Hydrometallurgical Recovery Technology for Rare Earth and Iron Separation from Spent NdFeB Magnets
Abstract
1. Introduction
2. Direct Leaching by Inorganic Acid
3. Selective Leaching
3.1. Oxidation Roasting-Hydrochloric Acid Preferential Dissolution Method
3.2. Acid Baking and Water Leaching
3.2.1. Sulfation Roasting and Water Leaching
3.2.2. Chlorination Roasting and Water Leaching
3.2.3. Nitration Roasting and Water Leaching
4. Electrolysis in Aqueous Solution
4.1. Direct Anodic Dissolution
4.2. Direct Depositing on the Cathode
5. Organic Acids Leaching
5.1. Organic Acids Leaching of Spent NdFeB
5.2. The Structure-Activity Relationship of Organic Acids
6. Bioleaching
7. Ionic Liquid Systems
7.1. Ionic Liquid Extraction
7.2. Deep Eutectic Solvents (DESs) Leaching
8. Conclusions
- (1)
- Adoption of Combined Processes: The selection of an optimal recycling process is influenced by factors such as raw material type, chemical composition, cost, and environmental impact. A single recycling method is often insufficient; therefore, combined processes that integrate the strengths of different techniques while mitigating their individual shortcomings present a more effective solution.
- (2)
- Focus on Iron Recovery and Selective Leaching: The primary objectives of recycling are energy conservation, reduced consumption, and environmentally friendly technology. Given that iron constitutes 60–70% of the magnet’s weight, its recovery must be strengthened and integrated into the process. Consequently, selective leaching, which enables the separation of rare earth elements (REEs) from iron at the source, represents a crucial long-term research direction. As an alternative, the holistic recovery of iron via electrodeposition or roasting should also be comprehensively considered alongside REE recovery.
- (3)
- Mechanistic Studies on Pretreatment: The difficulty in controlling oxidation and roasting conditions, coupled with the slow kinetics of subsequent REE leaching, significantly limits the deep separation of REEs from Fe. Research into the mechanisms of natural and low-temperature oxidation can optimize these pretreatment steps, enabling them to be completed under low-energy and short-duration conditions. This will enhance industrial efficiency and the comprehensive utilization of other valuable elements like Boron and Cobalt.
Author Contributions
Funding
Data Availability Statement
Conflicts of Interest
References
- Kumari, A.; Sahu, S.K. A comprehensive review on recycling of critical raw materials from spent neodymium iron boron (NdFeB) magnet. Sep. Purif. Technol. 2023, 317, 123527. [Google Scholar] [CrossRef]
- Brião, G.V.; Silva, M.G.; Vieira, M.G. Adsorption potential for the concentration and recovery of rare earth metals from NdFeB magnet scrap in the hydrometallurgical route: A review in a circular economy approach. J. Clean. Prod. 2022, 380, 135112. [Google Scholar] [CrossRef]
- Yadav, J.; Sarker, S.K.; Bruckard, W.; Jegatheesan, V.; Haque, N.; Singh, N.; Pramanik, B.K. Greening the supply chain: Sustainable approaches for rare earth element recovery from neodymium iron boron magnet waste. J. Environ. Chem. Eng. 2024, 12, 113169. [Google Scholar] [CrossRef]
- Ju, J.; Feng, Y.; Li, H.; Xu, C.; Xue, Z.; Wang, B. Extraction of valuable metals from minerals and industrial solid wastes via the ammonium sulfate roasting process: A systematic review. J. Chem. Eng. 2023, 457, 141197. [Google Scholar] [CrossRef]
- Kaya, M. An overview of NdFeB magnets recycling technologies. Curr. Opin. Green Sustain. Chem. 2024, 46, 100884. [Google Scholar] [CrossRef]
- Cong, L.; Yu, L.; Zhou, Q.; Lu, Q.; Yue, M. Short-process recycling of Nd-Fe-B sintered magnet sludge wastes: Challenges and approaches. J. Rare Earths 2023, 41, 1467–1477. [Google Scholar] [CrossRef]
- Jyothi, R.K.; Thenepalli, T.; Ahn, J.W.; Parhi, P.K.; Chung, K.W.; Lee, J.Y. Review of rare earth elements recovery from secondary resources for clean energy technologies: Grand opportunities to create wealth from waste. J. Clean. Prod. 2020, 267, 122048. [Google Scholar] [CrossRef]
- Xu, X.; Jia, X.; Zhao, K.; Xu, P.; Jing, P.; Liu, B.; Zhang, J. Recent progress in electrochemical recycling of waste NdFeB magnets. Chem. Commun. 2025, 61, 2257–2268. [Google Scholar] [CrossRef]
- Tian, Y.; Liu, Z.; Zhang, G. Recovering REEs from NdFeB wastes with high purity and efficiency by leaching and selective precipitation process with modified agents. J. Rare Earths 2019, 37, 205–210. [Google Scholar] [CrossRef]
- Rabatho, J.P.; Tongamp, W.; Takasaki, Y.; Haga, K.; Shibayama, A. Recovery of Nd and Dy from rare earth magnetic waste sludge by hydrometallurgical process. J. Mater. Cycles Waste Manag. 2013, 15, 171–178. [Google Scholar] [CrossRef]
- Gruber, V.; Carsky, M. New technology for lanthanide recovery from spent Nd-Fe-B magnets. S. Afr. J. Chem. Eng. 2020, 33, 35–38. [Google Scholar] [CrossRef]
- He, L.; Xu, Q.; Li, W.; Dong, Q.; Sun, W. One-step separation and recovery of rare earth and iron from NdFeB slurry via phosphoric acid leaching. J. Rare Earths 2022, 40, 338–344. [Google Scholar] [CrossRef]
- Kumari, A.; Sinha, M.K.; Pramanik, S.; Sahu, S.K. Recovery of rare earths from spent NdFeB magnets of wind turbine: Leaching and kinetic aspects. Waste Manag. 2018, 75, 486–498. [Google Scholar] [CrossRef] [PubMed]
- Niam, A.C.; Fen, W.; Wei, C.; Jie, Y. Recovery of rare earth elements from waste permanent magnet (WPMs) via selective leaching using the Taguchi method. J. Taiwan Inst. Chem. Eng. 2019, 97, 137–145. [Google Scholar] [CrossRef]
- Liu, F.; Porvali, A.; Wang, J.; Wang, H.; Peng, C.; Wilson, B.P.; Lundström, M. Recovery and separation of rare earths and boron from spent Nd-Fe-B magnets. Miner. Eng. 2020, 145, 106097. [Google Scholar] [CrossRef]
- Liu, Z.; Zhou, H.; Li, W.; Luo, X.; Wang, J.; Liu, F. Separation and coextraction of REEs and Fe from NdFeB sludge by co-leaching and stepwise precipitation. Sep. Purif. Technol. 2022, 282, 119795. [Google Scholar] [CrossRef]
- Zhang, Z.; Wang, D.; Liu, C.; Zhi, W.; Xiao, W.; Qian, G.; Li, G. New insight into oxidative roasting and leaching for NdFeB waste. J. Environ. Chem. Eng. 2022, 10, 108946. [Google Scholar] [CrossRef]
- Önal, M.A.R.; Borra, C.R.; Guo, M.; Blanpain, B.; Gerven, T.V. Recycling of NdFeB magnets using sulfation, selective roasting, and water leaching. J. Sustain. Metall. 2015, 1, 199–215. [Google Scholar] [CrossRef]
- Loy, S.V.; Önal, M.A.R.; Binnemans, K.; Gerven, T.V. Recovery of valuable metals from NdFeB magnets by mechanochemically assisted ferric sulfate leaching. Hydrometallurgy 2020, 191, 105154. [Google Scholar]
- Liu, F.; Chen, F.; Wang, L.; Ma, S.; Wan, X.; Wang, J. Selective separation of rare earths from spent Nd-Fe-B magnets using two-stage ammonium sulfate roasting followed by water leaching. Hydrometallurgy 2021, 203, 105626. [Google Scholar] [CrossRef]
- Kumari, A.; Raj, R.; Randhawa, N.S.; Sahu, S.K. Energy efficient process for recovery of rare earths from spent NdFeB magnet by chlorination roasting and water leaching. Hydrometallurgy 2021, 201, 105581. [Google Scholar] [CrossRef]
- Gahlot, R.; Dhawan, N. Chloridizing roasting studies of spent NdFeB magnets for recovery of rare earth values. Process Saf. Environ. Prot. 2024, 191, 1534–1547. [Google Scholar] [CrossRef]
- Wu, J.; Wang, D.; Ye, C.; Wang, Z.; Hu, X. Selective extraction and separation of REEs from NdFeB magnets scrap using co-chlorination and water leaching. Sep. Purif. Technol. 2023, 306, 122452. [Google Scholar] [CrossRef]
- Wu, J.; Wang, D.; Zhang, Z.; Ye, C.; Wang, Z.; Hu, X. Mechanical activation induced treatment for the synergistic recovery of valuable elements from spent NdFeB magnets. Waste Manag. 2024, 178, 76–84. [Google Scholar] [CrossRef]
- Önal, M.A.R.; Aktan, E.; Borra, C.R.; Blanpain, B.; Gerven, T.V.; Guo, M. Recycling of NdFeB magnets using nitration, calcination and water leaching for REE recovery. Hydrometallurgy 2017, 167, 115–123. [Google Scholar] [CrossRef]
- Venkatesan, P.; Sun, Z.; Sietsma, J.; Yang, Y. An environmentally friendly electro-oxidative approach to recover valuable elements from NdFeB magnet waste. Sep. Purif. Technol. 2018, 191, 384–391. [Google Scholar] [CrossRef]
- Zhang, Z.; Wang, Z.; Wang, D.; Min, R.; Xiao, W.; Yong, L.; Li, G. An acid-free process for selective REE recovery from spent NdFeB magnets by room-temperature electrolysis. Green Chem. 2023, 25, 10653–10663. [Google Scholar]
- Xu, X.; Sturm, S.; Samardzija, Z.; Vidmar, J.; Scancar, J.; Zuzek, R.K. Direct Recycling of Nd-Fe-B Magnets Based on the Recovery of Nd2Fe14B Grains by Acid-free Electrochemical Etching. ChemSusChem 2019, 12, 4754–4758. [Google Scholar] [CrossRef] [PubMed]
- Xu, X.; Sturm, S.; Samardzija, Z.; Scancar, J.; Markovic, K.; Zuzek, R.K. A facile method for the simultaneous recovery of rare-earth elements and transition metals from Nd-Fe-B magnets. Green Chem. 2020, 22, 1105–1112. [Google Scholar] [CrossRef]
- Yang, Y.; Lan, C.; Wang, Y.; Zhao, Z.; Li, B. Recycling of ultrafine NdFeB waste by the selective precipitation of rare earth and the electrodeposition of iron in hydrofluoric acid. Sep. Purif. Technol. 2020, 230, 15870. [Google Scholar] [CrossRef]
- Xiao, F.; Hu, W.; Zhang, Z.; Bo, L.; Zhu, H. Recovery of neodymium and iron from NdFeB waste by combined electrochemical-hydrometallurgical process. Sep. Purif. Technol. 2025, 353, 128301. [Google Scholar] [CrossRef]
- Venkatesan, P.; Vander, T.; Binnemans, K.; Sun, Z.; Sietsma, J.; Yang, Y. Selective Extraction of Rare-Earth Elements from NdFeB Magnets by a Room-Temperature Electrolysis Pretreatment Step. ACS Sustain. Chem. Eng. 2018, 6, 9375–9382. [Google Scholar] [CrossRef]
- Makarova, I.; Soboleva, E.; Osipenko, M.; Kurilo, I.; Laatikainen, M.; Repo, E. Electrochemical leaching of rare-earth elements from spent NdFeB magnets. Hydrometallurgy 2020, 192, 105264. [Google Scholar] [CrossRef]
- Makarova, I.; Ryl, J.; Sun, Z.; Kurilo, I.; Górnicka, K.; Laatikainen, M.; Repo, E. One-step recovery of REE oxalates in electro-leaching of spent NdFeB magnets. Sep. Purif. Technol. 2020, 251, 117362. [Google Scholar] [CrossRef]
- Behera, S.S.; Parhi, P.K. Leaching kinetics study of neodymium from the scrap magnet using acetic acid. Sep. Purif. Technol. 2016, 160, 59–66. [Google Scholar] [CrossRef]
- Menad, N.E.; Seron, A.; Maât, N.; Breton, J.M.L.; Virginie, N. Process Recovery of Nd-Fe-B Permanent Magnets from Hard Disc Drives. J. Geogr. Nat. Disasters 2017, S6, 008. [Google Scholar] [CrossRef]
- Belfqueh, S.; Seron, A.; Chapron, S.; Arrachart, G.; Menad, N. Evaluating organic acids as alternative leaching reagents for rare earth elements recovery from NdFeB magnets. J. Rare Earths 2023, 41, 621–631. [Google Scholar] [CrossRef]
- Liu, Q.; Tu, T.; Guo, H.; Cheng, H.; Wang, X. High-efficiency simultaneous extraction of rare earth elements and iron from NdFeB waste by oxalic acid leaching. J. Rare Earths 2021, 39, 323–330. [Google Scholar] [CrossRef]
- Gergoric, M.; Barrier, A.; Retegan, T. Recovery of rare-earth elements from neodymium magnet waste using glycolic, maleic, and ascorbic acids followed by solvent extraction. J. Sustain. Metall. 2019, 5, 85–96. [Google Scholar] [CrossRef]
- Reisdorfer, G.; Bertuol, D.A.; Tanabe, E.H. Recovery of neodymium from the magnets of hard disk drives using organic acids. Miner. Eng. 2019, 143, 105938. [Google Scholar] [CrossRef]
- Kumari, A.; Dipali; Randhawa, N.S.; Sahu, S.K. Electrochemical treatment of spent NdFeB magnet in organic acid for recovery of rare earths and other metal values. J. Clean. Prod. 2021, 309, 127393. [Google Scholar] [CrossRef]
- Golmohammadzadeh, R.; Faraji, F.; Rashchi, F. Recovery of lithium and cobalt from spent lithium ion batteries (LIBs) using organic acids as leaching reagents: A review. Resour. Conserv. Recycl. 2018, 136, 418–435. [Google Scholar] [CrossRef]
- Auerbach, R.; Bokelmann, K.; Stauber, R.; Gutfleisch, O.; Schnell, S.; Ratering, S. Critical raw materials-Advanced recycling technologies and processes: Recycling of rare earth metals out of end-of-life magnets by bioleaching with various bacteria as an example of an intelligent recycling strategy. Miner. Eng. 2019, 134, 104–117. [Google Scholar] [CrossRef]
- Joshi, K.; Magdouli, S.; Kaur, B.S. Bioleaching for the recovery of rare earth elements from industrial waste: A sustainable approach. Resour. Conserv. Recycl. 2025, 215, 108129. [Google Scholar] [CrossRef]
- Roy, J.J.; Cao, B.; Madhavi, S. A review on the recycling of spent lithium-ion batteries (LIBs) by the bioleaching approach. Chemosphere 2021, 282, 130944. [Google Scholar] [CrossRef]
- Kitagawa, J.; Uemura, R. Rare Earth Extraction from NdFeB Magnet Using a Closed-Loop Acid Process. Sci. Rep. 2017, 7, 8039. [Google Scholar] [CrossRef] [PubMed]
- Li, X.; Li, Z.; Binnemans, K. Closed-loop process for recovery of metals from NdFeB magnets using a trichloride ionic liquid. Sep. Purif. Technol. 2021, 275, 119158. [Google Scholar] [CrossRef]
- Xue, W.; Liu, R.; Liu, X.; Wang, Y.; Lv, P.; Yang, Y. Selective extraction of Nd (III) by novel carboxylic acid based ionic liquids without diluent from waste NdFeB magnets. J. Mol. Liq. 2022, 364, 119919. [Google Scholar] [CrossRef]
- Li, J.; Xu, C.; Xiang, G.; Chen, W.; Gu, D.; Zhang, Q.; Hua, Y.; Li, Y. TMPAC-EG deep eutectic solvent for sustainable recovery of Nd by electrodeposition. Electrochim. Acta 2024, 501, 144817. [Google Scholar] [CrossRef]
- Liu, C.; Yan, Q.; Zhang, X.; Lei, L.; Xiao, C. Efficient Recovery of End-of-Life NdFeB Permanent Magnets by Selective Leaching with Deep Eutectic Solvents. Environ. Sci. Technol. 2020, 54, 10370–10379. [Google Scholar] [CrossRef]
- Cheng, S.; Zhang, Z.; Wang, D.; Zheng, W.; Qi, T.; Wang, Z.; Xiao, W.; Lin, Y.; Li, G. Selective leaching and recovery of rare earth from NdFeB waste through a superior selective and stable deep eutectic solvent. Sep. Purif. Technol. 2025, 353, 128498. [Google Scholar]









| Methods | Reagents | Raw Materials | Conditions/Parameters | Product/Remarks/Conclusion | Pros and Cons | References |
|---|---|---|---|---|---|---|
| Direct leaching | Hydrochloric acid | Flake NdFeB magnets | 6 M HCl/50 g/L tartaric acid, 40 °C | Extraction yields: Fe > 67.99%, REEs > 99.27%; Purity: RE oxide products > 95.83%; Recovery: RE oxide products > 90.18% | High efficiency, low cost, but high acid consumption, large-scale industrial production, low selectivity, complicated process | [9] |
| Direct leaching | Nitric acid | NdFeB magnetic sludge | 1 M HNO3, 0.3 M H2O2, 5 min, 80 °C | >98% Nd, 80% Dy, 99% B,99% Fe dissolved; pH = 3, Fe removed as Fe(OH)3 | Oxidize Fe2+ to Fe3+, sulfuric acid double salt precipitation, rare earths, and separation from Fe, but cause environmental pollution | [10] |
| Direct leaching | Sulfuric acid | NdFeB scrap | 2 M H2SO4, 80 °C, 1–2 h, two-step solvent extraction | Yield > 95%; Purities: mixed Pr/Nd oxide, Dy oxide > 99% | High recovery rate, but environmental pollution | [11] |
| Direct leaching | Phosphoric acid | NdFeB slurry | 4 M H3PO4, 80 °C, L/S = 30/1, 1.5 h | Recovery: Fe 98.76%, REEs 1.09%; Purity: mixed RE oxide 99.49%, FeC2O4·2H2O 97.17% | Low efficiency, high cost, rare earth phosphate precipitation, high selectivity, low volatility, environmentally friendly | [12] |
| Reagents | Experimental Conditions | Conclusion | Reference |
|---|---|---|---|
| HCl leaching | Roasting: 850 °C, 6 h Leaching: HCl = 0.5 M, L/S = 100 g/L, 95 °C, 500 rpm, 5 h Leaching kinetics: the mixed controlled kinetic model, Ea = 30.1 kJ/mol, 348–368 K Precipitation: pH = 2, 1 M H2C2O4 solution Roasting: 800 °C, 120 min | Mixed rare earth oxides purity: >99% | [13] |
| HCl, H2SO4, HNO3 leaching | Roasting: 800 °C, 2 h Leaching: Unpretreated WPMs, 5 M HCl, 65 °C, 24 h, S/L = 2%, 800 rpm, 0.250 mm | The most influential parameter for the leaching experiment: the acid type 78% Nd, 83% Pr, and 76% Dy p-values: 0.007, 0.01, and 0.071 | [14] |
| HCl pressure leaching | Roasting: 800 °C, 2 h Leaching: HCl = 0.6 M, 2 g/L NaNO3 oxidant, L/S = 10 mL/g, 180 °C, 2 h Precipitation: n(oxalic acid)/n(REEs) = 1 Extraction: 30% (EHD) and 70% sulfonated kerosene (volume ratio) Na2S precipitation: CoS | REEs and B recovery rates: 99% and 97%, <0.1% of Fe dissolved; The extracted REEs have >99% and 99.95% purity; 99.5% of B was recovered | [15] |
| HCl leaching | Roasting: 400 °C, 2 h Co-Leaching: HCl 6 mol/L, 2 h, L/S = 5, 90 °C Precipitation REEs: H2C2O4 1 mol/L, 30 min, 60 °C Complexation: H2C2O4 2 mol/L, 30 min, 60 °C Reduction and Precipitation: Iron power 1 mol/L, 30 min, 30 °C—FeC2O4·H2O Wastewater: Evaporation and crystallization | 98.28% REEs recovered (RE2(C2O4)3·10H2O), 94.65% Fe recovered (FeC2O4·H2O) | [16] |
| HCl leaching | Roasting: 400–800 °C Leaching: 0.2 M HCl, 90 °C, 3 h | Oxidation efficiency of NdFeB oil sludge: >99.2% | [17] |
| Methods | Sulfation Roasting and Water Leaching | Chlorination Roasting and Water Leaching | Nitration Roasting and Water Leaching |
|---|---|---|---|
| Reagents | H2SO4, Fe2(SO4)3, (NH4)2SO4 ZnSO4·H2O, FeSO4·7H2O | NH4Cl, CaCl2·2H2O, FeCl3·H2O | Fe (NO3)3·9H2O |
| Treatment Method | Reagents | Experimental Conditions | Conclusion | Reference |
|---|---|---|---|---|
| Sulfation roasting and water leaching | H2SO4 | <40 µm particle size Acid: 60 g/L, 12–16 M at 25 °C Drying: 24 h at 110 °C Roasting: 750 °C for 1 h Water Leaching: 20 g/L, 25 °C for 1 h | The extraction rate of REMs is 95–100 wt%, and that of Fe is ~0 wt% | [18] |
| Fe2(SO4)3 | Grinding: Mechanochemical grinding, ball-to-powder ratio: 5/1 (g/g), 800 rpm, 2 min 400 rpm, 10–60 min Calcination: 900 °C, 5 h Leaching: L/S: 40–10 mL/g, 1–24 h at 25 °C | The rare earth leaching rate exceeds 95%, and cobalt is completely recovered | [19] | |
| (NH4)2SO4 | First roasting: 1 h, 400 °C Molar ratio: (Fe + RE)/((NH4)2SO4):1/0.6–1/3 Second roasting: 2 h, 750 °C Molar ratio: (Fe + RE)/((NH4)2SO4):1/2 Water Leaching: L/S: 20/1, 0.5 h, 30 °C | RE extraction yields up to 96%. Fe, Al, Cu, and Co extraction yields are 0.008%, 0.27%, 1.64%, and 3.48%, respectively | [20] | |
| Chlorination roasting and water leaching | NH4Cl | Temperature: 250–400 °C Stoichiometric ratio of NdFeB/NH4Cl: 1:1–1:5 Time: 0.5– 3 h Water leaching: 95 °C, S/L: 100 g/L, 500 rpm, 1 h. | 99.2% REOs, 96.4% Fe2O3 were obtained | [21] |
| CaCl2·2H2O | 600 °C, dosage (CaCl2·2H2O: NdFeB = 2:1), 90 min; Water leaching: 90 °C, 1 h, S/L = 10; 0.5 M HCl leaching, S/L: 1/10 g/mL, 90 °C,3 h; Oxalic acid precipitation: 60 °C, 20 min, pH = 2; Calcination: 850 °C, 2 h. | The maximum dissolution of Nd ~ 89%, Dy ~ 88%, rare earth oxides 96% purity | [22] | |
| FeCl3·6H2O | Temperature: 350–600 °C, 0.5–3 h, n (chlorinating agent)/n(scrap): 0.5–2.5:1 Water leaching: L/S = 10 mL/g/1, 1 h at 90 °C | REEs and Co were extracted 96.51%, 64.29%, respectively,92 wt% iron oxide was achieved | [23] | |
| FeCl3·6H2O | Grinding: 0–1.5 h, 0–400 rpm, m (ball)/m(powder): 15/1 Roasting temperature: 200–600 °C, time: 10–90 min, molar ratios of N/F: 1:0–2.5 Leaching: temperature of 90 °C for 1 h, L/S = 25 g/mL | high leaching efficiencies of 98.94% for REEs, 99.99% for Co, and 93.36% for B, 96.73 wt% for iron oxide | [24] | |
| Nitration roasting and water leaching | Fe (NO3)3·9H2O | Nitration: NFB powders were converted into a mixture of nitrate metals at 25 °C for 1 h. Calcination: 200 °C, 1 h Water leaching: S/L ratio = 60 g/L, 1 h Resting duration: 110 °C, 6–24 h (unnecessary); Particle size: 200 μm–500 μm, 1000 μm (ball milling avoided) | >95% for Nd, Dy, Pr, and Gd, and <1% Fe achieved | [25] |
| Methods | Electrolyte/Reagents | Experimental Conditions | Process Steps | Conclusion | References |
|---|---|---|---|---|---|
| inorganic acid | HCl/NH4Cl | Three-electrode system: Anode: NdFeB magnet and cylindrical Ti/Pt Cathode: Nickel wire RE: Ag/AgCl CE: a glassy carbon | 1. Leaching of spent magnets 2. Fe2+ electrochemical oxidation 3. H2C2O4 precipitates REEs 4. Neutralization of base (1) RE oxalate precipitation (2) Cobalt electrodeposition | >97% of REEs precipitated, and the REOs’ purity of 99.2% obtained; two routes: (a) Fe →FeCl3; (b) Fe →Fe (OH)3; Co: electro-winning →Pure Cobalt | [26] |
| chloride salt solution | ZnCl2 | Double anode system: Three-electrode system: WE: NdFeB magnets and inert anode (Pt electrodes); RE: Ag/AgCl electrodes; CE: Pt electrodes | 1. Potentiodynamic polarization; kinetic potential polarization tests 2. Linear sweep voltammetry 3. Electrochemical dissolution | Nd2O3 and Fe2O3 are obtained | [27] |
| chloride salt solution | nonaqueous dimethylformamide (DMF)/FeCl2 | Three-electrode system: WE: NdFeB magnet and Pt wire (Anode) Cathode: Cu QRE (quasi-reference electrode): Another Pt wire CE: A Pt plate | 1. Electrochemical etching of the NdFeB magnet and cathodic deposition of pure Fe metal 2. Nd2Fe14B grains, REE3+, Fe2+ and REE-based particles separation 3. Hydrometallurgy Electrolysis REE metals/alloys obtained 4. REE metals/alloys with obtained Nd2Fe14B grains to make new NdFeB magnets | Nd2Fe14B particles, REE electrolyte, REE-based particles, and pure Fe metal are obtained | [28] |
| inorganic acid | H2SO4 | Three-electrode system: WE: a spent NdFeB magnet and a Pt wire (Anode) Cathode: Cu foil RE: Ag/AgCl CE: A Pt plate | 1. Linear sweep voltammetry (LSV) test at room temperature; 2. Electrochemical leaching of the NdFeB magnets and Fe metal deposition; 3. Selective precipitations of the REEs with Na2SO4 | Fe–Co, deposited on the cathode; REEs, precipitated in the electrolyte | [29] |
| inorganic acid | HF | Three-electrode system: CE/WE: Pt foil (99.95% purity) RE: Hg/Hg2SO4 | 1. Recycling of REEs 2. The influence of pH on the electrodeposition of Fe 3. At pH = 2.89, the electrochemical behaviors of iron | (1) Cathode deposition of Nano-sized FeF2(s) and Fe(s) at pH 2.3 and pH 2.89; (2) The relationship between the diffusion coefficient and temperature was obtained: (3) Diffusion-activation-energy: −15.01 kJ mol−1; (4) Fe-Pt Gibbs energy: ΔG = −487.53 + 0.936 T. | [30] |
| sulfate solution | Nd2(SO4)3 FeSO4 | Three-electrode system: Anode: NdFeB waste Cathode: Titanium sheet RE: Hg/Hg2SO4 electrode CE: Ti/Pt sheet | 1. Electrochemical-analysis tests: polarization curves and Cyclic voltammetry (CV) 2. Electrochemical dissolution of NdFeB waste 3. Crystallization with elevated temperature of the electrolyte | Fe2+ was recovered by electrodeposition; RE3+ recovered as Nd2(SO4)3·nH2O by elevated-temperature crystallization | [31] |
| chloride salt solution | NH4Cl | Three-electrode system: Anode: magnet and Ti/Pt electrode Cathode: Cu RE: Ag/AgCl CE: Cu | 1. Electrochemical dissolution of spent NdFeB magnet Scrap and 2. Fe2+ oxidized→H2C2O4 precipitation. | More than 97% of REEs and REOs of purity (99.2%) obtained; Fe, REEs, and Co were selectively recycled | [32] |
| inorganic acid | H2SO4 H2C2O4 | Three-electrode system: Anode: NdFeB magnet and 3D printed Ti Cathode: Cu RE: Ag/AgCl CE: Pt | 1. Potentiodynamic polarization scans 2. Chemical leaching and Electro-leaching 3. Leaching mechanism | RE(C2O4)3·nH2O is recycled in the cathodic deposits; Nd-rich phase dissolved preferentially | [33] |
| inorganic acid | H2SO4 H2C2O4 | Three-electrode system: WE: NdFeB magnet(anode) copper plate(cathode) RE: Ag/AgCl CE: Pt wire | 1. Electrochemical leaching of NdFeB magnet in galvanostatic mode using a power supply 2. Electrochemical measurements: 3. Polarization test and Cathodic polarization curves | 93% dense layer of REE oxalates on the cathode, and iron remains in solution | [34] |
| Treatment Method | Reagents | Experimental Conditions | Conclusion | References |
|---|---|---|---|---|
| Organic acid leaching | acetic acid | Leaching: 800 rpm, S/L: 1% (W/V), 80 °C, 0.4 M, particle size: 106–150 μm | >99% Nd were reached, Co-leaching of Fe | [35] |
| acetic acid | Leaching: all metals except nickel are dissolved within 7 h | >90% Nd, Dy, Fe were reached, 0% Ni | [36] | |
| acetic acid, formic acid, citric acid, tartaric acid | Leaching: (acetic acid, formic acid, citric acid, and tartaric acid), 1.6–10 M, S/L: 0.5–10%, 60 °C | >90% for Nd, Dy, and Pr were leached in acetic acid | [37] | |
| oxalic acid | Leaching: 90 °C, 6 h, oxalic acid: 2 M, L/S: 60 mL/g, ferric oxalate solution reduced using Fe powder | 93.89% Fe was leached, RE(C2O4)3·n H2O precipitation rate: 93.17%, FeC2O4·2H2O is obtained. | [38] | |
| Oxidation roasting and organic acid leaching | glycolic, maleic, ascorbic acids | Roasting: 1.5 h at 400 °C Sieved: <355 μm particle size Leaching: S/L ratio = 1/50 g/mL, 25 ± 1 °C, 0.6–1 M, S/L ratio = 1/30–1/80 g/mL, 1 M, 25 ± 1–70 ± 1 °C, 400–1000 rpm. time: 100, 200, 300, 400 min, 24 h Liquid–Liquid Extraction: TBP, D2EHPA, TODGA, Cyanex272, Cyanex923 | >95% REEs were obtained, 1 M, S/L ratio = 1/80. | [39] |
| malic and citric acids leaching | Roasting: 900 °C, 480 min Leaching: 30–90 °C, 0.2–1.2 mol/L, S/L ratio: 1:10–1:50, 10–900 min | Nd from unroasted NdFeB powder reached 99%, but it is not selective. The optimal values are determined. | [40] | |
| Organic acid leaching | citric acid | 1. Electrochemically dissolved NdFeB magnets; 2. Using D2EHPA extract REEs; 3. Oxalic acid precipitation REEs | (Nd, Pr, Dy)2O3 99.9% purity, Iron oxide (98.6% pure) obtained | [41] |
| Organic Acids | Molecular Formula | pKa |
|---|---|---|
| Formic acid | HCOOH | 3.74 |
| Acetic acid | CH3COOH | 4.74 |
| Oxalic acid | H2C2O4 | pKa1 = 1.12 pKa2 = 4.19 |
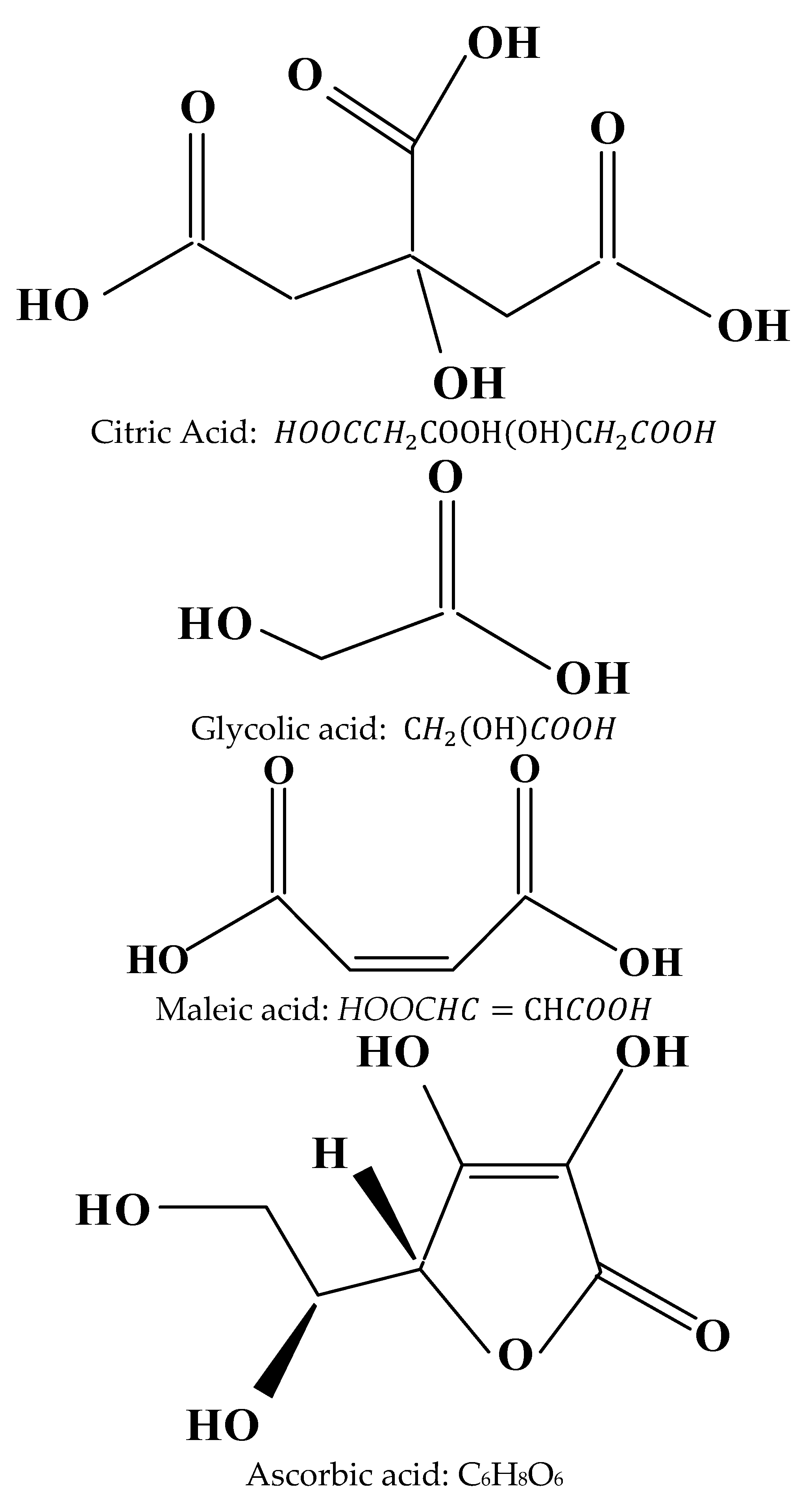
| Tartaric acid | ![]() | pKa1 = 3.04 pKa2 = 4.37 |
| Malic Acid | ![]() | pKa1 = 3.44 pKa2 = 4.12 |
| Citric Acid | ![]() | pKa1 = 3.13 pKa2 = 4.76 pKa3 = 6.40 |
| Glycolic acid | CH2(OH)COOH | 3.8 |
| Maleic acid | ![]() | pKa1 = 1.9 pKa2 = 6.1 |
| Ascorbic acid | C6H8O6 | pKa1 = 4.2 pKa2 = 11.6 |
| Methods | Reagents | Experimental Conditions | Conclusion | References |
|---|---|---|---|---|
| ILs Ionic Liquid leaching | Trihexyl(tetradecyl)phosphonium chloride (Cyphos®IL101) | (1) Corrosion in 3% NaCl solution, 1 week (2) Acid leaching: 0.2 M or 0.5 M HCl, 1–2 h (3) IL (Fe, B): ILCyphos®IL101 (HCl/IL:4/1 V/V), 10 mol/L NH4Cl (4) Oxalic acid: (Nd, Pr) | NaCl solution is used to separate approximately 30% of B, and acid leaching yields approximately 60% of Fe; Recovery: Nd 99%, Pr 97% | [46] |
| ILs Ionic Liquid leaching | trichloride ionic liquid | (1) Cl2 IL-Cl Synthesis of IL-Cl3 (2) NdFeB Leaching-Solid residue (3) NaCl solution Stripping REE-REE (4) NH3 solution Stripping Fe and Co-Co and Fe (OH)3 precipitate | (1) Dissolve NdFeB magnets: 50 mg powder in 1 mL the mixture of (V/V):1/1, 50 °C, 300 rpm, 1 day (2) Rare earth and transition metals were removed with 3 M NaCl and >2 M NH3 | [47] |
| ILs Ionic Liquid | [A336] [BTA], [A336] [OTA] | 1 Synthesized [A336] [BTA] [A336] [OTA]; 2 Extraction of Nd; 3 Separation of REEs; 4 Stripping and recycling; | Extraction efficiency: >99.1%, [A336] [OTA] Extraction efficiency: Still 95.6% after seven cycles | [48] |
| ILs Electrochemical Leaching | TMPAC-EG IL | (1) electrolyte preparation: TMPAC-EG type ionic liquid; (2) Electrochemical measurements: (3) electrodeposition Potential (−2.30 to −2.90 V vs. Fc+/Fc) at (313–353 K), 3 h, cathode: carbon paper; anode: graphite sheet | (1) Nd3+ diffusion coefficient: 10−12 m2 s−1. Nd3+ diffusion activation energy: 22.8 kJ mol−1 (2) Neodymium metal obtained with a caterpillar, nodular, layered rock, or porous structure | [49] |
| Oxidation roasting and DESs leaching | GUC-GA/LAC/MA/EG/GLY, AGU-GA/LAC, DAG-GA/LAC, | Metal dissolution: S/L ratio = 1:50, 50 °C water bath, 24 h, 12,000 rpm; NdFeB powders/(DES/GUC-LAC): 1/2, S/L ratio = 1/10, 40 °C, 6 h; Precipitation: solid oxalic acid: Nd-loaded DESs S/L ratio = 1:100; Calcination: 900 °C, 3 h, obtained Nd2O3 product | The separation factor > 1300, Nd2O3 product with 99% purity | [50] |
| Oxidation roasting and Deep Eutectic Solvent leaching | TEAC-L, TEAC-LAC, TEAC-GA, TEAC-MA | Metal oxide leaching: S/L ratio (The metal oxide: DES): 4/100, 60 °Coil bath, 24 h. 10,000 rpm three times; NdFeB leaching: S/L ratio (NdFeB: DES): 8/100, 90 °C oil bath, 9 h, centrifuged at 10,000 rpm three times Precipitation: m(Solid oxalic acid): m(Nd-dissolved DES) = 1:100, 50 °C, 9 h; Rare earth oxalate precipitation was obtained; Calcination: 900 °C, 3 h, obtained Nd2O3 product | The leaching rate of Nd was 97.63%, Fe < 0.435%, the separation coefficient was >9000, and the purity of Nd2O3 in the obtained product was 99.649%. | [51] |
| Methods | Suitable for Types of Spent NdFeB | Mechanisms | Advantages | Limitations |
|---|---|---|---|---|
| Hydrochloric acid total solution method | all types of spent NdFeB magnets | Magnets directly react with concentrated hydrochloric acid, and H2O2 oxidizes Fe2+ to Fe3+. REEs extracted and separated | High efficiency, low cost | REEs and Fe are completely dissolved, with high reagent consumption |
| Hydrochloric acid preferential dissolution method | high content of rare earths for NdFeB magnet | Spent NdFeB fully oxidized, Fe3+ hydrolyzed to Fe(OH)3, REEs extracted, precipitated | Similar to the existing hydrometallurgical cascade extraction process for rare earth ores | Require roasting pretreatment |
| Acid baking and water leaching | NdFeB magnets containing multiple metals | Spent NdFeB is calcined with acidification reagents, and the calcined products are dissolved in water to leach out rare earth elements | Recycle other valuable metals | Complex process, high reagent consumption |
| Electrolysis in aqueous solution | highly conductive and block-shaped magnet scraps | Fe is electrolyzed at the anode or deposited at the cathode to separate from the rare earths | The high-energy consumption process is avoided | Precise control of anode and cathode reactions, low efficiency |
| Organic acids leaching | spent NdFeB with higher iron content and fewer impurities | Organic acids dissolve the metal through acidolysis and complexation | Good alternative to strong mineral acids, low pollution, and biodegradable | Long reaction time; leaching kinetics need to be improved |
| Bioleaching | powder or fine particle, with high iron content, especially those of low grade, complex composition, or pre-oxidation treatment | Microorganisms activate metal ions through biological oxidation and complexation to recover metals | Low pollution, low energy consumption | complex process, long time, low leaching kinetics |
| Ionic Liquid Systems | containing rare earth elements and cobalt, especially spent NdFeB after natural oxidation pretreatment | Fe or REEs Extracted by ionic liquid or leached by deep eutectic solvents | Biodegradability, low melting point, high chemical stability, designable properties | High viscosity, high synthesis cost |
Disclaimer/Publisher’s Note: The statements, opinions and data contained in all publications are solely those of the individual author(s) and contributor(s) and not of MDPI and/or the editor(s). MDPI and/or the editor(s) disclaim responsibility for any injury to people or property resulting from any ideas, methods, instructions or products referred to in the content. |
© 2025 by the authors. Licensee MDPI, Basel, Switzerland. This article is an open access article distributed under the terms and conditions of the Creative Commons Attribution (CC BY) license (https://creativecommons.org/licenses/by/4.0/).
Share and Cite
Cheng, M.; Li, L.; Xiao, Y.; Liu, H. Hydrometallurgical Recovery Technology for Rare Earth and Iron Separation from Spent NdFeB Magnets. Metals 2025, 15, 1227. https://doi.org/10.3390/met15111227
Cheng M, Li L, Xiao Y, Liu H. Hydrometallurgical Recovery Technology for Rare Earth and Iron Separation from Spent NdFeB Magnets. Metals. 2025; 15(11):1227. https://doi.org/10.3390/met15111227
Chicago/Turabian StyleCheng, Mingyan, Liqing Li, Yanfei Xiao, and Helian Liu. 2025. "Hydrometallurgical Recovery Technology for Rare Earth and Iron Separation from Spent NdFeB Magnets" Metals 15, no. 11: 1227. https://doi.org/10.3390/met15111227
APA StyleCheng, M., Li, L., Xiao, Y., & Liu, H. (2025). Hydrometallurgical Recovery Technology for Rare Earth and Iron Separation from Spent NdFeB Magnets. Metals, 15(11), 1227. https://doi.org/10.3390/met15111227




