Next Article in Journal
Near-Zero Thermal Expansion and High Strength in Multi-Phase La0.6Ce0.4(Fe0.91Co0.09)11.9Si1.1/Ag Compounds Produced Through Spark Plasma Sintering
Previous Article in Journal
Influence of B on the Practical Properties of TiAl Alloys for Jet Engine Blades and a Comparison of TiAl4822 and XD Alloys
 
 
Font Type:
Arial Georgia Verdana
Font Size:
Aa Aa Aa
Line Spacing:
Column Width:
Background:
Article

Optimization of Lithium Recovery from Aluminosilicate Tailings via Sulfation Roasting and Leaching: Experimental Study and RSM Modeling

by
Azamat Yessengaziyev
1,
Zaure Karshyga
1,*,
Albina Yersaiynova
1,
Aisha Tastanova
1,
Kenzhegali Smailov
1,
Arailym Mukangaliyeva
1 and
Bauyrzhan Orynbayev
1,2
1
The Institute of Metallurgy and Ore Beneficiation JSC, Satbayev University, Almaty 050013, Kazakhstan
2
Laboratory of Metallurgical Processing of Materials, Aktobe Regional University Named After K. Zhubanov, Aktobe 030000, Kazakhstan
*
Author to whom correspondence should be addressed.
Metals 2025, 15(10), 1133; https://doi.org/10.3390/met15101133
Submission received: 22 August 2025 / Revised: 30 September 2025 / Accepted: 8 October 2025 / Published: 11 October 2025
(This article belongs to the Section Extractive Metallurgy)

Abstract

The growing global demand for lithium, driven by its pivotal role in battery production, highlights the need for alternative technologies to recover this metal from low-grade and anthropogenic raw materials. This study investigates lithium extraction from aluminosilicate tailings of rare-metal production by sulfate roasting with concentrated sulfuric acid, followed by aqueous and hydrochloric acid leaching. Mineralogical analysis confirmed lithium mainly in muscovite and biotite (isomorphic substitutions) and partly as spodumene within the aluminosilicate matrix. The optimal parameters of thermochemical treatment were determined as 300 °C for 1 h at a liquid-to-solid ratio of 1:6. Subsequent aqueous leaching (90 °C, 1 h, L/S = 6:1) achieved a lithium recovery of 82.3%, while HCl proved less effective. Using response surface methodology (RSM) and a central composite design (CCD), a regression model was developed predicting up to 93.4% lithium extraction at 90 °C, a liquid-to-solid ratio of 10:1, and a leaching duration of 75 min. The calculated values showed good agreement with experimental data obtained at 90 °C, L/S = 10:1, and 30 min leaching, yielding 91.92% lithium recovery. These results confirm the efficiency of the proposed thermochemical approach and provide a scientific foundation for its further development and industrial scale-up.

1. Introduction

The increasing global demand for lithium, driven by its essential role in the production of lithium-ion batteries used in electric vehicles, energy storage systems, and portable electronics, has stimulated intensive research into sustainable and economically viable extraction methods. According to projections of international analytical agencies, global lithium demand by 2030 may increase by a factor of 5–6 compared to 2020 levels, largely due to the worldwide transition toward decarbonization and renewable energy sources [1,2].
Traditional lithium resources—high-grade ores (spodumene, lepidolite, petalite) and brines—are concentrated mainly in China, Australia, Chile, Bolivia, and Argentina. However, the development of such deposits faces several ecological and technological challenges, including the high energy intensity of pyrometallurgical processing, the need for complex multi-stage pretreatment, and the generation of substantial volumes of waste [3,4]. In light of the depletion of easily extractable resources and the tightening of environmental regulations, growing attention is being directed toward the processing of low-grade and anthropogenic feedstocks [5,6,7,8,9,10].
Among the most promising alternative sources of lithium are mine tailings generated during the processing of rare-metal ores. These tailings often contain residual lithium associated with muscovite, feldspar, albite, and other aluminosilicates, which are resistant to direct leaching [11,12]. Their utilization not only enables the recovery of valuable components but also contributes to land reclamation and the mitigation of environmental impact [13].
Currently, several approaches are employed for lithium recovery from such materials, including acid leaching, alkaline treatment, sulfate and chloride roasting, as well as high-temperature salt and alkaline roasting [14,15,16,17,18,19]. Sulfate-based technology, first proposed by Ellestad and Leute [20], has gained the widest application. The process involves decrepitation of spodumene concentrate, with transformation of α-spodumene into the β-phase, subsequent treatment with concentrated H2SO4 at 250 °C, and water leaching of the roasted product; after purification, lithium is precipitated as carbonate. The main advantage of this method lies in its applicability to both rich and lean ores. Previous studies have explored ways to improve its efficiency and to activate various lithium-bearing minerals [21,22].
It has been established that the efficiency of lithium recovery is strongly influenced by the temperature of sulfuric acid treatment, residence time, the type and dosage of the reagent, particle size of the feed, and the parameters of subsequent leaching [23,24,25]. However, the relationship between the phase transformations of the aluminosilicate matrix and the degree of lithium recovery remains insufficiently investigated. Against this background, the application of statistical tools such as analysis of variance (ANOVA) and response surface methodology (RSM) becomes particularly relevant, as these approaches enable process optimization while reducing the number of experimental trials [26].
The scientific literature shows that most studies focus either on primary ores (mainly spodumene) or spent lithium-ion batteries, whereas lithium extraction from aluminosilicate-rich anthropogenic tailings remains comparatively underexplored. Moreover, in several works, a comprehensive approach is lacking, particularly one that combines experimental determination of key factors with the development of a robust regression model for predicting lithium recovery [27].
Kazakhstan possesses a number of large-scale storage facilities of anthropogenic waste that are potentially suitable for integrated processing. One such site is the Maralushinskoe tailings storage facility, formed during the long-term operation of the Ognevskaya beneficiation plant. Mineralogical analysis revealed that lithium in these tailings is predominantly hosted in stable aluminosilicate phases [28], which necessitates thermochemical pretreatment prior to leaching. Of particular interest is the potential adaptation of sulfate roasting to the specific mineralogical and chemical composition of these tailings.
Therefore, the objective of the present study is to investigate the influence of sulfation parameters and subsequent acid leaching conditions on the efficiency of lithium extraction from the Maralushinskoe tailings. An additional goal was to construct a mathematical model using response surface methodology (RSM) to optimize the leaching parameters of lithium from the sulfate clinker. The factors considered include temperature, process duration, and liquid-to-solid ratio. All experiments were designed using factorial analysis, and the data were statistically evaluated through analysis of variance and multivariate regression, allowing identification of the most significant parameters and construction of a reliable regression model.
The obtained results can be applied to determine the optimal processing conditions for aluminosilicate lithium-bearing tailings and to design efficient technological schemes suitable for industrial application.

2. Materials and Methods

2.1. Materials

The object of this study was lithium-bearing waste tailings from rare-metal production. A representative batch with a mass of 50 kg was sampled from the Maralushinskoe tailings storage facility. The particle size of the sample varied mainly from <0.01 mm to 0.25 mm. Prior to experiments, the sample was air-dried, homogenized, and averaged according to standard sample preparation procedures. Sulfuric acid (H2SO4, 93%), hydrochloric acid (HCl, 0.5 M), and distilled water were used as reagents. All chemicals were of analytical grade purity.

2.2. Analytical Methods

The chemical composition of the tailings was determined using inductively coupled plasma optical emission spectrometry (ICP-OES, Optima 8300DV, PerkinElmer, Waltham, MA, USA), atomic absorption spectrophotometry (AAS, SHIMADZU AA-7000, Kyoto, Japan), and X-ray fluorescence analysis (XRF, Venus 200, PANalytical B.V., Almelo, The Netherlands). Mineralogical and petrographic investigations were performed using polarization microscopes (Leica DM (Wetzlar, Germany) and Olympus BX51 (Tokyo, Japan)). X-ray diffraction (XRD) analysis was carried out on a D8 ADVANCE diffractometer (Bruker AXS GmbH, Karlsruhe, Germany) with Cu–Kα radiation; phase identification was conducted using the PDF-2 database (ICDD). Thermal analysis was performed with an STA 449 F3 Jupiter instrument (NETZSCH, Selb, Germany) at a heating rate of 15 °C/min in an argon atmosphere, with thermogram processing performed in the NETZSCH Proteus environment. Response surface methodology (RSM) was employed to construct regression models and to identify statistically significant factors; data processing, experimental design, regression analysis, and evaluation of factor significance were conducted using Design-Expert 7.0 software (Stat-Ease Inc., Minneapolis, MN, USA).

2.3. Sulfation and Leaching

The purpose of the sulfation stage was to convert lithium into a water-soluble form suitable for subsequent extraction. Tailings were mixed with 93% sulfuric acid at different liquid-to-solid ratios (L/S = 1:10, 1:8, 1:6, 1:4) and subjected to thermal treatment in ceramic crucibles in a muffle furnace. Two thermal regimes were investigated. In the single-stage sulfation process, samples were heated at temperatures ranging from 100 to 300 °C in 50 °C increments for 1–4 h. In the two-stage process, the first step was performed at 250 °C (L/S = 1:10, 2 h), followed by heating at 350–750 °C in 100 °C increments for 1 h. After roasting, the clinkers were cooled in air to room temperature.
Leaching of the obtained clinkers was carried out in a glass reactor with mechanical stirring (500 rpm) to ensure uniform dispersion of the solid phase in the pulp. Two types of leaching media were used: (1) distilled water at 80–90 °C for 1 h; (2) 0.5 M HCl solution at 80 °C for 1 h. In all cases, the liquid -to-solid ratio was maintained at L/S = 6:1. After leaching, the solid residue was separated by filtration. The filtrates were analyzed for lithium, aluminum, and iron content using atomic absorption spectrometry.
The recovery of the elements was calculated as:
R % = C s o l · V C c l · m c l · 100 % ,
where Csol is the element concentration in the solution (g/L), V is the solution volume (L), Ccl is the element content in the clinker before leaching (expressed as a fraction), and mcl is the clinker mass (g). When both filtrate and washing solutions were collected, the respective element amounts were summed before calculation.

2.4. Optimization of Lithium Leaching Parameters

The lithium leaching process was optimized using response surface methodology (RSM) and a central composite design (CCD) in order to improve accuracy and reproducibility of the results. The independent variables considered were liquid-to-solid ratio, leaching duration, and temperature.
Based on the obtained data, a second-order model was developed to describe the relationship between the response variable (lithium recovery) and the key process parameters:
y 0 =   b 0 +   i = 1 k   b i x i +   i = 1 k   b i i x i 2 +   i = 1 k 1   j = i + 1 k b i j x i x j ,
where y denotes the predicted lithium recovery, b0 is the intercept, bi are linear coefficients, bii are quadratic coefficients, bij represent interaction coefficients between the variables, and k is the number of factors.
For calculation purposes, the liquid-to-solid (L/S) ratio was defined as the volume of liquid per unit mass of solid phase. The values ranged from 4:1 to 10:1, corresponding to the addition of 4 to 10 mL of liquid per 1 g of solid. The central (optimal) value was 7:1 (7 mL per 1 g).
The optimal levels and ranges of the factors are given in Table 1.
For model verification, control experiments were conducted with fixed parameters, marked with an asterisk in Table 2. Each experiment was repeated at least three times, and mean values were used for analysis.

3. Results and Discussion

3.1. Mineralogy and Thermal Analysis

The rare-metal production tailings represent a technogenic mineral raw material with a high content of aluminosilicate components. According to chemical analysis, the main components are oxides of silicon, aluminum, sodium, and potassium. The overall chemical composition is presented in Table 3.
According to XRD results (Figure 1), the phase composition is dominated by aluminosilicates: albite (Na0.98Ca0.02)(Al1.02Si2.98O8), muscovite KAl2(Si,Al)4O10(OH)2, microcline KAlSi3O8, and quartz SiO2.
Thermal behavior of the tailings was investigated using differential thermal analysis (DTA) and derivative thermogravimetry (DTG). A 425 mg sample was heated up to 1224 °C at a rate of 15 °C/min.
The thermogram (Figure 2) showed a pronounced endothermic effect with a maximum at 564.5 °C, corresponding to the enantiotropic polymorphic transformation of quartz. In addition, an exothermic effect at 478.7 °C and the corresponding minimum on the DTG curve at 469.5 °C were recorded, which are associated with the oxidation of minor carbonaceous residues formed during the long-term open storage of the tailings. These residues do not host lithium. The endothermic maximum on the dDTA curve at 833.9 °C is interpreted as dehydration of muscovite, whereas the minimum at 272.6 °C likely corresponds to dehydration of iron hydroxide.
Upon cooling, weak exothermic peaks appeared on the DTA curve at 872.2 °C and 979.6 °C, possibly indicating crystallization of sodium silicate (Na2O·2SiO2) and potassium silicate (K2O·SiO2), respectively. An exothermic peak at 1168.6 °C on the dDTA curve is interpreted as the formation of lithium silicate (Li2O·SiO2). An endothermic effect at 554 °C observed during the cooling stage may indicate the reverse transformation of high-temperature β-quartz into its α-modification.
Mineralogical analysis aimed at identifying the forms of lithium occurrence was performed using physicochemical methods, including quantitative grain size and morphological analysis with a binocular microscope at 25–40× magnification. It was established that lithium in the tailings is mainly present as isomorphic substitutions in muscovite and biotite, and partially as the native mineral spodumene. This conclusion is supported by XRD and thermal analysis data, as well as by microscopic and luminescent methods, which confirmed the presence of spodumene and the structural incorporation of lithium into aluminosilicate minerals.
Spodumene was confirmed in the sample (Figure 3b). The mineral is characterized by perfect cleavage, vitreous luster, translucent white color, hardness of ~6.5, and bright yellow–orange cathodoluminescence. Crystals are small, elongated-prismatic in shape.
In addition, biotite occurs as anhedral grains with typical brown coloration and sizes up to 0.2 mm, whereas muscovite appears as colorless, irregularly shaped grains with diameters up to 0.06 mm (Figure 4).
Thus, the obtained data on the material composition confirm the feasibility of applying thermochemical opening by sulfation. The presence of lithium as isomorphic substitutions in muscovite and biotite, and partly as spodumene, indicates that these minerals are locked within a stable aluminosilicate matrix. Sulfation decomposes this matrix, transforming lithium into soluble sulfate forms and thereby making it available for subsequent leaching.

3.2. Investigation of Sulfation and Lithium Leaching Parameters

The results of aqueous leaching of the clinkers (90 °C, L/S = 6:1, 1 h), presented in Table 4, revealed a clear dependence of lithium recovery on the sulfation temperature. At 100 °C, lithium recovery was 34.63%, and it progressively increased with temperature, reaching 67.83% at 300 °C. A similar upward trend was observed for aluminum, where recovery increased from 2.92% at 100 °C to 26.25% at 300 °C, while iron consistently exhibited high recoveries in the range of ~80.56–83.47% across all tested conditions. The maximum lithium recovery of 67.83% was recorded at 300 °C, which is close to the boiling point of 93% H2SO4 (278–283 °C at 760 mmHg [29]). The pronounced increase in recovery within the 250–300 °C range highlights the enhanced reactivity of the system at these conditions. The higher lithium yield at 300 °C, despite the proximity to the boiling point of concentrated sulfuric acid, can be attributed to the specific thermal behavior of the system and the partial decomposition of the aluminosilicate matrix. This transformation likely facilitated the release of lithium from the structures of muscovite and biotite into soluble sulfate forms. Overall, the results demonstrate that the temperature range of 250–300 °C is critical for matrix breakdown and provides the most favorable conditions for efficient lithium extraction.
The application of a stepwise heating regime was therefore introduced to trace the sequence of phase transformations of the aluminosilicate matrix and to capture the behavior of concentrated sulfuric acid at different temperature intervals. This methodological choice allowed us to reliably identify the critical window of 250–300 °C and to directly relate it to the enhanced lithium recovery observed in the experiments.
The two-stage sulfation process (first stage: 250 °C, L/S = 1:10, 2 h; second stage: 350–750 °C, 1 h) proved to be less effective (Table 5). The maximum lithium recovery reached 51.52% at 750 °C, which was lower than the 67.83% achieved during single-stage sulfation at 300 °C. Recovery of aluminum and iron sharply decreased at temperatures above 600 °C (0% and 0.22% at 750 °C, respectively), due to decomposition of their sulfates into insoluble oxides with the release of sulfur gases. The decline in lithium recovery is likely related to the formation of new phases or partial sintering of the clinker, limiting solvent accessibility.
The effect of sulfation duration was studied at 300 °C and L/S = 1:10 for 1–4 h. The maximum lithium recovery (~71.2%) was achieved at 1 h (Figure 5). Prolonging the duration to 3–4 h reduced recovery, likely due to loss of the acid reagent during extended thermal treatment. Investigation of the effect of L/S ratio (1:10, 1:8, 1:6, 1:4) at 300 °C for 2 h demonstrated that L/S = 1:6 was optimal, providing 80.23% lithium recovery (Figure 6). Further increases in acid (L/S = 1:4) did not improve efficiency, suggesting saturation of the reaction system.
Hydrochloric acid leaching (0.5 M HCl, 80 °C, L/S = 6:1, 1 h) proved to be less effective than aqueous leaching (Table 6). The maximum lithium recovery of 48.31% was achieved after single-stage sulfation (300 °C, 2 h), whereas two-stage variants (250 °C + 750 °C; 300 °C + 750 °C) yielded lower recoveries of 41.04% and 39.58%, respectively. This indicates reduced lithium availability due to phase transformations at high-temperature sulfation and the lack of advantages from using HCl.
Considering the identified optimal sulfation conditions (300 °C, L/S = 1:6, duration 1 h, H2SO4) and aqueous leaching parameters (90 °C, L/S = 6:1, 1 h), lithium recovery of 82.3% was achieved. However, results indicated that even under these conditions, extraction efficiency remained limited. Comparison with hydrochloric acid leaching confirmed the superiority of aqueous leaching, highlighting the need for in-depth investigation of this process.
The use of concentrated sulfuric acid at elevated temperatures requires strict safety precautions due to its corrosive and volatile nature. For industrial applications, gas scrubbing systems and effluent neutralization are necessary to minimize environmental impact.
To quantitatively assess the influence of process parameters on lithium recovery, mathematical modeling of aqueous leaching was carried out using response surface methodology.

3.3. Statistical Analysis and Model Selection

The results of analysis of variance (ANOVA) for the response surface methodology (RSM) model of the lithium leaching process are presented in Table 7.
The F-value of 15.01 indicates high statistical significance of the developed model. The probability that such a high F-value is due to random error is less than 0.01% (p < 0.0001), which is well below the conventional significance threshold of 0.05. This confirms the reliability of the model for interpretation within the established experimental range.
Values of p < 0.0001 highlight the statistical significance of the corresponding model terms. In this case, the significant factors are A (L/S), B (temperature), and the interaction AB (p = 0.0158).
The coefficient of determination R2 = 0.8738, indicating that the model explains 87.38% of the variance in the response. The adjusted R2 = 0.8156 is also high, confirming minimal influence of insignificant terms. However, the predicted R2 (Pred R2) equals 0.4515, which is noticeably lower than the adjusted R2. This discrepancy may point to block error, outliers, or overfitting of the model. Model reduction or transformation of the response variable is recommended to improve predictive performance.
Nevertheless, the Adequate Precision ratio of 14.117 greatly exceeds the minimum acceptable threshold of 4. This demonstrates an excellent signal-to-noise ratio and confirms the suitability of the model for navigating the design space.
Thus, the developed quadratic model demonstrates high statistical significance, good approximation, and acceptable predictive accuracy, providing a robust foundation for further modeling and optimization of lithium extraction conditions.
The regression equation obtained from this analysis is expressed as
E ( L i )   =   58.10000   +   1.46923 A   +   0.14667 B   +   0.038803 C     0.035897 A B     0.011111 A C   +   1.02564 E     003 B C .
Diagnostic plots (Figure 7) were used to comprehensively assess the adequacy of the constructed quadratic model describing lithium recovery. The normal probability plot of residuals (Figure 7a) shows that standardized residuals are distributed along the diagonal line of the normal distribution, indicating the absence of significant deviations from normality and confirming the validity of the normal error assumption. The color scale reflecting lithium recovery values (65–95%) demonstrates no dependence of residuals on the level of recovery.
The residuals versus predicted values plot (Figure 7b) reveals a random distribution of residuals relative to the zero line. The absence of visible trends or systematic deviations confirms that the model is free of autocorrelation and demonstrates satisfactory accuracy within the prediction range (64.5–94.3%). The residuals versus run order plot (Figure 7c) illustrates the temporal stability of the model: no systematic trends were detected, and residuals remained within ±3, confirming uniform random error and the reliability of the experimental results across all 20 trials. Finally, the predicted versus actual values plot (Figure 7d) demonstrates a high degree of agreement: most points are grouped along the ideal fit line. Predicted values ranged from 64.5% to 94.3%, while actual recoveries ranged from 64.5% to 95.0%, confirming the high accuracy of the model and its applicability for predicting lithium recovery within the studied factor space.

3.4. Interaction of Factors in Lithium Leaching

The regression coefficients for factors A, B, and C were +1.46923, +0.14667, and +0.038803, respectively, reflecting their quantitative influence on lithium recovery according to the regression equation. The strongest positive effect is exerted by the L/S ratio (A), followed by leaching duration (C) and temperature (B), which showed the least impact. The presence of quadratic terms (A2: −0.10619, B2: −1.93849 × 10−3, C2: −3.30992 × 10−4) and interaction terms (AB: −0.010688, AC: +0.002471, BC: +3.71777 × 10−4) indicates the nonlinear nature of the process and complex interrelations between factors [30,31].
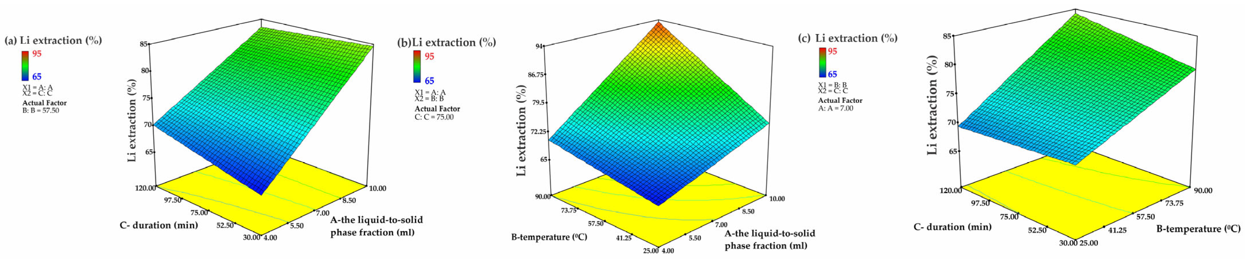
To evaluate the influence of technological parameters on lithium leaching efficiency, three-dimensional response surface plots were constructed based on the quadratic model (Figure 8a–c). These plots illustrate the system behavior when varying pairs of factors: leaching time vs. L/S ratio (Figure 8a), temperature vs. L/S ratio (Figure 8b), and temperature vs. leaching time (Figure 8c), while keeping the third parameter fixed. According to model calculations, the maximum predicted lithium recovery of 93.4% is achieved at 90 °C, 75 min, and a L/S ratio of 10 mL.
The analysis demonstrates that the most significant influence on lithium extraction is exerted by temperature and the liquid-to-solid ratio, while increasing the leaching duration beyond 30 min does not substantially affect lithium yield. The established order of factor importance (A > B > AB) highlights the dominant role of the L/S ratio, the significant contribution of temperature, and the relatively moderate impact of their interaction.
Experimental validation performed under the following conditions—temperature 90 °C, liquid-to-solid ratio L/S = 10:1, and leaching time of 30 min—yielded an actual lithium recovery of 91.92%. Meanwhile, the model predicted a slightly higher recovery of up to 93.4% at an extended leaching time of 75 min. These results show that increasing the phase ratio of the substance under high temperature conditions increases the solubility of lithium-containing compounds, facilitating their transition into solution. This provides a basis for improving extraction efficiency and further optimization of the technological process.

4. Conclusions

The present study demonstrated the feasibility of applying sulfation roasting with sulfuric acid to decompose the aluminosilicate matrix of lithium-bearing rare-metal tailings. Mineralogical and chemical analyses confirmed that lithium occurs predominantly as isomorphic substitutions in muscovite and biotite, and to a lesser extent as the native mineral spodumene. In contrast to spodumene, which can be decomposed by conventional acid treatment after phase transformation, lithium incorporated into the crystal lattices of muscovite and biotite is structurally bound within a stable aluminosilicate framework. Such isomorphic incorporation significantly limits direct leaching efficiency, as lithium is inaccessible without prior matrix breakdown. Sulfation roasting converts these silicate structures into soluble sulfates, thereby enhancing lithium availability for subsequent aqueous leaching and ensuring more effective recovery from the tailings.
Experimental data established the optimal conditions for the sulfation process: 300 °C, 1 h duration, and a liquid-to-solid ratio of 1:6 using H2SO4. Subsequent aqueous leaching at 90 °C, L/S = 6:1, for 1 h of the optimally roasted clinker achieved a lithium recovery of 82.3%. Comparative analysis showed that hydrochloric acid leaching was less efficient, confirming the advantage of aqueous leaching as a more selective and economically viable approach.
Mathematical modeling using response surface methodology (RSM) and central composite design (CCD) validated the statistical significance of the influencing factors and enabled construction of a robust regression model (R2 = 0.8738) with high predictive capability. According to the model, lithium recovery of up to 93.4% can be achieved at a liquid-to-solid of 10:1, temperature of 90 °C, and leaching time of 75 min. The calculated values were in good agreement with experimental data obtained under similar conditions (90 °C, L/S = 10:1, 30 min), which yielded 91.92% lithium recovery.
These results provide a scientific basis for further research focused on refining the kinetic characteristics of the process, investigating the behavior of accompanying elements, and improving selectivity through optimization of reagents and operational regimes.

Author Contributions

Conceptualization, A.Y. (Azamat Yessengaziyev) and Z.K.; methodology, A.Y. (Azamat Yessengaziyev), A.Y. (Albina Yersaiynova) and A.T.; software, K.S., A.M. and A.T.; validation, A.Y. (Azamat Yessengaziyev), Z.K. and B.O.; formal analysis, Z.K.; investigation, A.Y. (Azamat Yessengaziyev), A.Y. (Albina Yersaiynova) and A.T.; resources, K.S., A.M. and B.O.; data curation, Z.K., A.Y. (Albina Yersaiynova) and A.Y. (Azamat Yessengaziyev); writing—original draft preparation, Z.K. and A.Y. (Azamat Yessengaziyev); writing—review and editing, A.Y. (Azamat Yessengaziyev) and Z.K.; visualization, A.M., B.O. and K.S.; supervision, Z.K.; project administration, Z.K.; funding acquisition, Z.K. All authors have read and agreed to the published version of the manuscript.

Funding

This research was funded by the Science Committee of the Ministry of Science and Higher Education of the Republic of Kazakhstan (Grant No. AP23488932).

Data Availability Statement

The original contributions presented in this study are included in the article. Further inquiries can be directed to the corresponding author.

Conflicts of Interest

The authors declare no conflicts of interest.

References

  1. World Economic Forum. A Vision for a Sustainable Battery Value Chain in 2030: Unlocking the Full Potential to Power Sustainable Development and Climate Change Mitigation. 2019. Available online: https://www3.weforum.org/docs/WEF_A_Vision_for_a_Sustainable_Battery_Value_Chain_in_2030_Report.pdf (accessed on 8 July 2025).
  2. IEA. Critical Minerals Market Review; IEA: Paris, France, 2023; Available online: https://www.iea.org/reports/critical-minerals-market-review-2023 (accessed on 25 July 2025).
  3. Ruberti, M. Pathways to Greener Primary Lithium Extraction for a Really Sustainable Energy Transition: Environmental Challenges and Pioneering Innovations. Sustainability 2025, 17, 160. [Google Scholar] [CrossRef]
  4. Gao, T.; Fan, N.; Dai, T. Lithium extraction from hard rock lithium ores: Technology, resources, environment and cost. China Geol. 2023, 6, 137–153. [Google Scholar] [CrossRef]
  5. Gu, J.; Liang, B.; Luo, X.; Zhang, X.; Yuan, W.; Xiao, B.; Tang, X. Recent Advances and Future Prospects of Lithium Recovery from Low-Grade Lithium Resources: A Review. Inorganics 2025, 13, 4. [Google Scholar] [CrossRef]
  6. Kenzhaliyev, B.K.; Karshyga, Z.B.; Yersaiynova, A.A.; Muhammad, N.A.A.; Yessengaziyev, A.M. Physicochemical Parameters of Lithium Sorption from Hydromineral Raw Materials Using Synthesized Inorganic Sorbents. Kompleks. Ispolz. Miner. Syra Complex Use Miner. Resour. 2026, 339, 14–20. [Google Scholar] [CrossRef]
  7. Luo, S.; Wang, Y.; Zhang, Q.; He, M.; Wang, H.; He, X.; Zheng, X.; Sun, Z. A ‘zero waste’ solution for effective recovery of lithium from low-grade lithium-bearing resources. Sep. Purif. Technol. 2025, 380, 135432. [Google Scholar] [CrossRef]
  8. Wu, F.; Shivakumar, K.R.; Konhauser, K.O.; Alessi, D.S. Lithium resources and novel strategies for their extraction and purification. npj Mater. Sustain. 2025, 3, 30. [Google Scholar] [CrossRef]
  9. Liu, W.; Wan, B.; Ma, H.; Zhang, J. Optimization of resource recovery technologies in the disassembly of waste lithium batteries: A study on selective lithium extraction. Heliyon 2024, 10, e40251. [Google Scholar] [CrossRef]
  10. Yersaiynova, A.A.; Karshyga, Z.B.; Kenzhaliyev, B.K.; Sukurov, B.M.; Yessengaziyev, A.M.; Orynbayev, B.M.; Saulebekkyzy, S. Adsorption Equilibrium of Lithium Sorption Process Using Synthesized Inorganic Sorbents. Results Eng. 2025, 27, 106720. [Google Scholar] [CrossRef]
  11. Sagzhanov, D.; Ito, J.; Altansukh, B.; Godirilwe, L.L.; Haga, K.; Takasaki, Y.; Shibayama, A. Lithium Ore Beneficiation: Sustainable Approaches for Efficient Recovery of Lithium from a Low-Grade Spodumene Ore. J. Sustain. Metall. 2025, 11, 754–772. [Google Scholar] [CrossRef]
  12. Wise, M.A.; Curry, A.C.; Harmon, R.S. Reevaluation of the K/Rb-Li Systematics in Muscovite as a Potential Exploration Tool for Identifying Li Mineralization in Granitic Pegmatites. Minerals 2024, 14, 117. [Google Scholar] [CrossRef]
  13. International Energy Agency (IEA). Recycling of Critical Minerals: Executive Summary; IEA: Paris, France, 2024; Available online: https://www.iea.org/reports/recycling-of-critical-minerals/executive-summary (accessed on 8 October 2025).
  14. Abdel-Aal, E.-S.A.; El-Sayed, D.; Abdel-Ghafar, H. Extraction of Lithium from Naturally Occurring Li -Bearing Minerals. Int. J. Mater. Technol. Innov. 2024, 4, 1–13. [Google Scholar] [CrossRef]
  15. Anwar, H.; Xiang, J.; Wang, W.; Jiang, L.; Chang, Z.; Wei, D.; Hassan, M.; Dong, B.; Gao, D.; Khan, K.; et al. Preferentially selective recovery of lithium from spent LiCoO2 by sulfation roasting of MnSO4. Mater. Chem. Phys. 2024, 318, 129236. [Google Scholar] [CrossRef]
  16. Liu, Y.; Ma, B.; Lü, Y.; Wang, C.; Chen, Y. A review of lithium extraction from natural resources. Int. J. Miner. Metall. Mater. 2023, 30, 209–224. [Google Scholar] [CrossRef]
  17. Yersaiynova, A.; Karshyga, Z.; Muhammad, N.; Yessengaziyev, A.; Orynbayev, B. Lithium Extraction Methods and Its Application Prospects: A Review. Kompleks. Ispolz. Miner. Syra = Complex Use Miner. Resour. 2025, 337, 95–107. [Google Scholar] [CrossRef]
  18. Krishnan, R.; Gopan, G. A comprehensive review of lithium extraction: From historical perspectives to emerging technologies, storage, and environmental considerations. Clean. Eng. Technol. 2024, 20, 100749. [Google Scholar] [CrossRef]
  19. Petrakis, E.; Alexopoulos, I.; Pantelaki, O.; Karmali, V.; Komnitsas, K. Advances in Mineral Processing of Hard-Rock Lithium Ores: A Comprehensive Review. Min. Met. Explor. 2025, 42, 1251–1283. [Google Scholar] [CrossRef]
  20. Ellestad, R.B.; Leute, M.K. Method of Extracting Lithium Values from Spodumene Ores. U.S. Patent 2516109A, 25 July 1950. [Google Scholar]
  21. Samoilov, V.I. Issledovanie Sovremennykh i Razrabotka Perspektivnykh Khimicheskikh Metodov Izvlecheniya Litiya iz Mineral’nogo Syr’ya v Tekhnicheskie Soedineniya; Media-Al’yans: Ust’-Kamenogorsk, Kazakhstan, 2005; 276p. [Google Scholar]
  22. Samoilov, V. Eksperimental’naya Razrabotka Perspektivnykh Khimicheskikh Metodov Izvlecheniya Berilliya i Litiya iz Mineral’nogo Syr’ya; Media-Al’yans: Ust’-Kamenogorsk, Kazakhstan, 2006; 551p. [Google Scholar]
  23. Nandihalli, N.; Chouhan, R.; Kuchi, R.; Hlova, I. Aspects of Spodumene Lithium Extraction Techniques. Sustainability 2024, 16, 8513. [Google Scholar] [CrossRef]
  24. Braga, P.; Brigido, C.; Pinto, C.; França, S.; Rosales, G. Extracting Lithium from Brazilian α-Spodumene via Chlorination Roasting. Mining 2025, 5, 19. [Google Scholar] [CrossRef]
  25. Becker, J.; Will, S.; Friedrich, B. Selective Extraction of Lithium from Spent Lithium-Ion Manganese Oxide Battery System through Sulfating Roasting and Water-Leaching. Metals 2023, 13, 1612. [Google Scholar] [CrossRef]
  26. Resentera, A.C.; Calabró, F.; Rodriguez, M.H. Lithium extraction from lepidolite using molten ammonium bifluoride: Applying response surface methodology to model and optimize the thermal process. Chem. Eng. Process. 2025, 214, 110336. [Google Scholar] [CrossRef]
  27. Fosu, A.Y.; Kanari, N.; Vaughan, J.; Chagnes, A. Literature Review and Thermodynamic Modelling of Roasting Processes for Lithium Extraction from Spodumene. Metals 2020, 10, 1312. [Google Scholar] [CrossRef]
  28. Rakhimbaev, B.S.; Pirmatov, E.A.; Khasanov, A.S.; Turobov, S.N. Study of Gravity Concentration of Aged Tailings from the Maralushenskoe Tailings Storage. Univers. Tekhnicheskie Nauk. 2024, 3, 41–45. [Google Scholar] [CrossRef]
  29. Malin, K.M. (Ed.) Spravochnik Sernokislotchika; Khimiya: Moscow, Russia, 1971; 744p. [Google Scholar]
  30. Kenzhaliyev, B.; Surkova, T.; Berkinbayeva, A.; Baltabekova, Z.; Smailov, K.; Abikak, Y.; Saulebekkyzy, S.; Tolegenova, N.; Omirbek, T.; Dosymbaeva, Z. Innovative Methods for Intensifying the Processing of Zinc Clinker: Synergy of Microwave Treatment and Ultrasonic Leaching. Metals 2025, 15, 246. [Google Scholar] [CrossRef]
  31. Kenzhaliyev, B.; Ultarakova, A.; Lokhova, N.; Mukangaliyeva, A.; Kassymzhanov, K. Optimized Hydrometallurgical Extraction of Molybdenum via Mechanoactivation and Nitric–Sulfuric Leaching. Processes 2025, 13, 1486. [Google Scholar] [CrossRef]
Figure 1. X-ray diffraction pattern of tailings.
Figure 1. X-ray diffraction pattern of tailings.
Metals 15 01133 g001
Figure 2. Thermogram of the tailings obtained during cooling.
Figure 2. Thermogram of the tailings obtained during cooling.
Metals 15 01133 g002
Figure 3. Tailings concentrate under binocular microscope: (a) non-electromagnetic fraction (×25); (b) spodumene in concentrate (×40).
Figure 3. Tailings concentrate under binocular microscope: (a) non-electromagnetic fraction (×25); (b) spodumene in concentrate (×40).
Metals 15 01133 g003
Figure 4. Muscovite (1) and biotite (2) in tailings sample under binocular microscope.
Figure 4. Muscovite (1) and biotite (2) in tailings sample under binocular microscope.
Metals 15 01133 g004
Figure 5. Effect of sulfation duration (300 °C, L/S = 1:10) on lithium recovery.
Figure 5. Effect of sulfation duration (300 °C, L/S = 1:10) on lithium recovery.
Metals 15 01133 g005
Figure 6. Effect of L/S ratio during sulfation (300 °C, 2 h) on lithium recovery.
Figure 6. Effect of L/S ratio during sulfation (300 °C, 2 h) on lithium recovery.
Metals 15 01133 g006
Figure 7. Diagnostic plots for the quadratic model of lithium leaching: (a) normal probability of residuals, (b) residuals vs. predicted values, (c) residuals vs. run order, (d) predicted vs. actual values.
Figure 7. Diagnostic plots for the quadratic model of lithium leaching: (a) normal probability of residuals, (b) residuals vs. predicted values, (c) residuals vs. run order, (d) predicted vs. actual values.
Metals 15 01133 g007
Figure 8. Three-dimensional response surface plots of factor interactions (with the third factor fixed) on lithium recovery: (a) A and C, (b) A and B, (c) B and C.
Figure 8. Three-dimensional response surface plots of factor interactions (with the third factor fixed) on lithium recovery: (a) A and C, (b) A and B, (c) B and C.
Metals 15 01133 g008
Table 1. Levels and codes of factors for CCD.
Table 1. Levels and codes of factors for CCD.
FactorSymbolCoding Level
−101
Liquid-to-solid ratio (mL)A4710
Time (min)C3075120
Temperature (°C)B2557.590
Table 2. Leaching parameters and ranges applied in the experiments.
Table 2. Leaching parameters and ranges applied in the experiments.
ParameterValues
Liquid-to-solid ratio (mL)4, 5.5, 7 *, 8.5, 10
Time (min)30, 52.5, 75 *, 97.5, 120
Temperature (°C)25, 41.25, 57.5 *, 73.75, 90
*—fixed values.
Table 3. Chemical composition of rare-metal production tailings (wt.%).
Table 3. Chemical composition of rare-metal production tailings (wt.%).
ElementLiSiAlFeKNaCaMgOOthers
Content0.03835.896.590.742.553.070.440.1549.10-
Table 4. Effect of sulfation temperature on lithium and associated element recovery into aqueous solution.
Table 4. Effect of sulfation temperature on lithium and associated element recovery into aqueous solution.
ProcessContent in Solid Product, %Recovery into Solution, %
LiAlFeLiAlFe
100 °C
Sulfation0.0314.9430.684---
Leaching0.0226.3440.27434.632.9281.64
150 °C
Sulfation0.0294.6170.655---
Leaching0.0236.7720.31936.176.1980.83
200 °C
Sulfation0.0275.0790.637---
Leaching0.0236.1740.31139.7910.2580.56
250 °C
Sulfation0.0325.4200.704---
Leaching0.0155.3390.27060.6425.6383.47
300 °C
Sulfation0.0295.2340.660---
Leaching0.0175.1680.27567.8326.2582.29
Table 5. Recovery of lithium, aluminum, and iron during two-stage sulfation.
Table 5. Recovery of lithium, aluminum, and iron during two-stage sulfation.
ProcessContent in Solid Product, %Recovery into Solution, %
LiAlFeLiAlFe
350 °C
Sulfation0.0354.9860.593---
Leaching0.0265.2970.57241.749.8623.24
450 °C
Sulfation0.0325.2840.623---
Leaching0.0245.1110.65144.0712.8311.08
550 °C
Sulfation0.0335.2620.570---
Leaching0.0245.1400.67740.8614.8111.34
650 °C
Sulfation0.0365.4590.619---
Leaching0.0364.9920.57216.8818.2119.12
750 °C
Sulfation0.0385.930.727---
Leaching0.0246.7580.75951.5200.22
Table 6. Effect of hydrochloric acid leaching on lithium recovery.
Table 6. Effect of hydrochloric acid leaching on lithium recovery.
ProcessTemperature (°C)Duration (h)Li Recovery into Solution (%)
Experiment 1
Sulfation300248.31
Experiment 2
SulfationMode 1250241.04
Mode 27501
Experiment 3
SulfationMode 1300239.58
Mode 27501
Table 7. ANOVA for the quadratic response surface model.
Table 7. ANOVA for the quadratic response surface model.
SourceSum of SquaresdfMean
Square
F Valuep-Value
Prob > F
Standard
Error
95% CI
(Lower–Upper)
Model1146.306191.0515.01<0.0001
A-l656.101656.1051.54<0.00012.83635.0–677.2
B-C348.101348.1027.340.00022.92330.1–366.1
AB98.00198.007.700.01583.1190.1–105.9
Residual165.501312.73
Cor Total1311.8019
Disclaimer/Publisher’s Note: The statements, opinions and data contained in all publications are solely those of the individual author(s) and contributor(s) and not of MDPI and/or the editor(s). MDPI and/or the editor(s) disclaim responsibility for any injury to people or property resulting from any ideas, methods, instructions or products referred to in the content.

Share and Cite

MDPI and ACS Style

Yessengaziyev, A.; Karshyga, Z.; Yersaiynova, A.; Tastanova, A.; Smailov, K.; Mukangaliyeva, A.; Orynbayev, B. Optimization of Lithium Recovery from Aluminosilicate Tailings via Sulfation Roasting and Leaching: Experimental Study and RSM Modeling. Metals 2025, 15, 1133. https://doi.org/10.3390/met15101133

AMA Style

Yessengaziyev A, Karshyga Z, Yersaiynova A, Tastanova A, Smailov K, Mukangaliyeva A, Orynbayev B. Optimization of Lithium Recovery from Aluminosilicate Tailings via Sulfation Roasting and Leaching: Experimental Study and RSM Modeling. Metals. 2025; 15(10):1133. https://doi.org/10.3390/met15101133

Chicago/Turabian Style

Yessengaziyev, Azamat, Zaure Karshyga, Albina Yersaiynova, Aisha Tastanova, Kenzhegali Smailov, Arailym Mukangaliyeva, and Bauyrzhan Orynbayev. 2025. "Optimization of Lithium Recovery from Aluminosilicate Tailings via Sulfation Roasting and Leaching: Experimental Study and RSM Modeling" Metals 15, no. 10: 1133. https://doi.org/10.3390/met15101133

APA Style

Yessengaziyev, A., Karshyga, Z., Yersaiynova, A., Tastanova, A., Smailov, K., Mukangaliyeva, A., & Orynbayev, B. (2025). Optimization of Lithium Recovery from Aluminosilicate Tailings via Sulfation Roasting and Leaching: Experimental Study and RSM Modeling. Metals, 15(10), 1133. https://doi.org/10.3390/met15101133

Note that from the first issue of 2016, this journal uses article numbers instead of page numbers. See further details here.

Article Metrics

Back to TopTop