TiAl. Acta Mater. 2003, 51, 1249–1260. [Google Scholar] [CrossRef]
- Rao, S.I.; Dimiduk, D.M.; Woodward, C. Computational tools for alloy design: Solid solutions in gamma-TiAl. JOM 1998, 50, 37–41. [Google Scholar] [CrossRef]
- Wang, J.; Fu, Z.; Lu, Z.; Wang, H.; He, Y.; Kohyama, M.; Chen, Y. Evaluations of variant models for stacking fault energy based on γ-TiAl. Philos. Mag. 2019, 99, 3096–3115. [Google Scholar] [CrossRef]
- Wen, Y.F.; Sun, J. Generalized planar fault energies and mechanical twinning in gamma TiAl alloys. Scr. Mater. 2013, 68, 759–762. [Google Scholar] [CrossRef]
- Ji, Z.-W.; Lu, S.; Hu, Q.; Kim, D.; Yang, R.; Vitos, L. Mapping deformation mechanisms in lamellar titanium aluminide. Acta Mater. 2018, 144, 835–843. [Google Scholar] [CrossRef]
- Wang, J.; Li, Q.; Lu, Z.; Wang, H.; Lu, X.-G.; Chen, Y. The effect of impurities on stacking fault energy and dislocation properties in γ-TiAl. Vacuum 2022, 197, 110866. [Google Scholar] [CrossRef]
- Dumitraschkewitz, P.; Clemens, H.; Mayer, S.; Holec, D. Impact of alloying on stacking fault energies in γ-TiAl. Appl. Sci. 2017, 7, 1193. [Google Scholar] [CrossRef]
- Lee, T.; Kim, S.-W.; Kim, J.Y.; Ko, W.-S.; Ryu, S. First-principles study of the ternary effects on the plasticity of γ-TiAl crystals. Sci. Rep. 2020, 10, 21614. [Google Scholar] [CrossRef]
- Qi, J.; Aitken, Z.H.; Pei, Q.; Tan, A.M.Z.; Zuo, Y.; Jhon, M.H.; Queck, S.S.; Wen, T.; Wu, Z.; Ong, S.P. Machine learing moment tensor potential for modeling dislocation and fracture in L10-TiAl and D019-Ti3Al alloys. Phys. Rev. Mater. 2023, 7, 103602. [Google Scholar] [CrossRef]
- Sheng, L.; Zhai, P.; Huang, X.; Ma, H.; Huang, B.; Li, W.; Chen, G.; Duan, B.; Feng, X.; Li, G. Strengthening and toughening mechanisms of γ-TiAl dominated by shear induced “catching bonds”. J. Alloy. Compd. 2025, 1010, 177385. [Google Scholar] [CrossRef]
- Seko, A. Machine learning potentials for multicomponent: Ti-Al binary system. Phys. Rev. B. 2020, 102, 174104. [Google Scholar] [CrossRef]
- Fu, Z.; Wang, J.; Wang, H.; Lu, X.; He, Y.; Chen, Y. Influences of multicenter bonding and interstitial elements on twinned γ-TiAl crystal. Materials 2020, 13, 2016. [Google Scholar] [CrossRef]
- Liu, Y.L.; Liu, L.M.; Wang, S.Q.; Ye, H.Q. First-principles study of shear deformation in TiAl and Ti3Al. Intermetallics 2007, 15, 428–435. [Google Scholar] [CrossRef]
- Liu, L.; Wang, R.; Wu, X.; Gan, L.; Wei, Q. Temperature effects on the generalized planar fault energies and twinnabilities of Al, Ni and Cu: First principles calculations. Comput. Mater. Sci. 2014, 88, 124–130. [Google Scholar] [CrossRef]
- Liu, L.; Chen, L.; Jiang, Y.; He, C.; Xu, G.; Wen, Y. Temperature effects on the elastic constants stacking fault energy and twinnability of Ni3Si and Ni3Ge: A first-principles study. Crystals 2018, 8, 364. [Google Scholar] [CrossRef]
- Kresse, G.; Hafner, J. Ab initio molecular dynamics for open-shell transition metals. Phys. Rev. B 1993, 48, 13115–13118. [Google Scholar] [CrossRef] [PubMed]
- Kresse, G.; Furthmüller, J. Efficiency of ab-initio total energy calculations for metals and semiconductors using a plane-wave basis set. Comput. Mater. Sci. 1996, 6, 15–50. [Google Scholar] [CrossRef]
- Kresse, G.; Furthmüller, J. Efficient iterative schemes for ab initio total-energy calculations using a plane-wave basis set. Phys. Rev. B 1996, 54, 11169–11186. [Google Scholar] [CrossRef]
- Blöchl, P.E. Projector augmented-wave method. Phys. Rev. B 1994, 50, 17953–17979. [Google Scholar] [CrossRef]
- Kresse, G.; Joubert, D. From ultrasoft pseudopotentials to the projector augmented-wave method. Phys. Rev. B 1999, 59, 1758–1775. [Google Scholar] [CrossRef]
- Perdew, J.P.; Burke, K.; Ernzerhof, M. Generalized gradient approximation made simple. Phys. Rev. Lett. 1996, 77, 3865–3868. [Google Scholar] [CrossRef]
- Monkhorst, H.J.; Pack, J.D. Special points for Brillouin-zone integrations. Phys. Rev. B 1976, 13, 5188–5192. [Google Scholar] [CrossRef]
- Blöchl, P.E.; Jepsen, O.; Andersen, O.K. Improved tetrahedron method for Brillouin-zone integrations. Phys. Rev. B 1994, 49, 16223–16233. [Google Scholar] [CrossRef]
- Togo, A.; Tanaka, I. First principles phonon calculations in materials science. Scr. Mater. 2015, 108, 1–5. [Google Scholar] [CrossRef]
- Vinet, P.; Rose, J.H.; Ferrante, J.; Smith, J.R. Universal features of the equation of state of solids. J. Phys. Condens. Matter. 1989, 1, 1941. [Google Scholar] [CrossRef]
- Lu, J.; Wang, J.; Wan, K.; Chen, Y.; Wang, H.; Shi, X. An accurate interatomic potential for the TiAlNb ternary alloy developed by deep neural network learing method. J. Chem. Phys. 2023, 158, 204702. [Google Scholar] [CrossRef]
- Neogi, A.; Janisch, R. Unravelling the lammellar size-dependent fracture behavior of fully lamellar intermetallic γ-TiAl. Acta Mater. 2022, 227, 117698. [Google Scholar]
- Pei, Q.-X.; Jhon, M.H.; Quek, S.S.; Wu, Z. A systematic study of interatomic potentials for mechanical behaviours of Ti-Al alloys. Comput. Mater. Sci. 2021, 188, 110239. [Google Scholar] [CrossRef]
- Hug, G.; Loiseau, A.; Veyssière, P. Weak-beam observation of a dissociation transition in TiAl. Philos. Mag. A 1988, 57, 499–523. [Google Scholar] [CrossRef]
- Song, X.; Cao, L.; Wang, Y.; Lin, J.; Chen, G. Determination of stacking fault energies in a high-Nb TiAl alloy at 298 K and 1273 K. J. Univ. Sci. Technol. B. 2004, 11, 35–38. [Google Scholar]
- Rice, J.R. Dislocation nucleation from a crack tip: An analysis based on the Perierls concept. J. Mech. Phys. Solids 1992, 40, 239–271. [Google Scholar] [CrossRef]
- Farence, S.; Coujou, A.; Couret, A. An in situ study of twin propagation in TiAl. Philos. Mag. A 1993, 67, 127–142. [Google Scholar] [CrossRef]
- Jo, M.; Koo, Y.M.; Lee, B.-J.; Johansson, B.; Vitos, L.; Kwon, S.K. Theory for plasticity of face-centered cubic metals. Proc. Natl. Acad. Sci. USA 2014, 111, 6560–6565. [Google Scholar] [CrossRef]
- Bernstein, N.; Tadmor, E.B. Tight-binding calculations of stacking energies and twinnability in fcc metals. Phys. Rev. B 2004, 69, 094116. [Google Scholar] [CrossRef]
- Asaro, R.J.; Suresh, S. Mechanistic models for the activation volume and rate sensitivity in metals with nanocrystalline grains and nano-scale twins. Acta Mater. 2005, 53, 3369–3382. [Google Scholar] [CrossRef]
- Li, B.Q.; Sui, M.L.; Mao, S.X. Twinnability predication for fcc Metals. J. Mater. Sci. Technol. 2011, 27, 97–100. [Google Scholar] [CrossRef]
- Kibey, S.; Liu, J.B.; Johnson, D.D.; Sehitoglu, H. Predicting twinning stress in fcc meals: Linking twin-energy pathways to twin nucleation. Acta Mater. 2007, 55, 6843–6851. [Google Scholar] [CrossRef]
- Kibey, S.; Liu, J.B.; Johnson, D.D.; Sehitoglu, H. Energy pathways and directionality in deformation twinning. Appl. Phys. Lett. 2007, 91, 181916. [Google Scholar] [CrossRef]
- Kibey, S.A.; Wang, L.L.; Liu, J.B.; Johnson, H.T.; Sehitoglu, H.; Johnson, D.D. Quantitative prediction of twinning stress in fcc alloys: Application to Cu-Al. Phys. Rev. B 2009, 79, 214202. [Google Scholar] [CrossRef]
- Yoo, M.H.; Fu, C.L. Physical constants, deformation twinning, and microcracking of titanium aluminides. Metall. Mater. Trans. 1998, 29A, 49–63. [Google Scholar] [CrossRef]
- Inui, H.; Matsumuro, M.; Wu, D.-H.; Yamaguchi, M. Temperature dependence of yield stress, deformation mode and deformation structure in single crystals of TiAl (Ti-56 at.% Al). Philos. Mag. A 1997, 75, 395–423. [Google Scholar] [CrossRef]
- Zan, X.; Wang, Y.; Lu, Z.X.; He, Y.H.; Xia, Y.M. Influence of strain rates on deformation mechanism of duplex TiAl intermetallics. In Proceedings of the Materials Science and Technology (MS&T) 2009 Conference, Pittsburgh, PA, USA, 25–29 October 2009. [Google Scholar]








| Method | 1/2[10] | 1/6[11] | Ref. | |||
|---|---|---|---|---|---|---|
| FPC | 898.21 | 309.63 | 188.08 | 413.38 | 182.02 | this |
| 332.35 | 167.11 | [6] | ||||
| 321 | 184 | 409 | 182 | [7] | ||
| 316 | 181 | 410 | 177 | [8] | ||
| 332.83 | 167.11 | [9] | ||||
| 335 | 188 | [10] | ||||
| 203 | [11] | |||||
| 182 | [12] | |||||
| 833 | 313 | 171 | 412 | 182 | [13] | |
| 194 | [14] | |||||
| 496.07 | 10.57 | [15] | ||||
| 865 | 256 | 137 | [16] | |||
| MDS | 322 | [12] | ||||
| 281, 165, 258 | [14] | |||||
| 129 | [29] | |||||
| 66, 101 | [29] | |||||
| 827 | 211 | 68 | 912 | [30] | ||
| 88, 93 | [31] | |||||
| 0, 135 | [31] | |||||
Disclaimer/Publisher’s Note: The statements, opinions and data contained in all publications are solely those of the individual author(s) and contributor(s) and not of MDPI and/or the editor(s). MDPI and/or the editor(s) disclaim responsibility for any injury to people or property resulting from any ideas, methods, instructions or products referred to in the content. |
© 2025 by the authors. Licensee MDPI, Basel, Switzerland. This article is an open access article distributed under the terms and conditions of the Creative Commons Attribution (CC BY) license (https://creativecommons.org/licenses/by/4.0/).
Share and Cite
Wen, Y.; Jin, C.; Yu, Y.; Zeng, X.; Lai, Z.; Xiong, K.; Liu, L. A Theoretical Study of Ordinary Dislocations and Order Twinning in γ-TiAl at Finite Temperatures. Metals 2025, 15, 495. https://doi.org/10.3390/met15050495
Wen Y, Jin C, Yu Y, Zeng X, Lai Z, Xiong K, Liu L. A Theoretical Study of Ordinary Dislocations and Order Twinning in γ-TiAl at Finite Temperatures. Metals. 2025; 15(5):495. https://doi.org/10.3390/met15050495
Chicago/Turabian StyleWen, Yufeng, Chengchen Jin, Yanlin Yu, Xianshi Zeng, Zhangli Lai, Kai Xiong, and Lili Liu. 2025. "A Theoretical Study of Ordinary Dislocations and Order Twinning in γ-TiAl at Finite Temperatures" Metals 15, no. 5: 495. https://doi.org/10.3390/met15050495
APA StyleWen, Y., Jin, C., Yu, Y., Zeng, X., Lai, Z., Xiong, K., & Liu, L. (2025). A Theoretical Study of Ordinary Dislocations and Order Twinning in γ-TiAl at Finite Temperatures. Metals, 15(5), 495. https://doi.org/10.3390/met15050495

