Development of Predictive Models for Tempering Behavior in Low-Carbon Bainitic Steel Using Integrated Tempering Parameters
Abstract
1. Introduction
2. Experimental Procedure
3. Results and Discussion
3.1. Effect of Tempering Parameters on Hardness
3.2. Establishment of Tempering Model Based on λ and P Tempering Parameters
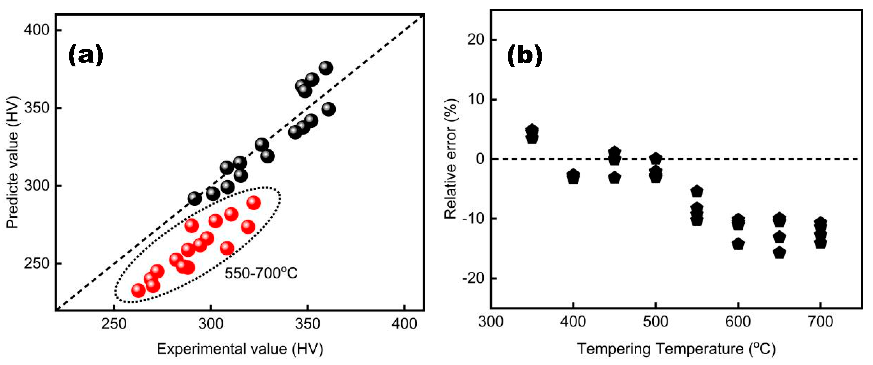
3.3. Error Analysis and Mechanical Prediction
3.4. Model Applicability Analysis
4. Conclusions
- The tempering activation energy for low-carbon bainitic steel was calculated to be 41.63 cal/mol, using a regression analysis method, specifically employing the least squares technique. This value is critical for understanding the thermal stability and transformation kinetics of the steel during the tempering process.
- We successfully developed tempering prediction models based on the P and λ tempering parameters. These models integrate the effects of tempering temperature and time, providing a comprehensive framework for predicting the mechanical properties of the steel.
- Equivalent tempering kinetic curves and nomographs were plotted, allowing for the direct determination of hardness values corresponding to different tempering conditions. These graphical tools facilitate the optimization of tempering parameters, ensuring desired mechanical properties with high accuracy.
- The predictive models developed in this study offer a reliable method for estimating the hardness of low-carbon bainitic steels. Validation through rigorous statistical analysis has confirmed both their accuracy and applicability. Specifically, the predictive errors for the P tempering parameter model are within 10%, while those for the λ tempering parameter model are within 15%.
Author Contributions
Funding
Data Availability Statement
Conflicts of Interest
References
- Emi, T. Steelmaking Technology for the Last 100 Years: Toward Highly Efficient Mass-Production Systems for High-Quality Steels. Tetsu Hagane J. Iron Steel Inst. Jpn. 2014, 100, 31–58. [Google Scholar] [CrossRef][Green Version]
- Tzevelekou, T.V.; Geck, H.G.; van Hüllen, P.; Höfer, F.; Papamantellos, D.C. Direct smelting of metallurgical dusts and ore fines in a 125t DC-HEP furnace. Steel Res. Int. 2004, 75, 382–391. [Google Scholar] [CrossRef]
- Liu, H.Y.; Lim, J.; Ma, C. Smelting Period Shortening Practices in Process of Electric Arc Furnace Steelmaking. Adv. Mater. Res. 2012, 572, 243–248. [Google Scholar] [CrossRef]
- Kuhl, T.; Sun, S.; Trinh, M.K. Equipment and Practice Enhancements at Dofasco’s Vacuum Degas Tank for ULC Steel. Iron Steel Technol. 2004, 1, 21–27. [Google Scholar]
- Shi, X.X.; Zhang, Z.X.; Li, Y.; Zhang, L.L. Bainitic high-phosphorus steel with an excellent combination of strength, toughness and corrosion resistance. Mater. Lett. 2023, 339, 134088. [Google Scholar] [CrossRef]
- De-Castro, D.; Granados, J.E.; Ramirez, A. Morphological and crystallographic features of granular and lath-like bainite in a low carbon microalloyed steel. Mater. Charact. 2022, 184, 111703. [Google Scholar] [CrossRef]
- He, S.H.; He, B.B.; Zhu, K.Y.; Huang, M.X. On the correlation among dislocation density, lath thickness and yield stress of bainite. Acta Mater. 2017, 135, 382–389. [Google Scholar] [CrossRef]
- Caballero, F.G.; Roelofs, H.; Hasler, S.; Capdevila, C.; Chao, J.; Cornide, J.; Garcia-Mateo, C. Influence of bainite morphology on impact toughness of continuously cooled cementite free bainitic steels. Mater. Sci. Technol. 2012, 28, 95–102. [Google Scholar] [CrossRef]
- Zhang, X.; Liu, S.; Wang, K.; Yan, L.; Wang, J.; Xia, Q.; Yu, H. Effect of vanadium microalloying on phase transformation and strengthening mechanism of 1000 MPa low carbon bainitic steel. Mater. Sci. Eng. A 2023, 884, 145578. [Google Scholar] [CrossRef]
- Pancholi, V.; Krishnan, M.; Samajdar, I.; Yadav, V.; Ballal, N. Self-accommodation in the bainitic microstructure of ultra-high-strength steel. Acta Mater. 2008, 56, 2037–2050. [Google Scholar] [CrossRef]
- Im, Y.R.; Oh, Y.J.; Lee, B.J.; Hong, J.H.; Lee, H.C. Effects of carbide precipitation on the strength and Charpy impact properties of low carbon Mn-Ni-Mo bainitic steels. J. Nucl. Mater. 2001, 297, 138–148. [Google Scholar] [CrossRef]
- Tkachev, E.; Borisov, S.; Borisova, Y.; Kniaziuk, T.; Belyakov, A.; Kaibyshev, R. Austenite stabilization and precipitation of carbides during quenching and partitioning (Q&P) of low-alloyed Si–Mn steels with different carbon content. Mater. Sci. Eng. A 2024, 895, 146212. [Google Scholar]
- Shin, S.Y.; Han, S.Y.; Hwang, B.; Lee, C.G.; Lee, S. Effects of Cu and B addition on microstructure and mechanical properties of high-strength bainitic steels. Mater. Sci. Eng. A 2009, 517, 212–218. [Google Scholar] [CrossRef]
- Canale, L.C.; Yao, X.; Gu, J.; Totten, G.E. A historical overview of steel tempering parameters. Int. J. Microstruct. Mater. Prop. 2008, 3, 474–525. [Google Scholar] [CrossRef]
- Pashangeh, S.; Somani, M.; Banadkouki, S.S.G. Structure-Property Correlations of a Medium C Steel Following Quenching and Isothermal Holding above and below the M-s Temperature. ISIJ Int. 2021, 61, 442–451. [Google Scholar] [CrossRef]
- Rancel, L.; Gómez, M.; Medina, S.F.; Gutierrez, I. Measurement of bainite packet size and its influence on cleavage fracture in a medium carbon bainitic steel. Mater. Sci. Eng. A 2011, 530, 21–27. [Google Scholar] [CrossRef]
- Adamczyk, J.; Grajcar, A. Heat treatment of TRIP-aided bainitic steel. Int. J. Microstruct. Mater. Prop. 2007, 2, 112–123. [Google Scholar] [CrossRef]
- Dong, Y.; Lan, X.; Yang, S.; Lu, J.; Yan, S.; Wei, K.; Wang, Z. Effect of quenching and tempering treatments on microstructure and mechanical properties of 300 M ultra-high strength steel fabricated by laser powder bed fusion. Mater. Charact. 2024, 212, 113935. [Google Scholar] [CrossRef]
- Ma, S.; Zhang, C.; Zhang, J.; Liu, H.; Huang, Y. Achieving high strength-ductility synergy in nickel aluminum bronze alloy via a quenching-aging-tempering heat treatment. Mater. Lett. 2023, 333, 133661. [Google Scholar] [CrossRef]
- Zhang, J.; Dai, Z.; Zeng, L.; Zuo, X.; Wan, J.; Rong, Y.; Chen, N.; Lu, J.; Chen, H. Revealing carbide precipitation effects and their mechanisms during quenching-partitioning-tempering of a high carbon steel: Experiments and Modeling. Acta Mater. 2021, 217, 117176. [Google Scholar] [CrossRef]
- Koyanbayev, Y. Applying the Hollomon-Jaffe parameter to predict changes in mechanical properties of irradiated austenitic chromium-nickel steels during isothermal exposure. AIMS Mater. Sci. 2024, 11, 216–230. [Google Scholar] [CrossRef]
- Virtanen, E.; Van Tyne, C.J.; Levy, B.S.; Brada, G. The tempering parameter for evaluating softening of hot and warm forging die steels. J. Mater. Process. Technol. 2013, 213, 1364–1369. [Google Scholar] [CrossRef]
- Kang, S.; Lee, S.J. Prediction of Tempered Martensite Hardness Incorporating the Composition-Dependent Tempering Parameter in Low Alloy Steels. Mater. Trans. 2014, 55, 1069–1072. [Google Scholar] [CrossRef]
- Revilla, C.; López, B.; Rodriguez-Ibabe, J.M. Carbide size refinement by controlling the heating rate during induction tempering in a low alloy steel. Mater. Des. 2014, 62, 296–304. [Google Scholar] [CrossRef]
- Hoja, S.; Hoffmann, F.; Steinbacher, M.; Zoch, H.W. Investigation of the Tempering Effect during Nitriding. HTM Z. Fur Werkst. Warmebehandl. Fert. 2018, 73, 335–343. [Google Scholar] [CrossRef]
- Salas Vicente, F.; Carcel Carrasco, J.; Fernández Antoni, R.; Ferrero Taberner, J.C.; Pascual Guillamón, M. Hardness Prediction in Quenched and Tempered Nodular Cast Iron Using the Hollomon-Jaffe Parameter. Metals 2021, 11, 297. [Google Scholar] [CrossRef]
- Fujita, K.; Ueda, M.; Ikeda, M.; Hayashi, K. Monitoring of Tempering Behavior in Fe-C-Mn Alloys by Precise Measurement of Electrical Resistivity. Adv. Mater. Res. 2014, 922, 173–176. [Google Scholar] [CrossRef]
- Gomes, C.; Kaiser, A.L.; Bas, J.P.; Aissaoui, A.; Piette, M. Predicting the mechanical properties of a quenched and tempered steel thanks to a “tempering parameter”. Metall. Res. Technol. 2010, 107, 293–302. [Google Scholar] [CrossRef]
- Nagasaka, T.; Ando, M.; Tanigawa, H.; Sakasegawa, H.; Tanaka, T.; Muroga, T.; Sagara, A. Tensile properties of F82H steel after aging at 400–650 °C for 1000–30,000 h. Fusion Eng. Des. 2017, 124, 1011–1014. [Google Scholar] [CrossRef]
- Inoue, T. A New Tempering Parameter and Its Application to the Integration of Tempering Effect of Continuous Heat Cycle. Tetsu Hagane 2009, 66, 1532–1541. [Google Scholar] [CrossRef]
- Tamaki, K.; Suzuki, J. Time-Temperature-Hardness Diagrams of Tempered Steels. Res. Rep. Fac. Eng. Mie Univ. 1990, 15, 9–22. [Google Scholar]
- Dong, H.; Zhang, Y.; Miyamoto, G.; Inomoto, M.; Chen, H.; Yang, Z.; Furuhara, T. Unraveling the effects of Nb interface segregation on ferrite transformation kinetics in low carbon steels. Acta Mater. 2021, 215, 117081. [Google Scholar] [CrossRef]
- Takahashi, J.; Kawakami, K.; Hamada, J.-I.; Kimura, K. Direct observation of niobium segregation to dislocations in steel. Acta Mater. 2016, 107, 415–422. [Google Scholar] [CrossRef]
- Goulas, C.; Kumar, A.; Mecozzi, M.G.; Castro-Cerda, F.M.; Herbig, M.; Petrov, R.H.; Sietsma, J. Atomic-scale investigations of isothermally formed bainite microstructures in 51CrV4 spring steel. Mater. Charact. 2019, 152, 67–75. [Google Scholar] [CrossRef]
- Jun, H.J.; Park, S.H.; Choi, S.D.; Park, C.G. Decomposition of retained austenite during coiling process of hot rolled TRIP-aided steels. Mater. Sci. Eng. A 2004, 379, 204–209. [Google Scholar] [CrossRef]
- Guo, A.; Song, X.; Tang, J.; Yuan, Z. Effect of tempering temperature on the mechanical properties and microstructure of an copper-bearing low carbon bainitic steel. J. Univ. Sci. Technol. Beijing 2008, 1, 40–44. [Google Scholar] [CrossRef]
- Wang, G.T.; Zhou, Y.L.; Wang, L.J.; Liu, C.M. Study on Microstructures and Properties of Low-Carbon-Steel Heavy Plate Treated by Quenching and Dynamic Partitioning. J. Mater. Eng. Perform. 2022, 31, 1195–1203. [Google Scholar] [CrossRef]
- Liang, Z.; Wang, J.; Li, H.; Zhang, X.; Liu, C.; Sun, D.; Yang, Z.; Zhang, F. Microstructure evolution of V-containing low carbon ultra-fine bainitic steel during medium-temperature tempering and strengthening-toughening mechanism. Mater. Sci. Eng. A 2024, 901, 146566. [Google Scholar] [CrossRef]
- Chen, Y.W.; Huang, B.M.; Tsai, Y.T.; Tsai, S.P.; Chen, C.Y.; Yang, J.R. Microstructural evolutions of low carbon Nb/Mo-containing bainitic steels during high-temperature tempering. Mater. Charact. 2017, 131, 298–305. [Google Scholar] [CrossRef]









| Element | C | Si | Mn | P | S | Ni | Nb | Cr | Mo | Fe |
|---|---|---|---|---|---|---|---|---|---|---|
| Content | 0.04 | 0.25 | 1.6 | <0.006 | <0.006 | <1.0 | 0.015–0.07 | <0.7 | <0.5 | Rest (up to 100%) |
| Tempering Temperature (°C) | Tempering Time (h) | P Model Predicted Hardness | λ Model Predicted Hardness | Experimental Hardness | Source |
|---|---|---|---|---|---|
| 400 | 1 | 331.64 | 312 | 312.8 | [36] |
| 500 | 1 | 314.424 | 298 | 306.4 | [36] |
| 600 | 1 | 297.20 | 291 | 291.5 | [36] |
| 450 | 0.5 | 324.81 | 350.0 | 341.5 | [37] |
| 450 | 0.5 | 324.81 | 341.0 | 330.6 | [37] |
| 450 | 0.5 | 324.81 | 330.0 | 346.2 | [37] |
| 400 | 1 | 331.64 | 320 | 320.3 | [38] |
| 400 | 5 | 327.78 | 340.0 | 340.2 | [38] |
| 400 | 10 | 326.12 | 332 | 332.2 | [38] |
| 400 | 15 | 325.15 | 331.0 | 331.4 | [38] |
| 680 | 0.5 | 285.78 | 252.0 | 262.4 | [39] |
| 680 | 1 | 283.42 | 247.0 | 257.5 | [39] |
| 680 | 8 | 276.37 | 239.0 | 250.6 | [39] |
Disclaimer/Publisher’s Note: The statements, opinions and data contained in all publications are solely those of the individual author(s) and contributor(s) and not of MDPI and/or the editor(s). MDPI and/or the editor(s) disclaim responsibility for any injury to people or property resulting from any ideas, methods, instructions or products referred to in the content. |
© 2024 by the authors. Licensee MDPI, Basel, Switzerland. This article is an open access article distributed under the terms and conditions of the Creative Commons Attribution (CC BY) license (https://creativecommons.org/licenses/by/4.0/).
Share and Cite
Sun, G.; Wang, Q. Development of Predictive Models for Tempering Behavior in Low-Carbon Bainitic Steel Using Integrated Tempering Parameters. Metals 2024, 14, 881. https://doi.org/10.3390/met14080881
Sun G, Wang Q. Development of Predictive Models for Tempering Behavior in Low-Carbon Bainitic Steel Using Integrated Tempering Parameters. Metals. 2024; 14(8):881. https://doi.org/10.3390/met14080881
Chicago/Turabian StyleSun, Guojin, and Qi Wang. 2024. "Development of Predictive Models for Tempering Behavior in Low-Carbon Bainitic Steel Using Integrated Tempering Parameters" Metals 14, no. 8: 881. https://doi.org/10.3390/met14080881
APA StyleSun, G., & Wang, Q. (2024). Development of Predictive Models for Tempering Behavior in Low-Carbon Bainitic Steel Using Integrated Tempering Parameters. Metals, 14(8), 881. https://doi.org/10.3390/met14080881

