A Comprehensive Material Model for the Super-Duplex Stainless Steel SAF2507 in a Welding Environment
Abstract
1. Introduction
2. Materials and Methods
2.1. Duplex Stainless Steels
- Lean duplex with a PRE of less than 35—a common grade would be S32304 (EN 1.4362), with a PRE only slightly higher than the comparable austenitic counterpart 316L (EN 1.4401)
- “Standard” duplex with a PRE of 35 to 40—an example of that grade would be S32205 (EN 1.4462).
- “Super” duplex with a PRE between 40 and 45—an example would be SAF2507 (S32750 or EN 1.4410), which is the main focus of this publication, with a PRE of 42.
- “Hyper” duplex with a PRE over 45—an example would be UNS S33207, with a PRE of over 50.
2.2. Microstructure of Duplex Stainless Steels
2.3. Experimental Methods
2.4. Numerical Methods
Microstructure Evolution Model
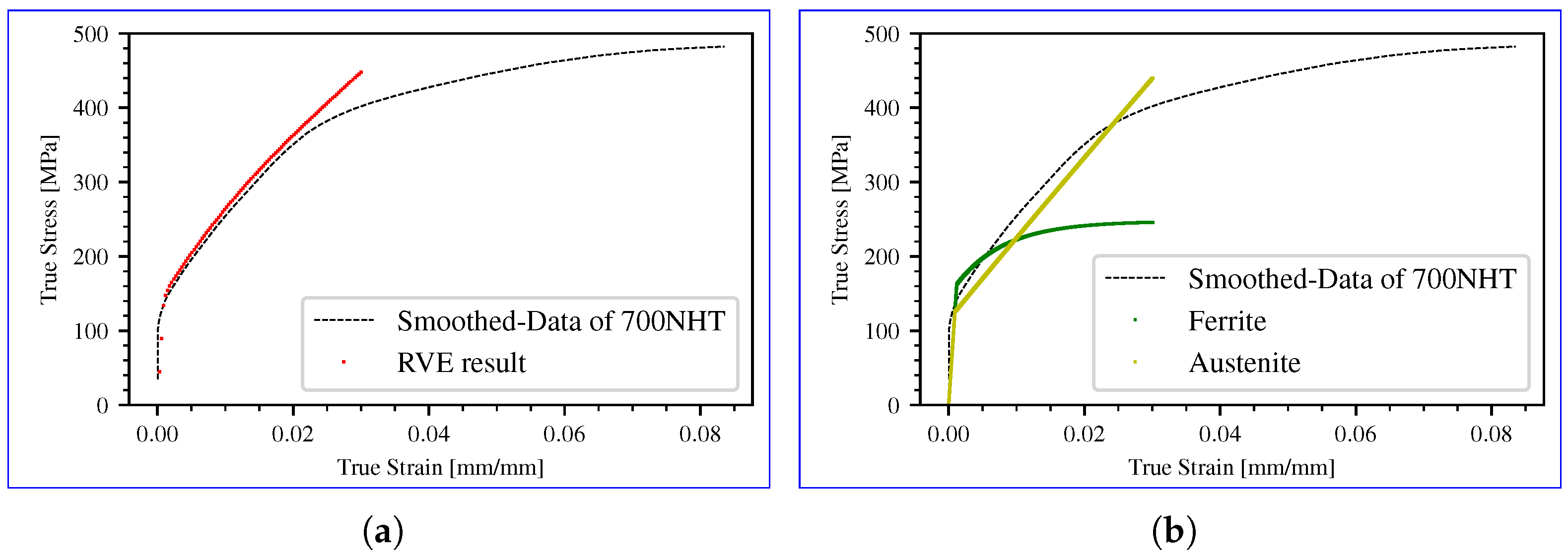
2.5. Representative Volume Element Approach for Determination of Single-Phase Flow Curves
3. Results and Discussion
3.1. Two-Phase Flow Curves
3.2. Microstructure Evolution Model Results
3.3. Single-Phase Flow Curves
4. Conclusions
Author Contributions
Funding
Data Availability Statement
Acknowledgments
Conflicts of Interest
Appendix A. Parameters for the Presented Model
| Temperature [°C] | E-Modulus [MPa] | [MPa] | [MPa] | [MPa] | (b) [] | i |
|---|---|---|---|---|---|---|
| RT | 206,940 | 580 | 0 | 250 | 850 | |
| RT | 199,840 | 653 | 200 | 400 | 160 | |
| 400 | 194,445 | 64 | 0 | 100 | 1000 | |
| 400 | 164,357 | 75 | 12,000 | 25 | 650 | |
| 700 | 160,647 | 5 | 0 | 85 | 140 | |
| 700 | 142,970 | 10 | 10,000 | 55 | 20 | |
| 1100 | 109,560 | 0 | 0 | 35 | 4000 | |
| 1100 | 112,725 | 0 | 10 | 33 | 200 |
| [°C] | [s] | [°C] | [s] | [°C] | [s] | [°C] | [s] | [m] |
|---|---|---|---|---|---|---|---|---|
| 1705.17 | 10 | 1491.14 | 10.75 | 1420.26 | 13.8 | 1345.64 | 5.79 | 7 |
Appendix B. Thermal Properties of SAF2507
| Temperature [°C] | [J/gK] | [kg/m3] | [W/mK] |
|---|---|---|---|
| 20 | 0.46 | 7809 | 12.2 |
| 400 | 0.548 | 7684 | 18.1 |
| 700 | 0.628 | 7572 | 24 |
| 1100 | 0.693 | 7402 | 30.7 |
References
- Charles, J. Duplex stainless steels, a review after DSS’07 in Grado. Rev. Metall. 2008, 105, 155–171. [Google Scholar] [CrossRef]
- Hosseini, V.A.; Hurtig, K.; Karlsson, L. Effect of multipass TIG welding on the corrosion resistance and microstructure of a super duplex stainless steel. Mater. Corros. 2017, 68, 405–415. [Google Scholar] [CrossRef]
- de Lima, M.S.F.; de Carvalho, S.M.; Teleginski, V.; Pariona, M. Mechanical and Corrosion Properties of a Duplex Steel Welded using Micro-Arc or Laser. Mater. Res. 2015, 18, 723–731. [Google Scholar] [CrossRef]
- Goldak, J.; Alkhalghi, M. Computational Welding Mechanics; Springer: Berlin/Heidelberg, Germany, 2005. [Google Scholar]
- Radaj, D. Schweißprozesssimulation; DVS Verlag: Dusseldorf, Germany, 1999. [Google Scholar]
- Phillips, D.H. Welding Engineering; John Wiley & Sons: Hoboken, NJ, USA, 2016. [Google Scholar]
- Sharafi, S. Microstructure of Super-Duplex Stainless Steels. Ph.D. Thesis, Department of Materials Science and Metallurgy Pembroke Street Cambridge, University of Cambridge, Cambridge, UK, 1993. [Google Scholar]
- Nyström, M. Plastic deformation of duplex stainless steels with different amounts of ferrite. In Proceedings of the 4th International Conference-Duplex Stainless Steels 94, Glasgow, UK, 13–16 November 1994. [Google Scholar]
- Nilsson, J.O. Super duplex stainless steels. Mater. Sci. Technol. 1992, 8, 685–700. [Google Scholar] [CrossRef]
- Alvarez-Armas, I.; Degallaix-Moreuil, S. Duplex Stainless Steels; ISTE Ltd.: London, UK; John Wiley & Sons Inc.: Hoboken, NJ, USA, 2009. [Google Scholar]
- Knyazeva, M.; Pohl, M. Duplex Steels: Part I: Genesis, Formation, Structure. Metallogr. Microstruct. Anal. 2013, 2, 113–121. [Google Scholar] [CrossRef]
- Wessman, S.; Selleby, M. Evaluation of austenite reformation in duplex stainless steel weld metal using computational thermodynamics. Weld. World 2013, 58, 217–224. [Google Scholar] [CrossRef]
- Lukas, H.; Fries, S.G.; Sundman, B. Computational Thermodynamics; Cambridge University Press: Cambridge, UK, 2007. [Google Scholar] [CrossRef]
- Schaeffler, A.L. Constitution diagram for stainless steel weld metal. Met. Prog. 1949, 56, 680. [Google Scholar]
- Zhang, Z.; Han, Y.; Lu, X.; Zhang, T.; Bai, Y.; Ma, Q. Effects of N2 content in shielding gas on microstructure and toughness of cold metal transfer and pulse hybrid welded joint for duplex stainless steel. Mater. Sci. Eng. A 2023, 872, 144936. [Google Scholar] [CrossRef]
- Hemmer, H.; Grong, Ø. A Process Model for the Heat-Affected Zone Microstructure Evolution in Duplex Stainless Steel Weldments: Part I. the Model. Metall. Mater. Trans. A 1999, 30, 2915–2929. [Google Scholar] [CrossRef]
- Wang, X.; Chen, W.; Zheng, H. Influence of isothermal aging on σ precipitation in super duplex stainless steel. Int. J. Miner. Metall. Mater. 2010, 17, 435–440. [Google Scholar] [CrossRef]
- Nilsson, J.O.; Wilson, A. Influence of isothermal phase transformations on toughness and pitting corrosion of super duplex stainless steel SAF 2507. Mater. Sci. Technol. 1993, 9, 545–554. [Google Scholar] [CrossRef]
- Knyazeva, M.; Pohl, M. Duplex Steels. Part II: Carbides and Nitrides. Metallogr. Microstruct. Anal. 2013, 2, 343–351. [Google Scholar] [CrossRef]
- Calliari, I.; Ramous, E.; Bassani, P. Phase Transformation in Duplex Stainless Steels after Isothermal Treatments, Continuous Cooling and Cold Working. Mater. Sci. Forum 2010, 638, 2986–2991. [Google Scholar] [CrossRef]
- Hemmer, H.; Klokkehaug, S.; Grong, Ø. A process model for the heat-affected zone microstructure evolution in duplex stainless steel weldments: Part II. Application to electron beam welding. Metall. Mater. Trans. A 2000, 31, 1035–1048. [Google Scholar] [CrossRef]
- Scheil, E. Anlaufzeit der Austenitumwandlung. Arch. EisenhüTtenwes. 1935, 8, 565–567. [Google Scholar] [CrossRef]
- Cahn, J.W. Transformation kinetics during continuous cooling. Acta Metall. 1956, 4, 572–575. [Google Scholar] [CrossRef]
- Christian, J. The Theory of Transformations in Metals and Alloys; Pergamon Press an Imprint of Elsevier Science: Oxford, UK, 2002; ISBN 0-08-044019-3. [Google Scholar]
- Blank, J.; Deb, K. Pymoo: Multi-Objective Optimization in Python. IEEE Access 2020, 8, 89497–89509. [Google Scholar] [CrossRef]
- Schemmel, M.; Prevedel, P.; Schöngrundner, R.; Ecker, W.; Antretter, T. Modelling of phase transformations and residual stress formation in hot-work tool steel components. In Proceedings of the European Conference on Heat Treatment and 21st IFHTSE Congress, Munich, Germany, 12–15 May 2014; pp. 285–292. [Google Scholar]
- Siegmund, T.; Werner, E.; Fischer, F. Structure-property relations in duplex materials. Comput. Mater. Sci. 1993, 1, 234–240. [Google Scholar] [CrossRef]
- ASTM. Standard Test Methods for Determining Average Grain Size; ASTM: West Conshohocken, PA, USA, 2013. [Google Scholar]
- Voce, E. A practical strain-hardening function. Metallurgia 1955, 51, 219–226. [Google Scholar]
- Tasan, C.; Diehl, M.; Yan, D.; Bechtold, M.; Roters, F.; Schemmann, L.; Zheng, C.; Peranio, N.; Ponge, D.; Koyama, M.; et al. An Overview of Dual-Phase Steels: Advances in Microstructure-Oriented Processing and Micromechanically Guided Design. Annu. Rev. Mater. Res. 2015, 45, 391–431. [Google Scholar] [CrossRef]
- Li, X.; Miodownik, P.; Saunders, N. Modelling of materials properties in duplex stainless steels. Mater. Sci. Technol. 2002, 18, 861–868. [Google Scholar]
- Eckart, E.; Meyer-Nolkemper, H.; Saeed, I. Fließkurvenatlas Metallischer Werkstoffe; HANSER: Vienna, Austria, 1986. [Google Scholar]
- Guo, E.Y.; Xie, H.X.; Singh, S.S.; Kirubanandham, A.; Jing, T.; Chawla, N. Mechanical characterization of microconstituents in a cast duplex stainless steel by micropillar compression. Mater. Sci. Eng. A 2014, 598, 98–105. [Google Scholar] [CrossRef]
- He, Y.; Liu, J.; Qiu, S.; Deng, Z.; Yang, Y.; McLean, A. Microstructure and high temperature mechanical properties of as-cast FeCrAl alloys. Mater. Sci. Eng. A 2018, 726, 56–63. [Google Scholar] [CrossRef]
- Zhang, Z.; Zhang, H.; Hu, J.; Qi, X.; Bian, Y.; Shen, A.; Xu, P.; Zhao, Y. Microstructure evolution and mechanical properties of briefly heat-treated SAF 2507 super duplex stainless steel welds. Constr. Build. Mater. 2018, 168, 338–345. [Google Scholar] [CrossRef]
- Tao, P.; Gong, J.M.; Wang, Y.F.; Jiang, Y.; Li, Y.; Cen, W.W. Characterization on stress-strain behavior of ferrite and austenite in a 2205 duplex stainless steel based on nanoindentation and finite element method. Results Phys. 2018, 11, 377–384. [Google Scholar] [CrossRef]
- Huang, Y.; Young, B. Stress–strain relationship of cold-formed lean duplex stainless steel at elevated temperatures. J. Constr. Steel Res. 2014, 92, 103–113. [Google Scholar] [CrossRef]
- Seol, D.J.; Won, Y.M.; Jung Yeo, T.; Oh, K.H.; Park, J.K.; Yim, C.H. High Temperature Deformation Behavior of Carbon Steel in the Austenite and δ-Ferrite Regions. ISIJ Int. 1999, 39, 91–98. [Google Scholar] [CrossRef][Green Version]
- EN 821-3:2005; Advanced Technical Ceramics-Monolithic Ceramics-Thermo-Physical Properties-Part 3: Determination of Specific Heat Capacity. Deutsches Institut für Normung (DIN): Berlin, Germany, 2005. [CrossRef]
- EN 821-2:1997; Advanced Technical Ceramics-Monolithic Ceramics, Thermo-Physical Properties-Part 2: Determination of Thermal Diffusity by the Laser Flash (or Heat Pulse) Method. Deutsches Institut für Normung (DIN): Berlin, Germany, 1997. [CrossRef]
- EN 993-11:2007; Methods of Test for Dense Shaped Refractory Products-Part 11: Determination of Resistance to Thermal Shock. Deutsches Institut für Normung (DIN): Berlin, Germany, 2004. [CrossRef]








| Cr | Cu | Mn | Mo | Ni | Si | C | N | P | S |
|---|---|---|---|---|---|---|---|---|---|
| 25.0 | 0.3 | 0.75 | 3.8 | 6.9 | 0.37 | 0.016 | 0.271 | 0.029 | 0.001 |
| Specimen | [°C] | [s] | Total Strain [%] | Strain Rate [%/s] |
|---|---|---|---|---|
| 200NHT | 220 | 0 | 11 | 105 |
| 300NHT | 335 | 0 | 13 | 125 |
| 400HT | 400 | 360 | 9.8 | 84 |
| 400NHT | 436 | 0 | 10.3 | 85 |
| 500HT | 500 | 360 | 11.5 | 73 |
| 500NHT | 530 | 0 | 7.2 | 55 |
| 600HT | 600 | 260 | 7.6 | 50 |
| 600NHT | 603 | 0 | 7.6 | 99 |
| 700HT | 700 | 180 | 9.1 | 66 |
| 700NHT | 697 | 0 | 8.7 | 47 |
| 800HT | 800 | 60 | 14.8 | 103 |
| 800NHT | 833 | 0 | 8.3 | 65 |
| 900HT | 900 | 60 | 10.8 | 88 |
| 900NHT | 900 | 0 | 12.3 | 86 |
| 1000HT | 1000 | 60 | 13.1 | 80 |
| 1000NHT | 1000 | 0 | 13.8 | 94 |
| 1100HT | 1100 | 60 | 12.8 | 75 |
Disclaimer/Publisher’s Note: The statements, opinions and data contained in all publications are solely those of the individual author(s) and contributor(s) and not of MDPI and/or the editor(s). MDPI and/or the editor(s) disclaim responsibility for any injury to people or property resulting from any ideas, methods, instructions or products referred to in the content. |
© 2024 by the authors. Licensee MDPI, Basel, Switzerland. This article is an open access article distributed under the terms and conditions of the Creative Commons Attribution (CC BY) license (https://creativecommons.org/licenses/by/4.0/).
Share and Cite
Prunbauer, M.; Raninger, P.; Ecker, W.; Rester, M.; Ebner, R. A Comprehensive Material Model for the Super-Duplex Stainless Steel SAF2507 in a Welding Environment. Metals 2024, 14, 153. https://doi.org/10.3390/met14020153
Prunbauer M, Raninger P, Ecker W, Rester M, Ebner R. A Comprehensive Material Model for the Super-Duplex Stainless Steel SAF2507 in a Welding Environment. Metals. 2024; 14(2):153. https://doi.org/10.3390/met14020153
Chicago/Turabian StylePrunbauer, Maximilian, Peter Raninger, Werner Ecker, Martin Rester, and Reinhold Ebner. 2024. "A Comprehensive Material Model for the Super-Duplex Stainless Steel SAF2507 in a Welding Environment" Metals 14, no. 2: 153. https://doi.org/10.3390/met14020153
APA StylePrunbauer, M., Raninger, P., Ecker, W., Rester, M., & Ebner, R. (2024). A Comprehensive Material Model for the Super-Duplex Stainless Steel SAF2507 in a Welding Environment. Metals, 14(2), 153. https://doi.org/10.3390/met14020153

