Abstract
In designing accurate constitutive models, it is important to investigate the stability of the response obtained by means of these models to perturbations in operator and input data because the properties of materials at different structural-scale levels and thermomechanical influences are stochastic in nature. In this paper, we present the results of an application of the method developed by the authors to a numerical study of the stability of multilevel models to different perturbations: perturbations of the history of influences, initial condition perturbations, and parametric operator perturbations. We analyze a two-level constitutive model of the alpha-titanium polycrystal with a hexagonal closed packed lattice under different loading modes. The numerical results obtained here indicate that the model is stable to perturbations of any type. For the first time, an analytical justification of the stability of the considered constitutive model by means of the first Lyapunov method is proposed, and thus the impossibility of instability in models with modified viscoplastic Hutchinson relations is proved.
1. Introduction
In recent decades, a multilevel crystal plasticity approach to describing the behavior of metals and alloys has become increasingly popular [,,,,]. It offers an opportunity to explicitly describe changes in the structure of materials and separate deformation mechanisms by introducing a number of internal variables (IVs) and corresponding kinetic equations to track their change [,,]. In constitutive models (CMs) of this type, it is possible to use as an operator a system of relations that are largely universal and simple from the view point of the mathematical structure (tensor differential and algebraic equations). The universal applicability of these relations means that they can be applied to describe deformation mechanisms and structural changes in a wide class of materials and under different loads []. At the same time, because of the complexity of inelastic deformation processes, we really need some constitutive models capable of providing precise data on the internal structure of materials, deformation mechanisms, and interactions between these mechanisms. In order to develop such a model, it is necessary to introduce many internal variables and to analyze properly the relationships between them. This makes the model of interest highly nonlinear and compute intensive.
An arbitrary mathematical model can be represented as an operator that allows finding the output data (solution) through the input data, which generally include time-varying influences on the object of study and initial conditions [,]. An important element of the analysis of complex models is determining changes in the solutions obtained with these models at input data and operator perturbations. The significance of this element for CM verification is reflected in the fact that both the material properties distributed throughout the structure (including those at lower structural-scale levels) and the influences produced by stochastic boundary conditions distributed over the computational domain (including its boundaries) are stochastic in nature.
At present, sensitivity analysis (SA) is actively developing. Sensitivity analysis is in a broad sense, a method for assessing the influence of model input data uncertainty on model output data [,]. A review of the current state of SA and prospects for its development in mathematical modeling, e.g., in machine learning systems, is given in [,,]. One of the main SA methods is Sobol’ analysis, which studies how the dispersion of individual components of the input data (and their combinations) affects the dispersion of output data [,,,]. Improvements to this method can be found in recent works [,].
Sensitivity analysis (Sobol’ analysis) has many applications in the mathematical models that have found use in numerous fields—ecology [,,,], hydrology [,,], chemistry [], biomechanics [,], engineering [,], epidemiology [,,]; science mapping is given in []. The sensitivity of these models in solid mechanics was analyzed with respect to changes in the influences and characteristics of the material. To achieve this, researchers often use an approach where the derivatives of the response are defined explicitly in terms of model parameters [,,]. In this case, the functions accounting for the safety factor and the structure cost, as well as stresses, can be taken as response parameters.
SA is helpful in conducting the CM identification procedure [,,]. In particular, if the model exhibits significant sensitivity to the parameters that undergo small perturbations (close to the values established during identification), then it may be necessary to reconsider the domain of their definition in terms of physical considerations. The authors of [,] developed a promising approach for the effective application of SA in refining a set of meaningful internal variables (material microstructure characteristics) introduced in parametrically homogenized macroscale constitutive models. After identifying a significant set of internal variables, the functional dependence of the macroscale model parameters on these variables is determined by using the machine learning algorithms applied to a database involving the calculation results obtained by means of a multilevel crystal plasticity finite element model. In [,], this approach was generalized to account for data uncertainty: Bayesian inference is used for uncertainty quantification of constitutive parameters, and the uncertainty propagation method is based on a Taylor series expansion—for propagation of uncertainty to mechanical response variables.
Undoubtedly, SA is a necessary tool to identify errors in the construction of mathematical models and their software implementations (e.g., when stability conditions are violated during computations) []. In this connection, it may be useful to assess the stability of multilevel CMs to input data. This will help us determine whether there are any physically unreasonable solutions [], where even small input data perturbations promote a large (finite) deviation of the response. In the context of SA, this means a lack of infinitely large sensitivity indicators for the corresponding input data components. In forming and thermomechanical treatment processes, both the influences produced by stochastic boundary conditions and the material properties distributed throughout the structure (including those at lower structural-scale levels) are stochastic; therefore, a constitutive model should be stable not only to input data but also to internal variable perturbations that characterize the structure change and implementation of deformation mechanisms. These requirements stem from the fact that the multilevel CMs are intended to describe technological processes where different types of complex loads causing different scenarios for changes in the internal structure of the material may occur.
In traditional studies where mathematical models are formulated in the form of ordinary differential equations (DE), the conditions for stability (instability) of solutions are considered with respect to changes in initial conditions (Lyapunov stability) []. The method of Lyapunov functions (Lyapunov’s second or direct method) enabled researchers to answer rigorously to the question concerning the stability of solutions to the systems of nonlinear differential equations [,]. There are examples of its effective use in solving some particular problems (for fuzzy logic control system creation [], stability of fractional-order nonlinear dynamic systems investigation [,], epidemic model analysis [,,], flexible manipulator control [], etc.). However, as far as the authors know, today there is no universal procedure for its application to complex nonlinear DE systems typical of multilevel CMs.
Other well-known methods for the analytical study of stability are based on the Lyapunov first method (estimation of stability by the first approximation) [,]. It is worth to note here that the analytical expression of the first approximation matrix for some CMs, for instance, those that include an algorithmic definition of the operator in the right-hand side of the differential equation in elastoplastic models [], may, under certain conditions, not exist or have a very complex form. In the general case, due to the presence of numerous interacting IVs in multilevel CMs (at least, several tens of thousands), the matrix can be a high dimensional matrix, eigenvalues cannot be found analytically, and numerical methods do not provide a guaranteed determination of all roots of a nonlinear equation. Moreover, the nonlinearity and large dimension of the matrix provoke a need for significant computational resources. This is also characteristic of the case when the negativity of the real parts of all roots, for example, Hurwitz or Mikhailov criteria, are estimated []. In addition, the application of these methods to the analysis of high-dimensional matrices may lead to the accumulation of computational errors.
During the past several decades, there have been substantial advances in studying the stability of mathematical models. This progress is associated with the development of a number of research directions [,]: the “input to output stability” problem, which considers the history of external influences [,] and operator relations via functional analysis [,]; the stabilization (control) problem, which stems from the previous [,,]; the modified Lyapunov function method [,,]; consideration of simple operator perturbations in relation to its parameters []. Thus, the mathematical apparatus based on Lyapunov methods is still evolving. There have been developed approaches to the particular problem of the stability of solutions with respect to some variables and corresponding control to stabilize the response obtained by means of the mathematical model, as well as approaches to the parametric perturbation of a simple operator of the problem. However, in the light of the above arguments, we can conclude that, despite the development of an analytical apparatus for studying the stability in the general case of a nonlinear operator, it is hardly possible to develop an analytical procedure for assessing the stability in the presence of perturbations of different types (initial conditions, history of influences, operator). In these circumstances, the significance of the numerical SA increases [,,].
Motivated by the complexity of the CM stability analytical analysis under the above-mentioned perturbations of different model parameters, the authors proposed in their previous study a method for numerical estimation of the stability of multilevel CMs describing the inelastic deformation of metals and alloys [,]. They also introduced basic concepts needed to describe stability and gave the formal mathematical definition of the multilevel CM stability, which, in contrast to the traditional one, is able to consider perturbations of the history of influences and parametric perturbations of an operator. In addition, a numerical algorithm for studying the simple two-level elastoviscoplastic CM of a polycrystal with a face-centered cubic (FCC) lattice and an example of its application were given. It is worth noting that the study was performed to investigate the CM stability to the perturbations generated by physical factors only; the influence of the effects associated with instabilities and errors in numerical methods was not considered. Moreover, we emphasize the stability of the CM but not that of the obtained solution in the boundary value problem. Investigation of the stability of boundary value problem solutions, which is certainly related to the formulation of CM, requires separate consideration; publications for a given topic are provided in [,,].
In this paper, we present a detailed numerical study of the stability of multilevel constitutive models proposed in [,] and the results of its first-time application to the two-level elastoviscoplastic statistical model of the alpha-titanium polycrystal with hexagonal closed packed (HCP) lattice, which takes into account intragranular edge dislocation slip (IDS), crystallite lattice rotation, and twinning. The developed two-level statistical CM is used for the first time to describe the deformation of alpha-titanium with account for twinning and initial texture-induced anisotropy. A new addition to stability analysis is that it includes an analytical justification of the stability of the two-level constitutive model based on the Lyapunov first method, according to which no instability can arise in the models relying on modified Hutchinson’s equation. The considered statistical CM is used as an example of an application of the method proposed. Nowadays statistical CMs have found wide application [,,,]; their advantage is that they are more computationally efficient compared to self-consistent and direct models [,,]. The core of CM of any type is a mesolevel constitutive relation (CR) [], and therefore its comprehensive analysis (including stability) is of primary importance so that to be confident about the adequacy of the results obtained in the framework of different CMs containing this CR for numerical modeling of technological processes. Since many variants of influences are considered simultaneously (for a conventional observer in the crystallographic coordinate system), a statistical model is precisely the most convenient option for numerical stability analysis of the mesolevel CM.
Section 2 gives basic concepts and definitions of stability used in the numerical CM stability estimation procedure and a conceptual description of the approach proposed. Section 3 contains two-level CM relationships for the deformation of polycrystalline HCP metals and the results of identification and verification of the constitutive models of interest. Section 4 contains a detailed description of the numerical CM stability estimation procedure and an analysis of the results of an application of this procedure. It also provides a discussion that includes, for the first time, an analytical consideration of the relationships by the Lyapunov first method (for assessing stability by linear approximation). The conclusion section includes the findings of the study.
2. Basic Concepts and Definitions Used in the Numerical CM Stability Estimation Procedure
We introduce the following concepts and definitions to assess the CM stability.
The main output data used in the CM stability analysis are the macrostress tensor components, which are usually determined in a fixed laboratory coordinate system. To formulate a particular problem, internal variables that represent the state of the material structure (e.g., the macroscale components of the effective physical and mechanical property tensors, characteristics of crystallite orientation distribution, the average intragranular shear rates, etc.) can be formally added to the output data.
Let us combine the CM output data into the general vector of output data , , T is the instant of time at which deformation is completed. A set of outputs (solution) obtained using CM is represented as a vector-function , is the space of n-dimensional continuous vector functions (at ) with a norm defined by the Riemann integral [], and is the domain of values determined by the CM operator (specified as a restricted domain).
Analogously, all kinematic and temperature influences are assigned to the vector of influence , . After that, we can determine these influences during the process under study. To do this, we write , where is the space of m-dimensional piecewise continuous vector functions, and , with a norm defined by the Riemann integral , is the domain of the definition of influences, and it is restricted by the ranges of these influences (e.g., in terms of strain rates and temperature), for which the CM is applicable.
All the components of internal variables that characterize the material structure elements and deformation mechanisms are similarly inserted in the vector , , , is the space with the norm obtained for a certain instant of time ; is the domain of internal variables values at time t. Since IVs are related to the structure elements and deformation mechanisms, their values should belong to the corresponding physically realizable ranges. The norm is used to set the deviations of initial conditions specified for internal variables because there is no need to consider the history of changes in internal variables; a similar norm is applied to find the deviation of initial conditions for .
The CM inputs include the history of the influences and the initial conditions , . Based on the input data , the model allows finding a solution , and hence it can be interpreted as a corresponding complex operator : . Because of the lack of a rigorous definition for the nonlinear operator norm, we use the following approximation. Hereinafter is used as a notation for the perturbed characteristics of the model. We assume that, when the solution is stable to operator perturbation, the difference between the influences of perturbed and unperturbed operators on any argument in the small neighborhood of input data is represented through the influence of a specified linear operator on it: []. This makes it possible to introduce a norm for estimating the deviation of the operator , thus confining possible arguments to the small neighborhood , which is equal to a norm of the linear operator .
Using the concepts introduced, a definition of stability for a solution is formulated as follows []. If, for any number , there are such positive numbers , , , at which, subject to simultaneous fulfillment of conditions (for any acceptable perturbations of influences , initial conditions and operator )
the inequality
is fulfilled, then the base solution , obtained through the operator for the input data , , , is stable.
If we, instead of the time integral response norm, use the norm of tensor-valued quantities at each instant of time (e.g., ) and consider only the initial condition perturbations (ignoring the perturbations of influences and operators), then at we get a classical definition for stability of a solution according to Lyapunov [,,,]. The necessity of studying the perturbations of initial conditions stems from the fact that the representative volume may contain the residual (initial) stresses , and the initial physical and mechanical properties defined by the initial values of internal variables are stochastic by nature.
Now we would like to point out the importance of considering the perturbed history of influences at in the CM analysis and not only perturbations at the initial moment of time . In real deformation processes, the perturbations of influences are induced at all instants of time due to stochastic kinematic and temperature boundary conditions (a perturbation of the history of influences implies changes in the right-hand part of differential equations). Adding the consideration of influence perturbations to the classical problem yields the “input to output” stability analysis [,]. The “input to output” stability theory [] is intended to study dynamic systems in state space by using the Lyapunov function method [,] or by applying functional analysis to the “input-output” operator relationships []. However, both approaches employ the model operator written in a sufficiently simple form.
An important extension to the stability analysis is the consideration of the output data response to the operator perturbation proposed here. The topicality of analysis of the influence of operator perturbations on the solution is associated with the fact that some physical processes described by the deterministic CM are in fact stochastic processes. Namely, these include the acts of interaction of defect structures at the microscale level, which are effectively considered through the mesolevel relations for critical shear stresses on dislocation intragranular slip systems []. Real scenarios for defect-substructure interactions can differ significantly during deformation. For instance, the authors of [] present an approach to stability analysis that implies the consideration of operator perturbations through its parameters; the form of the operator is assumed to be relatively simple. Hence, it can be concluded that the apparatus based on Lyapunov methods is being developed, but for the general case of a nonlinear operator, in which the perturbations of different types (initial conditions, history of influences, operator) are considered, it is hardly possible to construct an analytical procedure for assessing stability.
When it comes to using this definition of stability in practice, there arise some difficulties associated with determining an operator norm (4). Due to the CM essential nonlinearity and its large dimension, an analytical determination of this norm cannot be done, and there are no numerical methods for its finding. To evaluate the stability to operator perturbation, we performed a series of numerical experiments with a parametric setting of a small deviation of the perturbed operator from the base one. Thus, instead of condition (4), the numerical stability assessment procedure includes the condition for deviation of operator parameters:
where the vectors of operator parameters , , which vary with time, have the dimension S assigned to a specified number of CM operator parameters, whose perturbations are considered. The components at correspond to the value of parameters defining (at this instant of time) a model operator needed to find an unperturbed solution, and the components to find a perturbed solution. The norm is introduced in the same way as it has been done for the norm given above, i.e., by applying the Riemann integral .
The CM stability assessment procedure involves studying the stability of solutions at different operator parameter values (derived from the domain of their definition) and CM inputs, i.e., analysis of different issues regarding the evaluation of model local stability (stability of the individual solutions obtained using this model). We propose here a numerical procedure, in which the performed physical analysis enables considering only some of the physically admissible solutions and perturbations.
3. The Two-Level Statistical Constitutive Model of HCP-Polycrystal
In this study, a representative volume element (RVE) of a polycrystal consisting of uniformly deformed crystallites (mesolevel elements) is explored at the macrolevel in the framework of a statistical constitutive model. The RVE response obtained at the macrolevel by means of this statistical model is determined via averaging the stresses calculated at the mesolevel:
where is the weighted Kirchhoff stress tensor at the macrolevel, is the weighted Kirchhoff stress tensor for each crystallite (hereinafter, the crystallite index is omitted for brevity), is the Cauchy stress tensor for each crystallite, , denotes the crystallite density in the initial (unloaded) and current configurations, and shows the averaging operation.
The main mechanisms governing the deformation of crystallites are explicitly considered at the mesolevel. The viscoplastic relation is used to describe the intragranular slip of edge dislocations along the close-packed planes in the most closely packed directions (slip systems). For HCP crystallites, one more plastic deformation mechanism, twinning, is investigated. Traditionally, this mechanism is effectively described in the context of crystal plasticity—through the introduction of corresponding shear modes and use of viscoplasticity relations for implementation of these modes [,]. It is worth noting that twins impede dislocation slip, thus strongly changing the material response—significant hardening is observed, and this fact is analyzed by applying the equations for critical shear stresses []. To describe twinning in terms of CMs, one can also introduce a parameter controlling the twin volume fraction, as is done, for example, in []. When the parameter reaches a threshold value, the implementation of twinning can be limited in the model by any twinning system. In our study, the twin volume fraction has not reached a threshold value, and thus this parameter does not have much influence on modeling and stability analysis results.
Moreover, we do not consider here the effect of screw dislocations on the response obtained, because their density is assumed to be small in comparison to that of edge dislocations. This is the case in most crystal plasticity models (e.g., in [,,,,]).
The relations for studying an HCP crystallite at the mesolevel, used in the model under consideration, are given as [,]:
where the upper index “cor” denotes the corotational derivative independent of the choice of a reference frame, is the spin of a rigid moving coordinate system, which is related to the crystallographic direction and plane, is the elastic stiffness tensor whose components are constant in the moving coordinate system, which rotates with spin and defines a quasi-rigid motion (corotational derivative). [,], is the velocity gradient, which is set according to Taylor’s hypothesis, , where is determined at the macrolevel, is the Hamilton operator in the actual configuration, are the unit vectors of slip direction and slip plane normal (in the actual configuration) of edge dislocations, are the unit vectors of twinning direction and twinning plane normal (in the actual configuration), K is a doubled number of slip systems, S is a doubled number of twinning systems, is the shear rate for the slip system k, is the twinning shear rate for the twinning system s, is the shear rate for the slip system k when the shear stress reaches its critical value, is the twinning shear rate for the twinning system s when the shear stress reaches its critical value, denote the shear and critical shear stresses for the slip system k, denote the shear and critical shear stresses for the twinning system s, , are the functions of kinetic equations, which are used to find critical shear stress rates for slip and twinning systems, m is the strain rate sensitivity exponent of the material in the dislocation slip mode, n is the strain rate sensitivity exponent of the material in the twinning mode, is the total accumulated shear on all slip systems, is the Heaviside function, and is the actual orientation tensor of the moving coordinate system (MCS) with respect to the fixed laboratory coordinate system (LCS).
We use the Hutchinson relation [] to determine shear rates on slip systems; the activity of slip systems is modeled therein using the Heaviside function. Thus, shear rates are only calculated for slip systems where the condition is satisfied. This type of relation is taken to explicitly describe the plastic flow threshold observed at low temperatures during the experiments, and to keep the primary meaning of unchanged—the stress at which dislocations start to move. In the case of a threshold-free initial Hutchinson equation, this effect (development of large inelastic deformations at close to ) is frequently achieved when using a high exponent in it [,]. The strain rate dependence of the parameter can be used for the same purpose [,,]. The last modification is most appropriate when modeling the real technological processes characterized by significant changes in strain rate. Under conditions of monotonic loading and loading at which the strain rate varies in a small range, the constant parameter can be used. The issue of taking into account in multilevel models changes in temperature and strain rate is discussed in detail in []. As is shown below, the threshold relations defined in (8b, c) do not lead to instability.
To describe the rotation of the moving coordinate system (8h), Taylor’s spin model [,] is utilized:
An alternative model is the lattice spin model [,], where the moving coordinate system is associated with the crystal’s symmetry elements. As shown earlier in [], the considered models give close results, which differ only slightly from the spin model determined by the orthogonal tensor via the polar decomposition of the elastic component of the deformation gradient []. In this paper, we apply the Taylor’s spin model because it is fairly simple to implement.
In the framework of the CM structure (7)–(8), as the hardening law of (8f) and (8g), the following relationships [] are used:
where are the interaction matrix components between slip and twinning systems (), denotes the hardening modulus, which for slip is assumed to be equal to and for twinning to , , are the hardening law parameters, is the initial critical shear stress for slip system k, is the total accumulated shear on all slip systems.
To identify model parameters and verify model results, the data calculated using the model (7)–(8) were compared with the experimental results obtained for tension (compression) of pure titanium specimens in different directions (rolling direction—RD and transverse direction—TD) [].
In the framework of the model, 5 families of slip systems (SS) are considered: one basal family (), one prismatic family (), two pyramidal families (denoted as pyramidal () and pyramidal (), one pyramidal family (), as well as 2 families of twinning systems (TS): compressive () and tensile () twinning systems. Historically, these family names are associated with the fact that at high temperatures under tension along the axis (6th order symmetry axes), twinning usually develops on systems , and at relatively low temperatures under compression along the axis —on systems . It is worth highlighting the “etymological looseness” of these concepts: under certain conditions, compressive twins can dominate during the tensile tests and vice versa (verified in some test computational experiments).
Table 1 summarizes the CM parameters for pure titanium, some of which were taken due to the identification procedure (IP) using experimental data [] (for such parameters, «IP» is indicated in brackets). Note that the values of the interaction matrix components are the same as in [], except for the components used to describe the influence of twins on the hardening along the pyramidal slip systems и , which are equal to 0.9. In [] it was shown that there is very little information about the interaction matrix components for HCP metals, including α-titanium. Therefore, the role of some matrix components of value 2 was justified in [] only because of the correspondence between the simulated results and experiments in the case of the approximation of isotropic elasticity in crystallites. We note that the values of the components 0.9 used in our investigation are in accordance with generally accepted arguments that the latent interaction between twin and slip systems is stronger than that between slip systems.
Table 1.
Parameters of CM for pure titanium.
To perform model identification and verification, we have to specify initial texture. This is due to the peculiarities of the technology for producing titanium from ilmenite concentrate, which includes two main stages: production of titanium slag by reduction smelting, production of titanium (sponge, powder) via reduction of tetrachloride []. In the manufacturing process, titanium is obtained in sponge form, and, prior to conducting experiments, the resulting titanium sponge is rolled and annealed. For this reason, in the computational experiments performed to identify and verify the constitutive model, we take (as an initial texture) the rolling texture, which is qualitatively close to that given in [] (Figure 1). The numerically determined number of crystallites aggregated into a representative macrovolume is equal to 343.
Figure 1.
Pole figures for the RV initial state (calculations).
For loading, we set the uniaxial tension (compression) along RD and TD that coincide with the Ox2 and Ox1 of the fixed laboratory coordinate system, respectively. The strain rate is assumed to be equal to 6.67·10−4 s−1 []. For the statistical CM, the uniaxial loading algorithm was described in detail in [].
Figure 2 presents the model and experimental dependences of the modulus single nontrivial component of macrostresses in the basis of the LCS on the modulus logarithmic strain component for uniaxial tension (compression) along corresponding directions.
Figure 2.
Curves of the modulus single nontrivial component of macro stresses in the basis of the LCS vs. the modulus logarithmic strain component for uniaxial tension (compression) along corresponding directions plotted using the model (solid line) and experimental data (dotted line) from [].
Thus, we have developed a computationally efficient statistical constitutive model to describe the deformation of polycrystalline alpha titanium. The results of modeling are in satisfactory agreement with the experimental data [], which indicates that the CM can be used to describe the anisotropy of plastic properties at the macrolevel (caused by the initial texture) in the considered deformation range. Minor deviations from the experimental data may be due to an inaccurate setting of the initial texture. Definition of the initial texture, which exactly matches that of the sample, is a challenge because of the difficulties with its experimental determination and constructing a distribution function of crystallite orientations that should correspond to the experimental pole figures for all directions (in essence, this problem belongs to the class of inverse problems).
4. The Results of Application of the Technique for Estimating the Stability of Constitutive Model of HCP and Discussion
Let us consider a sequential implementation of the procedure for estimating the stability of a two-level statistical model describing the deformation of titanium.
4.1. Definition of Base Solutions
As stated above, the considered representative macrovolume is a texture-based one (Figure 1) because it has been obtained during the sheet rolling process. Therefore, to characterize the implemented loading modes, we use the introduced rolling direction (RD) and the directions (TD) and perpendicular to them. Thus, is assumed to be a fixed basis of the laboratory coordinate system. Further, the original billet may undergo different types of metal forming to produce articles.
It is evident that, for the nonlinear CM with a lot of internal variables, we are unable to consider all the solutions (having a power of continuum) found at different influences. At the same time, if we are interested in assessing the stability of CM, it is necessary to analyze the stability of the base solutions obtained in the thermomechanical treatment regimes characteristic of the technological processes under study. The purpose of this work is to present a methodology for assessing the stability of models, and thereby we deal here with several randomly chosen loads, which can be realized for the representative volume of the material in technological processes or in experimental research.
As base solutions, we take the solutions obtained under the following loads:
- (1)
- Quasi-uniaxial compression along the pre-rolling direction
Kinematic loading with the velocity gradient is implemented.
- (2)
- Quasi-uniaxial tension along the direction transverse to the pre-rolling direction
Kinematic loading with the velocity gradient is implemented.
For both cases, s−1 and the loading are considered at t that changes from 0 to T = 1000 s. In [], loads 1 and 2 were proposed for the statistical CM as an approximation of uniaxial compression and tension, respectively (for the sake of clarity, they are called “quasi-uniaxial compression” and “quasi-uniaxial tension”).
The stress-strain state close to that obtained at mode 1 can be observed for the sheet product deflecting in its concave part and close to that obtained at mode 2 for the product deflecting in its convex part. The study of modes 1 and 2 is also interesting because of the proximity of these loads to the uniaxial loads realized experimentally.
- (3)
- Complex loading along the medium curvature strain path [,]
We consider the kinematic loading with the time-dependent velocity gradient.
where A = 10, s−1 are the constant parameters, , T = 1000 s is the time at which the deformation is stopped, is the basis of the fixed laboratory coordinate system. For illustration purposes, Figure 3 demonstrates how the deformation gradient components change with time. Complex loadings of type (12) can be realized in the process of volumetric stamping of articles. Therefore, in order to analyze these influences, we have to investigate the stability of the response obtained using CM.
Figure 3.
Time dependence of the deformation gradient components obtained during the implementation of loading mode (12).
The given base loads are isochoric. In the considered CM, only shear modes of plastic deformation are realized, whereas compressibility is elastic by nature (for the description, a linear relationship between the first invariants of the stretching tensor and the time derivative of the Cauchy stress tensor is used). Thus, adding a non-isochoric deformation mode to loading does not cause qualitative changes in the stability assessment.
Figure 4 shows the time dependences of the equivalent stress observed at modes 1, 2, and 3 for the parameters given above and the kinematic influences without perturbations.
Figure 4.
Time dependences of the equivalent stress for quasi-uniaxial compression along RD (purple curve), quasi-uniaxial tension along TD (green curve), and complex loading along the medium curvature strain path (12) (blue curve).
As one can see, hardening is more pronounced for quasi-uniaxial compression along RD than for quasi-uniaxial tension along TD. This is due to the fact that, during quasi-uniaxial compression, the twinning process develops more intensively, which causes significant hardening (in the numerical experiments on quasi-uniaxial compression in which twinning is not taken into account, hardening is not so significant). The behavior of the curve illustrating loading along the medium curvature strain path (12) is different from the behavior of the curve for specimens under monotonic loading (as, for instance, in the case of quasi-uniaxial compression along RD and quasi-uniaxial tension along TD). For this loading, the velocity gradient components are written in the form of cyclic time functions, and, as a result, the time dependence of macrostress components also has signs of cyclicity.
4.2. The Assignment of Input Data and Operator Perturbations
Consider the stability of the model response (base solutions) to perturbations of input data and operator.
The schedule of numerical experiments is a combination of arrays of the components of vectors , , , which define the program of perturbations of influences, initial conditions, and operators, respectively. The components of these vectors determine a way of implementing scalar parameter perturbation (tensor parameter components) in the experiment realized in this study according to the following rule.
At zero value of the component, the corresponding CM parameter does not undergo a perturbation.
If the value is equal to 1, then the parameter perturbation starts to develop at the initial instant of time and remains unchanged throughout the entire process; the changed value of the parameter is defined as , where the random value is uniformly distributed in the range , is the parameter value at which base solutions were found. In essence, the calculations are compared in this case with different values of parameters that remain unchanged for the entire time of the process. For the generality of presentation of the stability estimation procedure, this is interpreted as a perturbation of the parameters (relative to the basic ones) at the initial moment of time.
If the component value is equal to 2 (for , ), then the parameter undergoes a perturbation with a burst that is random in onset time, duration and value, starting at the instant of time given in the schedule of experiments (Section 4.3). By burst is meant a monotonic increase in the parameter deviation and subsequent monotonic return to the value used in the base calculation at the end of the burst. The burst duration is short compared to the time of the entire process.
If the value is equal to 3 (for , ), then the parameter undergoes a perturbation with sequential bursts for the entire time interval . The implementation of perturbations of separate parameters by bursts is described in detail below.
Let us describe the parameters sequentially perturbed in our calculations.
4.2.1. Perturbations of Influences
We consider the perturbations of the velocity gradient, which change with time. A possibility that these perturbations occur is caused by the fact that the influences cannot be specified with required accuracy through boundary conditions during the manufacture of products and in conducting experiments. To reduce the number of calculations, the perturbations of only the following components L (in the LCS basis) were considered: . They correspond to components 1, 2, and 3 of the vector . In the context of the above mathematical structure designed to determine the stability, we study the stability with respect to perturbations of influences.
At values 2, 3 for , , , the perturbations are, respectively, given for , , , which are added to the base loading. Along with the perturbations added to the strain rate component to provide the condition for deformation isochoricity, the perturbations are simultaneously added to the components and . At , the perturbed tensor coincides with the base one . The value of the parameter , responsible for the current strain rate perturbation, is determined in such a way as to ensure the “sawtooth” change in the components with respect to the components with bursts of random height and duration. The burst duration is determined in a random manner according to the uniform distribution law within the interval from 0 to 10 s and rounded to a value that corresponds to an integer number of integration steps. The burst height (the peak value ) is determined as for odd bursts and as for even bursts, where is the random value with a uniform distribution law at the interval from 0 to 1, is the parameter, which defines the range of relative variability of the parameter for the experiment performed (the limiting values of this parameter are given in Section 4.4). There is no perturbation at the onset of the burst, i.e., . During the burst, the parameter grows linearly to its peak value and then returns linearly to the value at the end of the burst .
Figure 5 presents the time dependences of the perturbed and base components for load 1 (RD quasi-uniaxial compression) at .
Figure 5.
Time dependence of the components and for load 1 (quasi-uniaxial compression along RD) at .
The implementation of a perturbation with one burst at value 2 of the component is a particular case of a perturbation at value 3 of the component (the perturbation induced by a series of successive bursts); in this case after the burst is realized .
4.2.2. Perturbations of Initial Conditions
In this subsection, we analyze the stability of perturbations of initial (residual) stresses. The necessity of this study stems from the fact that, the material subjected to pre-treatment may involve residual stresses at different scale levels. In the calculations, the initial (residual) mesostresses are specified by random assignment of the values of the component in crystallites under the uniform distribution law with a mean (in accordance with the definition of residual mesostresses self-balanced on a representative macrovolume) that is equal to the value of the corresponding component of residual macrostresses, which is assumed to be zero. We suppose that the shear stresses generated by residual stresses on slip systems should not exceed the corresponding critical stresses, and thus residual mesostresses are limited in value. The assignment of a perturbation of residual stresses is reflected by component 1 of the vector . In the context of the above mathematical structure for determining stability, this study refers to the consideration of stability to the perturbation of initial conditions of internal variables (mesostresses) and the solution (macrostress).
4.2.3. Perturbation of Operator
For parametric operator perturbations, the deviations of critical shear stresses on slip systems (SS) and twinning systems (TS) () are considered. The topicality of this study is due to the fact that the physical processes that occurred during the deformation of materials (e.g., the interactions between defect structures at microscale levels) are, as a rule, stochastic in nature. These processes have been effectively taken into account in terms of critical shear stresses for individual crystallites at the mesoscale []. For
definiteness, we consider the identical perturbations of all values of critical stresses on slip and twinning systems for all crystallites. To shorten the notation, the critical shear stresses on the slip and twinning systems are denoted hereinafter as .
Component 1 of the vector corresponds to this parameter.
At , , the perturbation of critical stresses is realized in such a way as to provide a “sawtooth” change in relative to with random duration and height of the burst, denotes the averaging procedure over all SS and TS and all crystallites aggregated into the representative volume (N = 343). The height of the burst (the maximum deviation of the perturbed value from the unperturbed one) is given as , where are the mean critical stresses at the onset of the burst , is the random value determined by using a uniform distribution law in the interval from 0 to 1, is the parameter which determines the range of relative variability of the parameter for the current experiment (the limiting values of this parameter are given in Section 4.4). At the onset of the burst , no perturbation exists.
For odd bursts (their height is set with a positive sign), at all integration steps, the critical stresses for all crystallites (after the CM integration procedure at the time step) increase further with the same factor so that the deviation of the average critical stresses in the perturbed and base calculations is growing linearly to the peak value. After that, critical stresses decrease until the average critical stresses are equalized in the perturbed and base calculations, i.e., uniform compression of the yield polyhedron happens. In a similar way, for even bursts (their height is set with a negative sign), the critical stresses first decrease (yield surface compression) and then increase (yield surface tension).
In plasticity models, the stress and yield surface parameters cannot be recognized as independent parameters. For example, when the dimensions of the yield polyhedron reduce, it is necessary (on finding a stress on its surface in stress space) to correspondingly reduce stresses (the “return mapping” technique often used in the numerical procedures for solving plasticity problems). Under isothermal conditions, the yield surface size increases due to an increase (in modulus) in stress components. Therefore, at critical stress perturbations (tension or compression of the yield surface of a crystallite), mesostresses also change. Note that, during these processes, the total strain and the state (elastic or elastoplastic) of the crystallite material remain unchanged. Figure 6 gives the time dependences of the mean critical stresses obtained in the base and perturbed calculations for loading 1 (quasi-uniaxial compression along RD) at .
Figure 6.
Time dependence of and for loading 1 (quasi-uniaxial compression along RD) at .
The perturbations just described can be associated with, for example, local temperature fluctuations observed in the material. The dissipation of vibrations can increase or decrease the current value of critical stresses, yet the hardening (acquired during this period) induced by the interactions between the dislocations of the considered slip system and the forest dislocations is still left.
We also investigate the influence of parameter perturbations on the response of the parameter m (the strain rate sensitivity exponent with respect to slip mode) in (8b) and (hardening law parameters in relations (10), (11)). Components 2 and 3 of the vector refer to these parameters. In the context of the definition of stability used in this study, we consider the stability with respect to perturbations in operator parameters. The perturbation is realized similarly to that of the influence vector components (Section 4.2.1).
Thus, the vector of operator parameters, which can undergo a perturbation, is represented as , where K, N denote the doubled number of slip systems in a grain and the number of grains, and , , are the values of initial critical stress, the parameter for the basic slip system, and the parameter m in the base calculation. A norm for the parameters of the operator is determined by using the Riemann integral []:
where is the space of piecewise continuous vector functions of dimension S at [], S is the number of perturbed operator parameters; in the calculation, is utilized.
Along with separate perturbations, we also consider a combination of perturbations (several or possibly all).
4.3. The Schedule of Numerical Experiments Studying the Behavior of Base Solutions in the Presence of Perturbations
In our numerical experiments, for the joint perturbation of parameters, the ranges of relative perturbation of parameters are taken to be equal to , which allows us to use the same designation δ in all cases under study. It should be noted that the same value of δ is accepted in the paper, since it is rather difficult to estimate perturbations of the considered parameters in real processes, so we took the values of δ, which, in our opinion, are close to the estimated maximum possible perturbations of the mentioned parameters.
For each base loading out of the three described above, the following experiments with different ranges of relative perturbation of parameters δ are considered (Table 2).
Table 2.
Schedule of experiments.
Table designations are as follows: 0—no parameter perturbation, 1—parameter perturbation occurs at the initial instant of time according to the uniform distribution law and remains unchanged throughout the entire process , 2 (for , )—parameter perturbation with random burst starting from the tabled instant of time , 3 (for , )—parameter perturbation with sequential bursts over the entire time interval .
Table 2 includes some possible variants of the CM parameter perturbations, the investigation of which requires appropriate time and computational costs, but, at the same time, the amount of results is sufficient to demonstrate the validity of the methodology proposed.
4.4. Realization of Numerical Experiments
For each experiment from the schedule given in Table 2 and at each loading mode specified in Section 4.1, 3 series of calculations were (each contains 50 realizations) referred to , and performed.
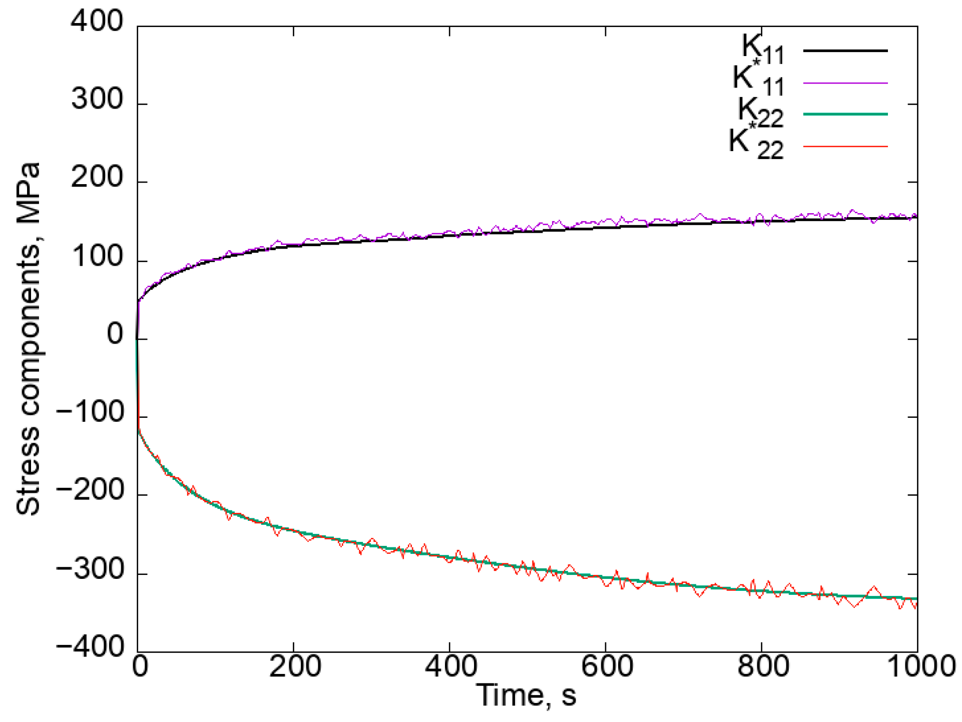
Figure 7 presents the time dependences of the macrostress components constructed using the results of base and perturbed calculations for experiment 12 (with joint perturbation of components L and critical shear stresses by successive bursts in the entire time interval ) at load 1 (quasi-uniaxial compression along RD) (Table 2) at . The curves illustrate the deviations of the solutions caused by parameter perturbations.
Figure 7.
Time dependences of the macrostress components for experiment 12 (with joint perturbation of components L and critical shear stresses by successive bursts in the entire time interval ) during implementation of load 1 (quasi-uniaxial compression along RD) at .
Figure 7 shows that the perturbed values of stress components are close to the base values in the considered range of perturbations. Moreover, the pole figures obtained during the base calculation and the calculation with perturbations are visually almost the same.
Figure 8 gives the time dependences of the macrostress components constructed using the results of the base and perturbed calculations for experiment 3 (with perturbation of critical shear stresses at the initial instant of time) during implementation of load 3 (complex loading along the medium curvature strain path) (Table 2) at .
Figure 8.
Time dependences of (a) diagonal, (b) nondiagonal macrostress tensor components for experiment 3 (with perturbation of critical shear stresses at the initial instant of time) during implementation of load 3 (complex loading along the medium curvature strain path) at .
It is seen (Figure 8) that the deviation of stress component values obtained in the calculation with perturbations from those found in the base calculation is noticeable. This can be explained as follows. In the experiment, at the initial instant of time, there are perturbations of the initial values of critical shear stresses, which define the initial yield surface (YS). For these perturbations, the initial YS size changes (since the values of critical stresses for all slip systems in crystallites change in the same way), which causes differences in the output of the stress in the stress space on it (the same influences are considered) and, consequently, differences in the values of stress components. Thus, the response deviation induced by perturbations at the initial instant of time is accumulated during deformation. For the burst-driven perturbations of critical shear stresses, at all instants of time (at equal to 3), one can observe the effect at which the stress components in the perturbation calculations can (due to the perturbations driven by alternate bursts) periodically return to the values determined in the base calculation.
It is interesting that the strain path along which the loading is implemented also contributes to the significant deviation of stress components; no such great deviation is observed for radial deformation (including quasi-uniaxial compression and tension) paths. This can be assigned to the fact that, for the medium curvature strain path, the direction of stress motion in the stress space on YS changes rather noticeably. Due to the initial perturbations introduced, the direction of stress motion in the stress space obtained in the perturbation calculation demonstrates a more significant deviation from the trajectory found in the base calculation compared to radial loading.
In the calculations, the relative values of the following norms were determined []:
- -
- deviations of the history of influences ;
- -
- deviations of initial conditions for the solution ;
- -
- deviations of initial conditions for internal variables ;
- -
- deviations of operator parameters , the norm was determined using (6), (13);
- -
- deviations of the solution .
According to the criterion presented in Section 2, the base solution will be stable if, for any , there are such δ neighborhoods of initial conditions, influences, and operator parameters that (on finding the corresponding perturbed characteristics in them) the perturbed solutions established in terms of the model will be located in the neighborhood of the base solution. To assess the stability of the model, it is necessary to consider the stability of a solution at different values of the parameters included in the initial conditions, influences, and operator.
4.5. Analysis of the Fulfillment of Stability Conditions for Every Considered Base Solution Based on the Totality of Calculated Data
Table 3 presents relative estimates for the norms , , , , , obtained during the numerical experiments for load 3 (complex loading along the medium curvature strain path). The designation ‘–’ is used for parameters that are unperturbed in the considered experiment.
Table 3.
Numerical estimates for relative norms at different parameters of the relative perturbation δ for load 3 (complex loading along the medium curvature strain path).
Table 4 contains estimates for mean and standard deviations of relative norms of the response (solution) deviation for different perturbation ranges.
Table 4.
Mean and standard deviations of relative norms of the response deviation .
As can be seen from Table 3 and Table 4, for the component of the vector B equal to 1, the perturbed parameter remains changed during the whole deformation process, which yields a deviation norm greater than that observed at burst-driven perturbations (at equal relative perturbation δ).
Note that, for experiments 1 (with perturbation of the component at the initial instant of time) and 6 (with perturbations of all components of the vector B at the initial instant of time), the norm of deviation of influences is equal to zero, because the base values of components of the velocity gradient at the initial instant of time are equal to zero as well.
The results summarized in Table 3 can be represented as the dependences of the norm of relative deviation of the response on the norms of relative deviation of other parameters (inputs, operator) for each experiment. For instance, Figure 9 shows the dependence of the norm of relative deviation of the response on the norm of relative deviation of the history of influences and the norm of relative deviation of operator for experiment 12 (with joint perturbation of the component L and critical shear stresses induced by sequential bursts in the entire time interval, ) at load 3 (complex loading along the medium curvature strain path). The direction of the arrows indicates the fact of decreasing norms.
Figure 9.
vs. (a) , (b) for experiment 12 (with joint perturbation of the component L and critical shear stresses induced by sequential bursts in the entire time interval ) at load 3 (complex loading along the medium curvature strain path).
Based on the results of the study, we can conclude that the model of interest demonstrates a noticeable sensitivity to the perturbations of kinematic influences and critical shear stresses, which necessitates careful consideration of geometric nonlinearity and formulation of hardening laws (kinetic equations for critical stresses). The joint perturbation of parameters yields, on average, the greater deviation of the response.
In the context of stability analysis, the main conclusion drawn from the above results is that, at small perturbations of the model parameters (inputs, operator), one can observe small deviations of the response, which, according to the criterion introduced, indicates the CM stability. When the range of parameter perturbations reduces, the values of all relative norms decrease, i.e., with a decrease in the norms of influences and operators, the norm of the response also decreases. This demonstrates that the constitutive model is stable under considered perturbations. The obtained results indicate the stability of the proposed model in terms of the definition introduced in Section 2 (no cases of instability not justified from the viewpoint of the physics of the process were identified []), which makes possible the use of the model for describing thermomechanical treatment processes.
It should be noted that the above data are the results of the sensitivity analysis of separate parameters and their combinations. The practical application of the previously developed method [] to the numerical stability analysis revealed that both the two-level constitutive model of the FCC-polycrystal (the IDS and rotation of crystallites are considered) [] and the two-level constitutive model of the HCP-polycrystal (IDS, crystallite lattice rotation, and twinning are considered) are stable. In this case, very diverse perturbations of different types (initial conditions, influences, operators) were analyzed. Obviously, the structure of the considered CMs must contain the reason behind their stability; this statement will be discussed below.
4.6. Analytical Causes of the CM Stability
One of the factors enabling us to analytically substantiate the stability of statistical CMs is that the IVs of some crystallites are independent of each other. For simplicity, we restrict ourselves to the consideration of IDS because the relationships for twinning are of the same structure, and the conclusions obtained are also valid for the CM, which takes into account twinning.
We use the Lyapunov first method (first approximation) for analysis and consider the mesolevel relationships for the perturbed solution (where the base solution, which satisfies the CM, is the solution perturbation) from the observer position in the MCS []. The observer rotates with a spin , and the elastic stiffness tensor components and the crystallographic directions for all slip systems are constant. Thus, we have
where only active SS are summarized.
We suppose that some of the possible parameter perturbations CM are the reason that, at the current instant of time , there occurs a deviation from the unperturbed solution for this time moment. Hence, it is necessary to find out whether would decay with time.
To this end, we decompose , m—integer into a Maclaurin (Taylor) series in a neighborhood of :
Leaving in (14) only two first terms from (15) and excluding the relationship of type (14) for the base solution , we get the relationship for the perturbation :
where only active SS are summarized.
We consider the perturbations of . For the observer in the MCS from (16), we have
Relationships (17) represent the Lyapunov first approximation system.
Let (17) take the form.
where the coefficients of the first approximation matrix are given as
where , , it is readily seen that .
Analyzing the matrix , we estimate the tendency of solutions to acquire stability.
Let us note that, if there are no active SS, a perturbation remains unchanged. This situation is typical of pure elasticity.
From (19), it follows that the perturbations of shear stresses are dependent only on active SS. Therefore, it is reasonable to analyze at first the entire set of mutually influencing active SS and then—that of inactive SS.
For a single SS, we get the equation
from which, taking into account the positivity and , the tendency of the perturbation towards decaying, follows.
In the general case, certainly depends on time, and therefore we should talk here specifically about the tendency (it is reasonable enough to suggest that changes only slightly over the short time intervals). Generally speaking, a stability criterion for the scalar viscoplastic relationship (for one ideally oriented slip system) seems to be the basis for the manifested stability of three-dimensional CMs.
For two and more active SS, all eigenvalues of the matrix should be analyzed. In particular, in the case of three active SS (e.g., denoted by p, q, r), we get the first approximation matrix:
The characteristic equation for the eigenvalues of the matrix :
The results of the numerical calculations performed to determine the coefficients defined in (22) for any sets of three active systems of HCP-crystallites (even for the randomly oriented perpendicular , !) confirm that all the coefficients of the polynomial in the left-hand side of (22) are always negative, which implies that all eigenvalues are also negative, i.e., there arises stability in the first approximation [,]. Similar calculations were carried out for cases 2 and 4 of active slip systems; there is no doubt that this result can be generalized to a larger number of active SS.
For inactive slip systems, we have
where, with the consideration of the above decaying for active SS, the tendency towards decaying comes from.
Thus, the analytical approach based on the Lyapunov first method demonstrated a tendency of the CM towards stability (predicted in numerical calculations!). From a physical point of view, this can be explained by the fact that an increase in the shear stress on a SS under stress perturbation leads to an increase in the shear rate across that SS, which in turn leads to a decrease in stress, and vice versa.
In the above analysis, only the main reason behind stability is indicated—the structure of the viscoplastic constitutive relation based on the modified Hutchinson Equation (8b). The explicitness of the calculations was guaranteed by the approach separating the motion of the moving coordinate system []. The rotation of this coordinate system is determined by the lattice spin model, and the stability of the CM should indeed be conditioned by the spin model as well. For all physically based spin models (in particular Taylor models), the spin is determined by shear rates and kinematic influences. Therefore, if the relationships for determining the shear rates are stable, it is logical to expect stability of the spin. The whole experience of using popular crystal plasticity models indeed points to their stability. Meanwhile, the considered mesolevel relationships are the basis for both self-consistent crystal plasticity models and crystal plasticity direct models, which has a positive effect on their “general” stability. Today, there are extended statistical CMs, in which the interactions of dislocations of adjacent crystallites can be taken into account when determining the evolution of critical stresses [] or describing recrystallization []. To analyze the stability of these models, the equations should be considered in combination with the arguments that are given for the general case in the introduction of this article. The impact of the identified stability of individual mesolevel relationships will be positive in this case too.
The previously proposed numerical CM stability assessment method [], the results of its application described in [] and in this article, and the above analytical techniques justifying the CM stability belong to the authors’ cycle of research devoted to the study of base crystal plasticity relations. Within this research, the relationships have been developed for the mesolevel model with an explicit separation of a moving coordinate system and the elastic distortion of crystallites relative to it in the deformation gradient [,,]. These relationships were compared with the commonly used formulations, and this made it possible to determine how close they are to each other.
The results of analytical calculations and many numerical experiments demonstrated the equivalence or similarity (in terms of the response determined under the same influences) of the formulations obtained []. On the other hand, the formulation, which is based on the decomposition of motion with an explicit identification of the motion of a moving coordinate system, provided a theoretically justified transition to the formulation in rate form written in an actual configuration []. The latter is a preferred formulation for finding numerical solutions to the boundary value problems (assuming that the current configuration, and consequently, contact boundaries are not known a priori) used to model numerous thermomechanical treatment processes. In addition, the proximity of the proposed in the above formulation and typical mesolevel spins was shown [], a correct description using simple models of complex loading was given []. The totality of the results suggests that the proposed model and all standard crystal plasticity models form a proper basis for constructing advanced CMs capable of describing the thermomechanical treatment processes during which multiple inelastic deformation mechanisms operate and act upon each other.
5. Conclusions
The numerical stability assessment method previously developed by the authors [] was applied to the two-level statistical constitutive model of the alpha-titanium HCP-polycrystal. The method is based on the consideration of perturbations of the initial conditions, the history of influences, an operator, and the determination of the norm of deviation of the resulting perturbed solutions from the base ones. The results confirmed the stability of a constitutive model.
The earlier application of this method gave results indicating the stability of the two-level constitutive model used to describe the deformation of the FCC-polycrystal [], and hence it became evident that the structure of the considered CMs must involve the reason behind their stability. This is motivation to undertake a study aimed at finding an analytical justification for the numerical results obtained. Analysis of the results performed using the Lyapunov first method revealed that the constitutive model based on the modified Hutchinson viscoplastic relation for intragranular inelastic deformation tends to be stable.
To sum up, the results obtained in this work demonstrated the stability of the constitutive models based on the viscoplastic relationship and the applicability of these models for describing thermomechanical treatment processes.
Author Contributions
Conceptualization, A.S., P.T. and K.R.; methodology, A.S., P.T. and K.R.; software, K.R.; validation, K.R. and A.S.; formal analysis, K.R. and A.S.; investigation, K.R. and A.S.; data curation, A.S. and K.R.; writing—original draft preparation, A.S. and K.R.; writing—review and editing, A.S., P.T. and K.R.; visualization, K.R.; supervision, P.T.; project administration, A.S.; funding acquisition, A.S., P.T. and K.R. All authors have read and agreed to the published version of the manuscript.
Funding
The study was carried out with financial support from the Ministry of Education and Science of the Russian Federation as part of the implementation of the national project “Science and Universities” (the state task fulfillment in the laboratory of multilevel structural and functional materials modeling, project no. FSNM-2024-0002).
Data Availability Statement
The raw data supporting the conclusions of this article will be made available by the authors on request.
Conflicts of Interest
The authors declare no conflict of interest.
References
- Diehl, M. Review and Outlook: Mechanical, Thermodynamic, and Kinetic Continuum Modeling of Metallic Materials at the Grain Scale. MRS Commun. 2017, 7, 735–746. [Google Scholar] [CrossRef]
- Beyerlein, I.J.; Knezevic, M. Review of Microstructure and Micromechanism-Based Constitutive Modeling of Polycrystals with a Low-Symmetry Crystal Structure. J. Mater. Res. 2018, 33, 3711–3738. [Google Scholar] [CrossRef]
- Knezevic, M.; Beyerlein, I.J. Multiscale Modeling of Microstructure-Property Relationships of Polycrystalline Metals during Thermo-Mechanical Deformation. Adv. Eng. Mater. 2018, 20, 1700956. [Google Scholar] [CrossRef]
- Roters, F.; Diehl, M.; Shanthraj, P.; Eisenlohr, P.; Reuber, C.; Wong, S.L.; Maiti, T.; Ebrahimi, A.; Hochrainer, T.; Fabritius, H.-O.; et al. DAMASK—The Düsseldorf Advanced Material Simulation Kit for Modeling Multi-Physics Crystal Plasticity, Thermal, and Damage Phenomena from the Single Crystal up to the Component Scale. Comput. Mater. Sci. 2019, 158, 420–478. [Google Scholar] [CrossRef]
- Trusov, P.V.; Shveykin, A.I.; Kondratyev, N.S.; Yants, A.Y. Multilevel Models in Physical Mesomechanics of Metals and Alloys: Results and Prospects. Phys. Mesomech. 2021, 24, 391–417. [Google Scholar] [CrossRef]
- Horstemeyer, M.F.; Bammann, D.J. Historical Review of Internal State Variable Theory for Inelasticity. Int. J. Plast. 2010, 26, 1310–1334. [Google Scholar] [CrossRef]
- Trusov, P.V.; Ashikhmin, V.N.; Volegov, P.S.; Shveykin, A.I. Constitutive Relations and Their Application to the Description of Microstructure Evolution. Phys. Mesomech. 2010, 13, 38–46. [Google Scholar] [CrossRef]
- Maugin, G.A. The Saga of Internal Variables of State in Continuum Thermo-Mechanics (1893–2013). Mech. Res. Commun. 2015, 69, 79–86. [Google Scholar] [CrossRef]
- Trusov, P.V. Classical and Multi-Level Constitutive Models for Describing the Behavior of Metals and Alloys: Problems and Prospects (as a Matter for Discussion). Mech. Solids 2021, 56, 55–64. [Google Scholar] [CrossRef]
- Bender, E.A. An Introduction to Mathematical Modeling; Dover: New York, NY, USA, 2000; ISBN 0-486-41180-X. [Google Scholar]
- Edwards, D.; Hamson, M. Guide to Mathematical Modelling, 2nd ed.; Industrial Press, Inc.: New York, NY, USA, 2007; ISBN 978-0-8311-3337-5. [Google Scholar]
- Pannell, D.J. Sensitivity Analysis of Normative Economic Models: Theoretical Framework and Practical Strategies. Agric. Econ. 1997, 16, 139–152. [Google Scholar] [CrossRef]
- Razavi, S.; Jakeman, A.; Saltelli, A.; Prieur, C.; Iooss, B.; Borgonovo, E.; Plischke, E.; Lo Piano, S.; Iwanaga, T.; Becker, W.; et al. The Future of Sensitivity Analysis: An Essential Discipline for Systems Modeling and Policy Support. Environ. Model. Softw. 2021, 137, 104954. [Google Scholar] [CrossRef]
- Ferretti, F.; Saltelli, A.; Tarantola, S. Trends in Sensitivity Analysis Practice in the Last Decade. Sci. Total Environ. 2016, 568, 666–670. [Google Scholar] [CrossRef] [PubMed]
- Saltelli, A.; Jakeman, A.; Razavi, S.; Wu, Q. Sensitivity Analysis: A Discipline Coming of Age. Environ. Model. Softw. 2021, 146, 105226. [Google Scholar] [CrossRef]
- Sobol′, I.M. Sensitivity Analysis for Non-Linear Mathematical Models. Math. Model. Comput. Exp. 1993, 1, 112–118. [Google Scholar]
- Sobol′, I.M. Global Sensitivity Indices for Nonlinear Mathematical Models and Their Monte Carlo Estimates. Math. Comput. Simul. 2001, 55, 271–280. [Google Scholar] [CrossRef]
- Saltelli, A.; Ratto, M.; Tarantola, S.; Campolongo, F. Sensitivity Analysis Practices: Strategies for Model-Based Inference. Reliab. Eng. Syst. Saf. 2006, 91, 1109–1125. [Google Scholar] [CrossRef]
- Saltelli, A.; Ratto, M.; Andres, T.; Campolongo, F.; Cariboni, J.; Gatelli, D.; Saisana, M.; Tarantola, S. Global Sensitivity Analysis. The Primer; John Wiley & Sons Ltd.: Chichester, UK, 2008. [Google Scholar]
- Becker, W. Metafunctions for Benchmarking in Sensitivity Analysis. Reliab. Eng. Syst. Saf. 2020, 204, 107189. [Google Scholar] [CrossRef]
- Azzini, I.; Mara, T.A.; Rosati, R. Comparison of Two Sets of Monte Carlo Estimators of Sobol’ Indices. Environ. Model. Softw. 2021, 144, 105167. [Google Scholar] [CrossRef]
- Wagener, T.; Pianosi, F. What Has Global Sensitivity Analysis Ever Done for Us? A Systematic Review to Support Scientific Advancement and to Inform Policy-Making in Earth System Modelling. Earth-Sci. Rev. 2019, 194, 1–18. [Google Scholar] [CrossRef]
- Koo, H.; Chen, M.; Jakeman, A.J.; Zhang, F. A Global Sensitivity Analysis Approach for Identifying Critical Sources of Uncertainty in Non-Identifiable, Spatially Distributed Environmental Models: A Holistic Analysis Applied to SWAT for Input Datasets and Model Parameters. Environ. Model. Softw. 2020, 127, 104676. [Google Scholar] [CrossRef]
- Koo, H.; Iwanaga, T.; Croke, B.F.W.; Jakeman, A.J.; Yang, J.; Wang, H.-H.; Sun, X.; Lü, G.; Li, X.; Yue, T.; et al. Position Paper: Sensitivity Analysis of Spatially Distributed Environmental Models- a Pragmatic Framework for the Exploration of Uncertainty Sources. Environ. Model. Softw. 2020, 134, 104857. [Google Scholar] [CrossRef]
- Puy, A.; Lo Piano, S.; Saltelli, A. Current Models Underestimate Future Irrigated Areas. Geophys. Res. Lett. 2020, 47, e2020GL087360. [Google Scholar] [CrossRef]
- Haghnegahdar, A.; Razavi, S. Insights into Sensitivity Analysis of Earth and Environmental Systems Models: On the Impact of Parameter Perturbation Scale. Environ. Model. Softw. 2017, 95, 115–131. [Google Scholar] [CrossRef]
- Tansar, H.; Duan, H.-F.; Mark, O. Global Sensitivity Analysis of Bioretention Cell Design for Stormwater System: A Comparison of VARS Framework and Sobol Method. J. Hydrol. 2023, 617, 128895. [Google Scholar] [CrossRef]
- Wang, H.; Zhao, Y.; Fu, W. Utilizing the Sobol’ Sensitivity Analysis Method to Address the Multi-Objective Operation Model of Reservoirs. Water 2023, 15, 3795. [Google Scholar] [CrossRef]
- Boukouvala, F.; Niotis, V.; Ramachandran, R.; Muzzio, F.J.; Ierapetritou, M.G. An Integrated Approach for Dynamic Flowsheet Modeling and Sensitivity Analysis of a Continuous Tablet Manufacturing Process. Comput. Chem. Eng. 2012, 42, 30–47. [Google Scholar] [CrossRef]
- Becker, W.; Rowson, J.; Oakley, J.E.; Yoxall, A.; Manson, G.; Worden, K. Bayesian Sensitivity Analysis of a Model of the Aortic Valve. J. Biomech. 2011, 44, 1499–1506. [Google Scholar] [CrossRef] [PubMed]
- Römer, U.; Liu, J.; Böl, M. Surrogate-Based Bayesian Calibration of Biomechanical Models with Isotropic Material Behavior. Int. J. Numer. Methods Biomed. Eng. 2022, 38, e3575. [Google Scholar] [CrossRef] [PubMed]
- Guo, L.; Meng, Z.; Sun, Y.; Wang, L. Parameter Identification and Sensitivity Analysis of Solar Cell Models with Cat Swarm Optimization Algorithm. Energy Convers. Manag. 2016, 108, 520–528. [Google Scholar] [CrossRef]
- Wu, H.; Niu, W.; Wang, S.; Yan, S. Sensitivity Analysis of Control Parameters Errors and Current Parameters to Motion Accuracy of Underwater Glider Using Sobol’ Method. Appl. Ocean. Res. 2021, 110, 102625. [Google Scholar] [CrossRef]
- Burgess, S.; Bowden, J.; Fall, T.; Ingelsson, E.; Thompson, S.G. Sensitivity Analyses for Robust Causal Inference from Mendelian Randomization Analyses with Multiple Genetic Variants. Epidemiology 2017, 28, 30–42. [Google Scholar] [CrossRef]
- VanderWeele, T.J.; Ding, P. Sensitivity Analysis in Observational Research: Introducing the E-Value. Ann. Intern. Med. 2017, 167, 268–274. [Google Scholar] [CrossRef] [PubMed]
- Langstaff, J.; Glen, G.; Holder, C.; Graham, S.; Isaacs, K. A Sensitivity Analysis of a Human Exposure Model Using the Sobol Method. Stoch. Environ. Res. Risk Assess. 2022, 36, 3945–3960. [Google Scholar] [CrossRef]
- Kleiber, M.; Hien, T.D.; Postek, E. Incremental Finite Element Sensitivity Analysis for Non-Linear Mechanics Applications. Int. J. Numer. Methods Eng. 1994, 37, 3291–3308. [Google Scholar] [CrossRef]
- Gutiérrez, M.A.; De Borst, R. Simulation of Size-Effect Behaviour through Sensitivity Analyses. Eng. Fract. Mech. 2003, 70, 2269–2279. [Google Scholar] [CrossRef]
- Khaledi, K.; Mahmoudi, E.; Datcheva, M.; König, D.; Schanz, T. Sensitivity Analysis and Parameter Identification of a Time Dependent Constitutive Model for Rock Salt. J. Comput. Appl. Math. 2016, 293, 128–138. [Google Scholar] [CrossRef]
- Yang, Z.; Elgamal, A. Application of Unconstrained Optimization and Sensitivity Analysis to Calibration of a Soil Constitutive Model. Int. J. Numer. Anal. Methods Geomech. 2003, 27, 1277–1297. [Google Scholar] [CrossRef]
- Qu, J.; Xu, B.; Jin, Q. Parameter Identification Method of Large Macro-Micro Coupled Constitutive Models Based on Identifiability Analysis. CMC 2010, 20, 119–158. [Google Scholar] [CrossRef]
- Shutov, A.V.; Kaygorodtseva, A.A. Parameter Identification in Elasto-Plasticity: Distance between Parameters and Impact of Measurement Errors. ZAMM—J. Appl. Math. Mech./Z. Für Angew. Math. Und Mech. 2019, 99, e201800340. [Google Scholar] [CrossRef]
- Kotha, S.; Ozturk, D.; Ghosh, S. Uncertainty-Quantified Parametrically Homogenized Constitutive Models (UQ-PHCMs) for Dual-Phase α/β Titanium Alloys. NPJ Comput. Mater. 2020, 6, 117. [Google Scholar] [CrossRef]
- Kotha, S.; Ozturk, D.; Smarslok, B.; Ghosh, S. Uncertainty Quantified Parametrically Homogenized Constitutive Models for Microstructure-Integrated Structural Simulations. Integr. Mater. Manuf. Innov. 2020, 9, 322–338. [Google Scholar] [CrossRef]
- Shveykin, A.I.; Trusov, P.V.; Romanov, K.A. An approach to numerical estimating the stability of multilevel constitutive models. Comput. Contin. Mech. 2021, 14, 61–76. [Google Scholar] [CrossRef]
- Lyapunov, A.M. The General Problem of the Stability of Motion. Int. J. Control 1992, 55, 531–534. [Google Scholar] [CrossRef]
- Chetaev, N.G. The Stability of Motion; Pergamon Press: New York, NY, USA, 1961. [Google Scholar]
- Demidovich, B.P. Lectures on Mathematical Theory of Stability; Nauka: Moscow, Russia, 1967. [Google Scholar]
- Precup, R.-E.; Tomescu, M.; Preitl, Ș. Fuzzy Logic Control System Stability Analysis Based on Lyapunov’s Direct Method. Int. J. Comput. Commun. Control 2009, 4, 415–426. [Google Scholar] [CrossRef]
- Li, Y.; Chen, Y.; Podlubny, I. Stability of Fractional-Order Nonlinear Dynamic Systems: Lyapunov Direct Method and Generalized Mittag–Leffler Stability. Comput. Math. Appl. 2010, 59, 1810–1821. [Google Scholar] [CrossRef]
- Aguila-Camacho, N.; Duarte-Mermoud, M.A.; Gallegos, J.A. Lyapunov Functions for Fractional Order Systems. Commun. Nonlinear Sci. Numer. Simul. 2014, 19, 2951–2957. [Google Scholar] [CrossRef]
- Parsamanesh, M.; Erfanian, M. Global Dynamics of an Epidemic Model with Standard Incidence Rate and Vaccination Strategy. Chaos Solitons Fractals 2018, 117, 192–199. [Google Scholar] [CrossRef]
- Elazzouzi, A.; Alaoui, A.L.; Tilioua, M.; Torres, D.F.M. Analysis of a SIRI Epidemic Model with Distributed Delay and Relapse. Stat. Optim. Inf. Comput. 2019, 7, 545–557. [Google Scholar] [CrossRef]
- Li, B.; Qin, C.; Wang, X. Analysis of an SIRS Epidemic Model with Nonlinear Incidence and Vaccination. Commun. Math. Biol. Neurosci. 2020, 2020, A4262. [Google Scholar] [CrossRef]
- Jiang, T.; Liu, J.; He, W. Adaptive Boundary Control for a Flexible Manipulator with State Constraints Using a Barrier Lyapunov Function. J. Dyn. Syst. Meas. Control 2018, 140, 081018. [Google Scholar] [CrossRef]
- Bergé, P.; Pomeau, Y.; Vidal, C. Order within Chaos: Towards a Deterministic Approach to Turbulence; Wiley: New York, NY, USA, 1986; ISBN 978-0-471-84967-4. [Google Scholar]
- Khalil, H.K. Nonlinear Systems; Prentice Hall: New York, NY, USA, 2002; ISBN 978-0-13-067389-3. [Google Scholar]
- Trusov, P.V.; Shveykin, A.I. Multilevel Crystal Plasticity Models of Single- and Polycrystals. Statistical Models. Phys. Mesomech. 2013, 16, 23–33. [Google Scholar] [CrossRef]
- Vorotnikov, V.I.; Rumyantsev, V.V. Fundamentals of Partial Stability and Control Theory: [Textbook]; Ural University Press: Nizhny Tagil, Germany, 2014; ISBN 978-5-9544-0066-3. [Google Scholar]
- Sontag, E.; Wang, Y. A Notion of Input to Output Stability. In Proceedings of the 1997 European Control Conference (ECC), Brussels, Belgium, 1–7 July 1997; pp. 3862–3867. [Google Scholar]
- Sontag, E.D.; Wang, Y. Notions of Input to Output Stability. Syst. Control Lett. 1999, 38, 235–248. [Google Scholar] [CrossRef]
- Rogers, E.; Galkowski, K.; Owens, D. Control Systems Theory and Applications for Linear Repetitive Processes; Lecture Notes in Control and Information Sciences; Springer: Berlin/Heidelberg, Germany, 2007; Volume 349, ISBN 978-3-540-42663-9. [Google Scholar]
- Jammazi, C. Some Results on Finite-Time Stabilizability: Application to Triangular Control Systems. IMA J. Math. Control Inf. 2018, 35, 877–899. [Google Scholar] [CrossRef]
- Jammazi, C.; Zaghdoudi, M.; Boutayeb, M. On the Global Polynomial Stabilization of Nonlinear Dynamical Systems. Nonlinear Anal. Real World Appl. 2019, 46, 29–42. [Google Scholar] [CrossRef]
- Shafiei, M.H.; Binazadeh, T. Partial Control Design for Nonlinear Control Systems. Nonlinear Dyn. Syst. Theory 2012, 12, 269–277. [Google Scholar]
- Najib, H.; Ouzahra, M. Finite-Time Stabilization of Some Classes of Infinite Dimensional Systems. In Proceedings of the Control and Inverse Problems; Ammari, K., Jammazi, C., Triki, F., Eds.; Springer Nature: Cham, Switzerland, 2023; pp. 201–216. [Google Scholar]
- Najib, H.; Ouzahra, M. Output Finite-Time Stabilisation of a Class of Linear and Bilinear Control Systems. Int. J. Control 2023, 97, 690–700. [Google Scholar] [CrossRef]
- Shveykin, A.I.; Trusov, P.V.; Romanov, K.A. Some results of a numerical estimating of the stability of the FCC metal two-level constitutive model. Comput. Contin. Mech. 2021, 14, 127–143. [Google Scholar] [CrossRef]
- Bigoni, D.; Hueckel, T. Uniqueness and Localization—I. Associative and Non-Associative Elastoplasticity. Int. J. Solids Struct. 1991, 28, 197–213. [Google Scholar] [CrossRef]
- Bigoni, D.; Hueckel, T. Uniqueness and Localization—II. Coupled Elastoplasticity. Int. J. Solids Struct. 1991, 28, 215–224. [Google Scholar] [CrossRef]
- Petryk, H. (Ed.) Material Instabilities in Elastic and Plastic Solids; CISM International Centre for Mechanical Sciences; Springer: Vienna, Austria, 2000; Volume 414, ISBN 978-3-211-83328-5. [Google Scholar]
- Zhang, K.; Holmedal, B.; Hopperstad, O.S.; Dumoulin, S.; Gawad, J.; Van Bael, A.; Van Houtte, P. Multi-Level Modelling of Mechanical Anisotropy of Commercial Pure Aluminium Plate: Crystal Plasticity Models, Advanced Yield Functions and Parameter Identification. Int. J. Plast. 2015, 66, 3–30. [Google Scholar] [CrossRef]
- Kobaissy, A.H.; Ayoub, G.; Toth, L.S.; Mustapha, S.; Shehadeh, M. Continuum Dislocation Dynamics-Based Grain Fragmentation Modeling. Int. J. Plast. 2019, 114, 252–271. [Google Scholar] [CrossRef]
- Kobaissy, A.A.-H.; Ayoub, G.; Nasim, W.; Malik, J.; Karaman, I.; Shehadeh, M. Modeling of the ECAP Induced Strain Hardening Behavior in FCC Metals. Metall Mater. Trans. A 2020, 51, 5453–5474. [Google Scholar] [CrossRef]
- Connolly, D.S.; Kohar, C.P.; Inal, K. A Novel Crystal Plasticity Model Incorporating Transformation Induced Plasticity for a Wide Range of Strain Rates and Temperatures. Int. J. Plast. 2022, 152, 103188. [Google Scholar] [CrossRef]
- Duchêne, L.; Habraken, A.; Chinesta, F.; Cueto, E. Multiscale Approaches. In Advances in Material Forming: Esaform 10 Years on; Springer: Paris, France, 2007; pp. 125–141. ISBN 978-2-287-72142-7. [Google Scholar]
- Lebensohn, R.A.; Castañeda, P.P.; Brenner, R.; Castelnau, O. Full-Field vs. Homogenization Methods to Predict Microstructure–Property Relations for Polycrystalline Materials. In Computational Methods for Microstructure-Property Relationships; Ghosh, S., Dimiduk, D., Eds.; Springer: Boston, MA, USA, 2011; pp. 393–441. ISBN 978-1-4419-0643-4. [Google Scholar]
- Trusov, P.; Shveykin, A.; Kondratev, N. Some Issues on Crystal Plasticity Models Formulation: Motion Decomposition and Constitutive Law Variants. Crystals 2021, 11, 1392. [Google Scholar] [CrossRef]
- Trenogin, V.A. Functional Analysis; Nauka: Moscow, Russia, 1980. [Google Scholar]
- Lyapunov, A.M. The General Problem of Stability of Motion; State Publishing House of Technical and Theoretical Literature: Moscow, Russia, 1950. [Google Scholar]
- Cesari, L. Asymptotic Behavior and Stability Problems in Ordinary Differential Equations; Springer: Berlin/Heidelberg, Germany, 1971; ISBN 978-3-642-85673-0. [Google Scholar]
- Barbashin, E.A. Introduction to Stability Theory; Nauka: Moscow, Russia, 1967. [Google Scholar]
- Sontag, E.; Wang, Y. Lyapunov Characterizations of Input to Output Stability. SIAM J. Control Optim. 2000, 39, 226–249. [Google Scholar] [CrossRef]
- Van Houtte, P. Simulation of the Rolling and Shear Texture of Brass by the Taylor Theory Adapted for Mechanical Twinning. Acta Metall. 1978, 26, 591–604. [Google Scholar] [CrossRef]
- Staroselsky, A.; Anand, L. Inelastic Deformation of Polycrystalline Face Centered Cubic Materials by Slip and Twinning. J. Mech. Phys. Solids 1998, 46, 671–696. [Google Scholar] [CrossRef]
- Wu, X.; Kalidindi, S.R.; Necker, C.; Salem, A.A. Modeling Anisotropic Stress-Strain Response and Crystallographic Texture Evolution in α-Titanium during Large Plastic Deformation Using Taylor-Type Models: Influence of Initial Texture and Purity. Metall. Mater. Trans. A 2008, 39, 3046–3054. [Google Scholar] [CrossRef]
- Horstemeyer, M.F.; Potirniche, G.P.; Marin, E.B. Crystal Plasticity. In Handbook of Materials Modeling; Yip, S., Ed.; Springer: Dordrecht, The Netherlands, 2005; pp. 1133–1149. [Google Scholar]
- Anand, L. Single-Crystal Elasto-Viscoplasticity: Application to Texture Evolution in Polycrystalline Metals at Large Strains. Comput. Methods Appl. Mech. Eng. 2004, 193, 5359–5383. [Google Scholar] [CrossRef]
- Hama, T.; Kitamura, N.; Takuda, H. Effect of Twinning and Detwinning on Inelastic Behavior during Unloading in a Magnesium Alloy Sheet. Mater. Sci. Eng. A 2013, 583, 232–241. [Google Scholar] [CrossRef]
- Ma, C.; Wang, H.; Hama, T.; Guo, X.; Mao, X.; Wang, J.; Wu, P. Twinning and Detwinning Behaviors of Commercially Pure Titanium Sheets. Int. J. Plast. 2019, 121, 261–279. [Google Scholar] [CrossRef]
- Khadyko, M.; Dumoulin, S.; Cailletaud, G.; Hopperstad, O.S. Latent Hardening and Plastic Anisotropy Evolution in AA6060 Aluminium Alloy. Int. J. Plast. 2016, 76, 51–74. [Google Scholar] [CrossRef]
- Matsyuk, K.V.; Trusov, P.V. Model for Describing Elastic-Viscoplastic Deformation of HCP Crystals: Asymmetric Stress-Strain Measures, Hardening Laws. Bull. Perm Natl. Res. Polytech. Univ. Mech. 2013, 75–105. [Google Scholar] [CrossRef]
- Trusov, P.V.; Shveykin, A.I. Multilevel Models of Mono- and Polycrystalline Materials: Theory, Algorithms and Applied Examples; SB RAS Publ.: Novosibirsk, Russia, 2019; ISBN 978-5-7692-1661-9. [Google Scholar]
- Trusov, P.V.; Shveykin, A.I.; Kondratev, N.S. Multilevel Metal Models: Formulation for Large Displacement Gradients. NST 2017, 8, 133–166. [Google Scholar] [CrossRef]
- Hutchinson, J.W. Bounds and Self-Consistent Estimates for Creep of Polycrystalline Materials. Proc. R. Soc. Lond. A. Math. Phys. Sci. 1976, 348, 101–127. [Google Scholar] [CrossRef]
- Beyerlein, I.J.; Tomé, C.N. A Dislocation-Based Constitutive Law for Pure Zr Including Temperature Effects. Int. J. Plast. 2008, 24, 867–895. [Google Scholar] [CrossRef]
- Forest, S.; Rubin, M.B. A Rate-Independent Crystal Plasticity Model with a Smooth Elastic–Plastic Transition and No Slip Indeterminacy. Eur. J. Mech.—A/Solids 2016, 55, 278–288. [Google Scholar] [CrossRef]
- Shveykin, A.; Trusov, P.; Sharifullina, E. Statistical Crystal Plasticity Model Advanced for Grain Boundary Sliding Description. Crystals 2020, 10, 822. [Google Scholar] [CrossRef]
- Shveykin, A.I.; Vshivkova, A.A.; Trusov, P.V. Methods of Accounting for Temperature and Strain Rate Variation in Multilevel Constitutive Models of Metal Deformation (Analytical Review). Phys. Mesomech. 2023, 26, 27–48. [Google Scholar] [CrossRef]
- Van Houtte, P.; Li, S.; Seefeldt, M.; Delannay, L. Deformation Texture Prediction: From the Taylor Model to the Advanced Lamel Model. Int. J. Plast. 2005, 21, 589–624. [Google Scholar] [CrossRef]
- Trusov, P.V.; Shveykin, A.I. On Motion Decomposition and Constitutive Relations in Geometrically Nonlinear Elastoviscoplasticity of Crystallites. Phys. Mesomech. 2017, 20, 377–391. [Google Scholar] [CrossRef]
- Shveykin, A.I.; Trusov, P.V. Multilevel Models of Polycrystalline Metals: Comparison of Relations Describing the Crystallite Lattice Rotations. NST 2019, 10, 1–20. [Google Scholar] [CrossRef]
- Hama, T.; Kobuki, A.; Takuda, H. Crystal-Plasticity Finite-Element Analysis of Anisotropic Deformation Behavior in a Commercially Pure Titanium Grade 1 Sheet. Int. J. Plast. 2017, 91, 77–108. [Google Scholar] [CrossRef]
- Yi, N.; Hama, T.; Kobuki, A.; Fujimoto, H.; Takuda, H. Anisotropic Deformation Behavior under Various Strain Paths in Commercially Pure Titanium Grade 1 and Grade 2 Sheets. Mater. Sci. Eng. A 2016, 655, 70–85. [Google Scholar] [CrossRef]
- Marchenko, A.; Mazière, M.; Forest, S.; Strudel, J.-L. Crystal Plasticity Simulation of Strain Aging Phenomena in α-Titanium at Room Temperature. Int. J. Plast. 2016, 85, 1–33. [Google Scholar] [CrossRef]
- Kim, J.-Y.; Rokhlin, S.I. Determination of Elastic Constants of Generally Anisotropic Inclined Lamellar Structure Using Line-Focus Acoustic Microscopy. J. Acoust. Soc. Am. 2009, 126, 2998–3007. [Google Scholar] [CrossRef]
- Motyka, M.; Ziaja, W.; Sieniawsk, J. Titanium Alloys—Novel Aspects of Their Manufacturing and Processing; IntechOpen: Rzeszow, Poland, 2019; ISBN 978-1-83962-553-4. [Google Scholar]
- Wang, J.; Zecevic, M.; Knezevic, M.; Beyerlein, I.J. Polycrystal Plasticity Modeling for Load Reversals in Commercially Pure Titanium. Int. J. Plast. 2020, 125, 294–313. [Google Scholar] [CrossRef]
- Trusov, P.V.; Shveykin, A.I.; Nechaeva, E.S.; Volegov, P.S. Multilevel Models of Inelastic Deformation of Materials and Their Application for Description of Internal Structure Evolution. Phys. Mesomech. 2012, 15, 155–175. [Google Scholar] [CrossRef]
- Bronkhorst, C.A.; Kalidindi, S.R.; Anand, L. Polycrystalline Plasticity and the Evolution of Crystallographic Texture in FCC Metals. Phil. Trans. R. Soc. Lond. A 1992, 341, 443–477. [Google Scholar] [CrossRef]
- Zubchaninov, V.G.; Okhlopkov, N.L. Experimental Investigation of the Laws of Plastic Strain of Metals along Two-Dimensional Curvilinear Trajectories. Int. Appl. Mech. 1997, 33, 567–572. [Google Scholar] [CrossRef]
- Vasin, R.A. Theory of Elastoplastic Processes and Study of Structure-Mechanical Properties of Materials. Mech. Solids 2011, 46, 15–20. [Google Scholar] [CrossRef]
- Trusov, P.; Kondratev, N.; Podsedertsev, A. Description of Dynamic Recrystallization by Means of An Advanced Statistical Multilevel Model: Grain Structure Evolution Analysis. Crystals 2022, 12, 653. [Google Scholar] [CrossRef]
- Shveykin, A.I.; Trusov, P.V.; Kondratev, N.S. Multiplicative Representation of the Deformation Gradient Tensor in Geometrically Nonlinear Multilevel Constitutive Models. Lobachevskii J. Math. 2021, 42, 2047–2055. [Google Scholar] [CrossRef]
- Shveykin, A.; Romanov, K.; Trusov, P. Some Issues with Statistical Crystal Plasticity Models: Description of the Effects Triggered in FCC Crystals by Loading with Strain-Path Changes. Materials 2022, 15, 6586. [Google Scholar] [CrossRef] [PubMed]
Disclaimer/Publisher’s Note: The statements, opinions and data contained in all publications are solely those of the individual author(s) and contributor(s) and not of MDPI and/or the editor(s). MDPI and/or the editor(s) disclaim responsibility for any injury to people or property resulting from any ideas, methods, instructions or products referred to in the content. |
© 2024 by the authors. Licensee MDPI, Basel, Switzerland. This article is an open access article distributed under the terms and conditions of the Creative Commons Attribution (CC BY) license (https://creativecommons.org/licenses/by/4.0/).























