Abstract
Lattice structures show advantages in mechanical properties and energy absorption efficiency owing to their lightweight, high strength and adjustable geometry. This article reviews lattice structure classification, design and applications, especially those based on additive manufacturing (AM) technology. This article first introduces the basic concepts and classification of lattice structures, including the classification based on topological shapes, such as strut, surface, shell, hollow-strut, and so on, and the classification based on the deformation mechanism. Then, the design methods of lattice structure are analyzed in detail, including the design based on basic unit, mathematical algorithm and gradient structure. Next, the effects of different lattice elements, relative density, material system, load direction and fabrication methods on the mechanical performance of AM-produced lattice structures are discussed. Finally, the advantages of lattice structures in energy absorption performance are summarized, aiming at providing theoretical guidance for further optimizing and expanding the engineering application potential of lattices.
1. Introduction
In materials science and engineering, designing and optimizing load-bearing structures have always been the focus of research. With continuous advance of science and technology, especially in key fields such as the automotive industry and biomedical treatment, the requirements for lightweight and high-performance structural materials are increasing day by day [1,2]. Lightweight is a key factor in improving structural efficiency, reducing energy consumption and reducing emissions. It can simultaneously enhance the performance of parts and effectively decrease fabrication costs and production cycles [3]. It was reported that if the weight of a vehicle can be reduced by 10%, the CO2 emissions per mile of a vehicle can be reduced by about 8% [4]. The global passenger vehicle population, including cars, trucks and buses, reached 1 billion in 2010 and is expected to reach 2 billion by 2035 and continue to grow [5]. In the automotive industry, lightweight contributes to improved fuel efficiency and handling performance [6]. Traditionally, classical structural components are generally dense monolithic materials. Although these traditional components can meet the requirements of strength, stiffness and stability, there are still shortcomings in energy absorption, heat insulation, noise suppression, weight and other aspects [7,8]. Therefore, in order to meet more stringent requirements of lightweight and high performance, endeavors have been made to seek new solutions.
In recent years, lattice structures have attracted widespread attention as a new type of structural design. With their unique porosity and adjustable geometry, lattice structures do not only provide lightweight and high load-bearing capacity, but also achieve customized mechanical response by adjusting the structural characteristics [9,10]. This structure shows advantages that traditional components cannot achieve in terms of energy absorption, heat insulation, noise suppression, etc. [11,12,13,14]. Lattice structures are favored for their high degree of design controllability and a range of excellent mechanical and physical properties, such as high specific stiffness, high specific strength, low elastic modulus, negative Poisson’s ratio, low coefficient of thermal expansion, large surface area, and large internal pores [15,16,17,18]. These properties allow lattice structures to be widely used in biomedical engineering, automotive lightweight, energy absorption, heat exchange, sound insulation and catalysis [19,20,21]. The inspiration for designing lattice structures often comes from regular repetitive structures in nature, such as the simple cubic (SC) structure, face-centered cubic (FCC) structure, body-centered cubic (BCC) structure, other structures in crystal structures, honeycomb and bone, and so on [9]. The good designs and effective applications of lattice structures enable efficient use of materials and optimized macroscopic properties to meet specific engineering needs. For example, in the lightweight design of automobile bodies, Yin et al. [13] prepared a new composite sandwich engine hood with a pyramidal lattice structure, which reduces the weight by 25% and has better pedestrian protection performance. In terms of cushioning and damping, Wang et al. [12] developed an anti-collision box consisting of a concave shell and an inner core filled with materials with negative Poisson’s ratio (NPR). Among them, the NPR inner core adopts a hexagonal lattice structure, which more effectively improves energy absorption characteristics and overall collision resistance, ensuring the controllability and stability of the collision process.
As depicted in Figure 1, lattice structures are classified based on their architectural arrangements. Two distinct groups, i.e., strut-based and surface-based lattice structures, are usually categorized [22,23,24,25,26]. Each structure has its own unique mechanical behavior and energy absorption characteristics and is suitable for different application scenarios. SC, FCC, and BCC are several common lattice structures, and their design and preparation are crucial for regulating the physical, chemical and mechanical properties of materials [27,28,29]. The preparation of metal lattice structures usually involves forming microrod structures by connecting vertices and face centers to generate three-dimensional (3D) spatial structures with a certain porosity [30,31,32]. The porous nature of this structure allows it to form continuous channels and voids in the material, providing unique advantages for a variety of applications. Triply Periodic Minimal Surface (TPMS) lattice structure has also received considerable attention. TPMS was originally proposed by Schwarz in the 19th century and it is a class of 3D patterns that can form periodic patterns with the minimum local area [26]. TPMS lattice structure is usually categorized into two classes, i.e., sheet TPMS and skeleton TPMS. These structures help reduce stress concentration and enhance overall strength owing to the absence of nodes and curvature discontinuities [33]. Common TPMS units, such as SplitP, Gyroid and Diamond, have been widely discussed and applied in many studies [26,34,35].
Figure 1.
Lattice structure classification based on structure and surface. Reproduced from Ref. [26] under terms of the CC-BY license.
The mechanical behavior of a lattice structure is usually studied under bending or tension (or compression), and the overall deformation mechanism depends on the main deformation mode under loading [36]. When the application of load aligns with the orientation of the lattice struts, the structure predominantly undergoes compressive deformation. Conversely, if the load is applied perpendicular to the struts, the structure experiences bending as the primary mode of deformation [37]. Lattice structures that are primarily compressive in nature tend to be more brittle but have a higher capacity for bearing loads. On the other hand, those that are governed by a bending mechanism are more ductile [4,38,39]. Therefore, just as the strength and plasticity of a material can be controlled by manipulating the presence of BCC and FCC phases in the microstructure, optimizing the lattice structures can also tailor the strength and toughness of a material in this way.
However, although lattice structures and topological optimization designs provide theoretical solutions, traditional manufacturing processes have limitations in achieving complex multi-scale configurations. This is mainly manifested in two aspects: first, the randomness of the structure causes unstable performance; second, the application of the structure is limited, requiring additional assembly or bonding steps, which increases the complexity of manufacturing [40]. These constraints have impeded the production and extensive utilization of lattice structures. However, the emergence of additive manufacturing (AM) or 3D printing has overcome these barriers. The distinctive layer-wise manufacturing featured by this technology has facilitated the fabrication of intricate structures directly from their 3D digital representations [41,42,43,44]. Using the advantages of AM technology, it is possible to easily and precisely fabricate lattice structures of specific shapes, demonstrating better properties than those of foam structures produced by traditional manufacturing methods. For example, the AM-produced AlSi10Mg lattice structure with 86.5% porosity has 60% higher heat transfer efficiency than that of metal foam manufactured by traditional methods [45]. In particular, the AM-produced lattice structures have attracted booming attention very recently owing to their significant advantages in performance.
Recently, numerous scholarly reviews have concentrated on advancements in AM technology as it pertains to lattice structures. Benedetti et al. [46] provided an exhaustive examination of how lattice structures have been utilized to enhance fatigue resistance, showcasing the most current academic advancements. Chen et al. [40] offered an in-depth investigation on the design, optimization, and spectrum of characteristics and uses of metal lattice structures created through AM. Yin et al. [9] described the fabrication process of lattice structures and their practical applications, particularly in energy absorption. Tyagi et al. [47] evaluated the manufacturability of lattice structures from titanium alloys and explored the relationship between the mechanical and biological properties and the unit cell parameters in lattice structures. Helou et al. [48] conducted a comprehensive examination of the design, analysis, production, and utilization of lattice structures, introducing a novel definition for these constructs. While the existing literature has documented the implementation of AM-generated lattice structures in various sectors, a thorough synthesis encompassing the design principles, characteristics, and applications of the most recent AM-produced lattice structures is currently absent from the scholarly discourse. It is necessary to overview the latest developments in a timely manner. Therefore, this article explores the latest applications and developments of AM technology in the field of lattice structures. For this purpose, this article first outlines the basic concept, classification and characteristics of lattice structures, then analyzes the design and innovation of lattice structures, and comprehensively discusses the structural properties, manufacturing processes, design methods, and optimization strategies. The specific application cases of metal lattice structures in various key areas are reviewed.
In this article, we summarize some key advances in lattice structure design and manufacturing, highlighting the integration of design and printing feasibility, a critical yet often overlooked aspect. By discussing the recent developments that consider printability at the design stage, we aim to address the gap between design intent and manufacturing outcomes, particularly using machine learning to generate printable lattice structures with tailored properties. Furthermore, this article provides a comprehensive analysis of the limiting factors that affect the performance of additively manufactured lattice structures, providing insights into potential solutions and research directions to overcome these challenges. We also explore the relationship between material selection, structural design, manufacturing process, and final performance, emphasizing the importance of a holistic approach in optimizing lattice structures for real-world applications. Finally, we outline the future perspectives of lightweight large-scale design, multi-scale bionic structures, and process optimization, providing a roadmap for further innovation and application expansion in the AM field.
2. Category and Design of Lattice Structures
The categorization of lattice structures is essential for comprehending and crafting lattice structures with superior performance [49]. The unit cell design, as the fundamental building block of a lattice structure, has a direct impact on the physical and mechanical attributes of the structure, including its strength, specific surface area, rigidity, seismic response, and thermal conductivity [50,51,52]. Thus, it is crucial to grasp the various classifications of lattice structures. These classifications are multifaceted, but they are primarily categorized into four groups on the basis of their topological forms. The initial group encompasses strut-based lattice structures, such as SC, BCC, and FCC configurations, which consist of a network of connected struts. The second group comprises surface-based lattice structures, exemplified by TPMS lattices, distinguished by their non-intersecting, periodic surfaces. The third category is the shell-based lattices, which consist of plates rather than struts and are sometimes referred to as shell cells or shell structures, which were first reported in 2015 [40]. Other complex lattice structures also exist including rotationally rigid and chiral structures [53]. In addition, according to the type of lattice forces, lattice structures can also be grouped into tensile or flexural structures. The two types of structures have significant differences in mechanical response, where the tension-based (or stretch-based) structures exhibit higher elasticity and strength under axial loads, while the flexural structures fail under the bending stress of a strut. It usually exhibits more uniform collapse behavior under compressive loads [46,54]. This classification method helps to design and optimize lattice structures for specific application requirements. The lattice structures will be introduced in detail according to the two classification methods of topological shape and deformation mechanism.
2.1. Classification Based on Topological Shapes
2.1.1. Strut-Based Lattice Structures
Table 1 depicts the categorization and the features of different types of lattice structures based on their topological configurations, including auxetic, all face-centered cubic (AFCC), BCC, BCC with Z struts (BCCZ), cubic, diamond, and edge-centered cubic structures. Additionally, there are FCC, FCC with Z-struts (FCCZ or PFCC), G7, hexagonal honeycomb, octahedron, octet-truss, FBCCZ with X- and Y-struts (FBCCXYZ), FCC combined with BCCZ (FBCCZ), optimized designs, rhombic dodecahedron, SC, tetrahedron, tetrakaidecahedron, truncated cuboctahedron, and two FCC structures combined within a BCC framework (F2BCC), among others. These lattice structures are commonly fabricated using a variety of AM techniques, e.g., bonding injection (BJ), direct ink writing (DIW), directed energy deposition (DED), electron beam powder bed fusion (PBF-EB), laser powder bed fusion (PBF-L), and selective laser sintering (SLS). Each lattice structure has its unique properties, e.g., negative Poisson’s ratio, high stiffness, isotropy or anisotropy, high energy absorption, etc., and is suitable for different application fields, such as energy absorbers, lightweight structures, orthopedic implants, catalytic structures, energy absorbers, heat exchangers, and so on.
Table 1.
Commonly used strut-based metal lattice structure construction. Reprinted with permission from Ref. [40]. Copyright 2021 Elsevier.
Among many lattice structures, FCC, BCC and SC are the common lattice structures. They have the feature of a simple crystalline structure, obvious performance advantages and strong manufacturability; therefore, they have attracted widespread attention from scholars around the world. Furthermore, the characteristics of these lattice structures can be fine-tuned by adjusting key parameters such as the dimensions, quantity, and strut diameters of the structural cells [27]. Leary et al. [61] comprehensively analyzed the performance of BCC, BCCZ, FCC, and FCCZ lattice structures crafted from 3D-printed Inconel 625 alloy. Through a combination of experimental testing and simulation under quasi-static compression, they discovered that these lattice configurations possess remarkable ductility and energy absorption capabilities. In particular, the FCCZ structure exhibits excellent specific strength and elastic modulus at a cell size of 2 mm. It was found that the deformation of the FCC structure is dominated by bending, with local collapse when its cell size is large, while BCC structure exhibits uniform deformation until being fully compressed. In addition, as the cell size increases, the dominant tensile response of the FCCZ and BCCZ structures gradually decreases. Dar et al. [97] found that under a certain relative density, the increase in the number of units in the BCC structure (343, 216, 125, 64 and 27, respectively) would enhance the elastic modulus, yield strength and platform stress of the structure. Dong et al. [98] utilized PBF-L to fabricate AlSi10Mg alloy with a BCC lattice structure, observing that its strength and elastic modulus are inversely proportional to the reduction in the diameter of the cellular rods. This suggests that smaller rod diameters decline the mechanical stiffness and load-bearing capacity. In a separate comprehensive study, Tancogne-Dejean et al. [99] examined the performance of FCC and BCC lattice structures in the actions of quasi-static or dynamic compression. Their findings indicated that the BCC lattice exhibits a superior elastic modulus compared to its FCC counterpart, implying higher resistance to deformation under stress. Additionally, the BCC structure demonstrated enhanced stability throughout the compression process, highlighting its potential for applications which require consistent mechanical response and structural integrity. They also found that the mechanical response of the BCC structure is not always dominated by bending but is a highly anisotropic material whose mechanical response changes from bending to tension as the loading direction changes. When loaded in the stiffest direction, the BCC structure has a larger elastic modulus than the FCC structure of the same mass.
2.1.2. Surface-Based Lattice Structures
As shown in Figure 2, surface-based lattice structures, especially TPMS lattices, are a class of advanced 3D porous structures consisting of periodic hidden surfaces. These structures have attracted considerable attention for their unique geometric properties and biologically inspired designs, mimicking structures in nature with zero average curvature properties [100,101]. The TPMS lattices consist of a smooth surface without sharp edges or connections, providing significant application advantages such as improved fluid permeability and enhanced mechanical properties [26,33].
Figure 2.
An array of surface-based lattice structures: (a) basic cubic, (b) geometrically balanced BCC, (c) FCC, (d) hexagonally patterned honeycomb, (e) triangularly configured honeycomb, (f) complex re-entrant honeycomb, (g) uniquely shaped Schwartz, (h) curvature-defined gyroid, (i) gem-like diamond, (j) bisected split-p, and (k) characteristic Lidinoid. The red, blue, and green lines represent the three vertical dimensions. Reproduced from Ref. [102] under terms of the CC-BY license.
TPMS lattices are usually designed using implicit equations that define the set of zeros of the function, thereby determining the set of points on the basic unit surface. Historically, Schwarz first described the TPMS structure in 1865, including the primitive Schwarz surface and the Schwarz diamond surface, while Neovius discovered the Neovius surface in 1883 [103]. These structures include many types [104]. Schoen further described the famous gyrus surface in 1970, which is a member of the TPMS family [105]. Table 2 compares the classification, preparation methods, materials used, porosity, elastic modulus (e) and yield strength (σy) of the different TPMS structures. Different structures and materials exhibit different properties, which shows that they can be designed and optimized for specific application needs. For example, as seen from Table 2, titanium alloys with Gyroid and Diamond structures have high porosity and relatively low elastic modulus, making them suitable for applications requiring high specific strength and energy absorption; Ti-25Ta alloy of Schwartz structure exhibits high elastic modulus and yield strength, making it suitable for applications under higher loads. It is noted that for AlSi10Mg alloy, Lidinoid and Diamond have better compressive modulus and strength than the Gyoid and Schwartz structures at the same relative density. The samples produced by PBF-EB and PBF-L technology display different microstructural characteristics. Taking AlSi10Mg as an example, PBF-EB samples usually contain a mixture of small equiaxed grains and elongated grains, while PBF-L samples are mainly composed of large and elongated grains. Such a difference in microstructure is formed owing to the high thermal gradient and rapid cooling in the PBF-L process, which results in a high-density solidified cell structure and geometrically necessary dislocation (GND). In addition, nanotwinning was observed in the PBF-L sample, which was enhanced by the capture of the dislocation and twinning within the cell wall, thus significantly improving the mechanical properties of the PBF-L sample [106].
Table 2.
Materials and properties of TPMS structures prepared by AM. Reprinted with permission from Ref. [40]. Copyright 2021 Elsevier.
The key advantages of TPMS structures are manifold and include several distinctive features that make them highly desirable for specific applications: (1) Precision in Structural Expression: TPMS structures are defined by mathematical functions that precisely describe their geometry and fundamental properties. This precision allows for direct manipulation of key attributes such as porosity, surface-to-volume ratio, elasticity, and fluid behavior by simply adjusting the parameters within the mathematical models. This capability provides a high level of control over the material’s performance characteristics. (2) Smooth Surface Topology: These structures are characterized by smooth surfaces, devoid of sharp edges or abrupt connections typically found in strut-based lattices. The lack of sharp features in the structure facilitates reduced stress concentration in the lattice structure, which in turn enhances the overall stability and durability of the structure under various loading conditions. (3) Optimal Pore Connectivity: The TPMS porous structures boast an extensive network of interconnections and non-zigzag pores. This feature is particularly beneficial for applications that require efficient fluid flow, such as in filtration systems or heat exchangers, and for scenarios that involve cell growth, such as in tissue engineering scaffolds, where uninterrupted pathways facilitate nutrient transport and waste removal [26,47].
2.1.3. Shell-Based Lattice Structures
Shell-based lattice structures, alternatively referred to as shell cells or shell lattices, are composed of planar units rather than linear supports or unbroken surfaces, initially documented in 2015 [117]. These structures are distinguished by their enclosed cavities, contrasting with the open cavities found in traditional lattices that rely on struts. Furthermore, the mean curvature of the surfaces in shell-based lattices is not consistently zero [118]. The results show that even at similar relative densities, shell structures with closed pores exhibit better elastic properties than those with open pores. For example, Tancogne et al. [119] found that shell-based structures demonstrate two to three times the elastic modulus of strut-based lattice structures, despite similar relative density. They also found that the shell-based lattice structure can maintain its load-bearing capacity after buckling, which may be responsible for its higher modulus. However, while shell-based lattice structures excel at energy absorption, the closed pores limit their use in applications requiring fluid flow, such as heat exchangers. Bonatti et al. [120] showed that, compared with the optimal strut-based lattice structure of the same mass, the SC, BCC and FCC 3D shell-based lattice structures exhibit higher stiffness, higher strength and excellent energy absorption performance. Fan et al. [121] conducted further research demonstrating that shell-based lattice structures with varying thickness, or a gradient thickness design, exhibit superior elastic modulus and compressive energy absorption capabilities compared to their homogeneous counterparts. In addition, these structures experience reduced stress fluctuations under load. These findings indicated that shell-based lattice structures not only have advantages in load-carrying capacity, but also further improve their performance through structural optimization such as gradient design.
2.1.4. Lattice Structures Based on Other Structures
In addition to the above structures, there are some new lattice structures that are very interesting and demonstrate unique properties. These new lattice structures include chiral structure, rotationally rigid structure and spring-arm lattice structure, as shown in Figure 3. A chiral structure is characterized by its lack of mirror symmetry, featuring a fundamental unit that can manifest in either left- or right-handed configurations. It is comprised of a central disc and radially attached filaments [122,123]. The structural response to deformation in chiral structures is facilitated by the rotational movement of the central discs coupled with the flexing of the filaments. This mechanism serves to enhance rigidity without compromising the non-linear elastic behavior [124]. Researchers have also explored hybrid structures that combine the properties of concave horns and chiral ligaments, as well as 3D chiral structures with 3D NPR behavior [125]. Zhu et al. [126] designed a novel hexachiral structure characterized by the introduction of wavy ligaments. When subjected to tension, the curvature of the wavy ligament helps to delay the bending of the ligaments, thus promoting the rotation mechanism of the central ring. This helps to maintain the rotational symmetry of the structure over a large deformation range, thereby improving the isotropy of the structure. Under compression, the flexibility of the wavy ligament helps to reduce the deformation of the central ring, further improving the stability of the structure. The performance is optimized without sacrificing the overall hardness.
Figure 3.
Origami structure types. The arrows in the rotating rigid structure indicate that the structure changes when the force is applied. The arrows in the spring-arm structure indicate changes in the original structure by replacing it with a spring structure. Reproduced with permission from Ref. [53]. Copyright 2022 Elsevier. Reproduced from Ref. [127] under terms of the CC-BY license.
Rotationally rigid structures consist of rigid geometric shapes that primarily rotate rather than deform when subjected to forces [128]. The NPR behavior can be altered by changing the node angles [53]. The design flexibility of such structures allows the generation of new structures by changing geometric shapes such as rectangles, triangles, squares, and parallelograms [129,130]. For example, by combining rigid shapes of different sizes, hierarchical NPR structures with novel 3D systems can be created [131]. Gao et al. [132] proposed a novel rotationally rigid lattice structure in which the Poisson’s ratio can also be tuned by strain. The deformation of this structure is mainly controlled by the bending of the truss element; but as the tensile load increases, the cross-truss units gradually rotate to adapt to the loading direction, causing the deformation mechanism to change from bending-dominated mode to tension-dominated mode. Thus, its Poisson’s ratio along all principal axes can be adjusted from positive to negative over a wide range.
Braided lattice structures are renowned for their exceptional specific stiffness, strength, and energy absorption capabilities [133]. The shape of the braided cross-section, which could be circular, octagonal, hexagonal, or rectangular, along with the perimeter, significantly influences the structural performance. It was reported that the energy absorption capacity of a braided lattice with a circular cross-section tends to diminish as the perimeter increases, and when the cross-sectional geometry is altered without altering the perimeter, braided lattices with a square cross-section demonstrate enhanced crashworthiness [133].
In addition, the spring-arm lattice structure is a lattice that replaces a rigid beam with a coil spring. This design shows great application potential in those fields requiring high elastic deformation. Through topology optimization and innovation of manufacturing methods, the spring-arm lattice structure can achieve super-elastic deformation, providing a new direction for designing lattice structures [53].
Hollow-strut lattice (HSL) structures represent a novel addition to the realm of mechanical metamaterials, drawing inspiration from the hollow stems found in natural entities such as morning glory vines and tubular corals [134,135,136]. For instance, complex HSL metamaterials crafted from TC4 alloy using PBF-L technology have demonstrated superior structural efficiency, boasting mechanical performance that surpasses those of solid-strut lattice (SSL) materials at equivalent relative densities [137]. However, despite these advancements, both numerical simulations and experimental tests have identified significant structural vulnerabilities in HSL metamaterials, primarily due to stress concentration in the intricately designed hollow node areas [138]. To address this, the implementation of node reinforcement has been shown to significantly improve stress distribution within these regions. A proposed solution involves the integration of thin plate lattice (TPL) configurations within the hollow interior of the HSL structure, forming a hybrid thin plate hollow strut lattice (TP-HSL) topology that leverages the structural benefits of both lattice types [127]. Noronha et al. [127] have successfully fabricated a TP-HSL metamaterial in TC4 alloy with a density changing from 1.0 to 1.8 g cm−3. This composite structure achieves a yield strength of 133–263 MPa, significantly exceeding the yield strength of 92–193 MPa observed in HSL structures of comparable density.
2.2. Classification Based on Deformation Mechanism
As shown in Figure 4, two groups of lattice structures are also noted on the basis of their mechanical behavior: tension-dominated and bending-dominated lattice structures. This classification is based on Maxwell’s criterion, which is judged by analyzing the relationship between strut number in connection to each node and the average cell node number [83]. Specifically, the expression of Maxwell’s criterion for the two-dimensional (2D) lattice structure is M = b − 2j + 3, while the expression for a 3D lattice structure is M = b − 3j + 6, where b represents the strut number and j represents the node number [61]. When M < 0, the lattice structure appears to be bending dominated. When M > 0, the structure is tension dominated [61]. Tension-dominated lattice structures are more mechanically efficient because the struts bear almost exclusively tensile or compressive loads, which can balance the external forces. In contrast, a bending-dominated lattice structure may bend at the nodes, resulting in a more flexible structure [40]. A hybrid lattice structure was designed on the basis of three typical tension-dominant basic lattice structure units and improved its isotropic properties by optimizing the lattice topology, thus surpassing the linear superposition principle of composite materials and significantly improving the specific strength [139].
Figure 4.
Design of lattice structures based on Maxwell’s criterion. (A) flexural structures; (B,C) tensile structures; (D) BCC lattice structures; (E) Octet-truss lattice structures; (F) FBCCXYZ lattice structures. Reproduced from Ref. [46] under terms of the CC-BY license.
As shown in Figure 5, lattice structures exhibit three stages in mechanical behavior: linear elastic state, plateau state, and densification stage [54]. In the initial linear elastic phase, the material exhibits a linear stress–strain relationship until the struts yield under the action of bending or stretching. Then it enters a plateau state, and the material begins to gradually collapse due to buckling, brittle facture, or plastic yielding of the struts. Finally, it reaches the densification stage, and the cell structures inside the material contact each other, resulting in a sharp rise in stress [140]. In terms of initial stiffness and yield strength, tension-dominated structures are generally superior to bending-dominated structures of the same relative density [141]. However, tension-dominant lattice structures may soften after yielding and may fail suddenly due to strut buckling or brittle extrusion, which limits their efficiency in dissipating deformation energy. In contrast, bending-dominated lattice structures can enter the stress plateau more slowly and present a relatively flat platform due to bending, thereby absorbing energy more efficiently [142]. Kadkhodapur et al. [141] numerically studied the relationship between the stress–strain curve and the failure mechanism of lattice structures, and they found that the tension-dominated lattice structure tends to fail layer by layer, while the bending-dominated lattice structure fails in shear band, which corresponds to the fluctuation in the stress–strain curve.
Figure 5.
Deformation mechanisms of stretch-dominated (or tension-dominated) and bending-dominated lattice structures. Reproduced from Ref. [46] under terms of the CC-BY license.
Porosity is usually a defining attribute of a lattice structure and plays a pivotal role in dictating its deformation characteristics and mechanical properties. Studies have consistently demonstrated that the strength and elastic modulus of these lattice structures are positively correlated with their relative density [47]. In 1982, Gibson introduced a pioneering model that predicts the elastic modulus and yield strength of 2D and 3D uniform lattice structures made up of elementary cells. This model has been instrumental in establishing the power–law relationship between the elastic modulus or yield strength of lattice structures and their relative density [143,144]:
where the relative density is estimated by working the ratio of the density of a lattice material to the density of the corresponding substrate (solid). and are the elastic modulus and yield strength of the material, respectively, while C1, C2, m and n are constants whose values depend on the type of cell and can be obtained by theoretical calculation or fitting experimental data. In addition, if it is a completely tension-dominated lattice structure, then m and n are equal to 1; for a perfect bending-dominated lattice structure, n is 2 and m is 3/2. As shown in Figure 6, Benedetti et al. [46] extensively analyzed the experimental data in massive literature.
Figure 6.
The relationship between properties and relative density of lattice structures. (a) The specific stiffness E, and (b) the specific strength of lattice structures as functions of their relative density. Reproduced from Ref. [46] under terms of the CC-BY license.
2.3. Design of Lattice Structures
2.3.1. Design Based on Basic Units
Lattice structure design can produce different density gradients and mechanical properties by adjusting the thickness and length of the struts and the size and shape of the cells. By varying the thickness of the struts, different density distributions can be achieved in lattice structures. For example, Van Grunsven et al. [145] demonstrated a three-layer lattice structure with a gradual increase in strut thickness in the vertical direction, while Maskery et al. [28] studied a BCC and BCCZ lattice structures with gradient density properties, which were achieved by a gradually increasing the strut diameter from top to bottom. Choy et al. [146] achieved a continuous change in density of a six-layer lattice structure by linearly changing the strut diameter from 0.04 mm to 1.2 mm. The plateau stress and specific energy absorption are 67% and 72%, respectively, higher than the corresponding ones of the sample with uniform density. The size and shape of the cells have significant effects on the density and mechanical behavior of lattice structures. Xiao et al. [147] introduced the changes in rhombohedral cell size to form a structure with gradient density by gradually altering the unit size in the Z direction, and they found that the gradient structure shows about 28% higher specific energy absorption than a uniform lattice structure. This approach enables the designer to precisely control the progressive characteristics and mechanical properties of a lattice structure. Changing the strut length is also an effective means of adjusting the structural stiffness. Khosroshahi et al. [148] showed that by altering the strut length while maintaining the strut thickness as unchanged, the mechanical properties of the lattice structure can be tailored. For example, increasing the strut length in the Z direction in a cubic lattice can create a functionally graded lattice with different stiffness for the helmet liner model, thereby improving collision acceleration performance by 70%.
2.3.2. Design Based on Mathematical Algorithms
In lattice structure design, unit design based on mathematical algorithms is an accurate and powerful method to transform theoretical models into actual manufacturable structures. TPMS, implemented by mathematical formulas, is a smooth infinitesimal surface with zero mean curvature and periodicity in three independent directions, which divides the space into two non-intersecting but continuous interlaced regions [48]. Figure 7 illustrates some common cell structures based on TPMS structural designs. Units designed using TPMS, such as Schoen Gyroid cells, have been successfully applied to fabricate TC4 lattice structures [149]. These structures exhibit an elastic modulus of 1.13 GPa and strength of 41 MPa in experiments. Maskery et al. [150] further found that the TPMS lattice structure not only has high specific stiffness and axisymmetric stiffness, high surface–volume ratio, and 100% modulus improvement, but also has excellent pore connectivity. These characteristics allow for the TPMS method to be widely used to design homogeneous lattice structures. Al-ketan et al. [100] summarized the lattice structures of multifunctional mechanical metamaterials based on TPMS and demonstrated the generation of different unit cell shapes using TPMS mathematical formulas. These lattice structures not only receive attractive attention in theory, but also show great potential in practical applications. With this approach, designers can precisely control the geometric properties of a lattice structure to meet specific mechanical and functional requirements.
Figure 7.
TPMS unit cells: (a) Primitive Schwartz, (b) Schoen Gyroid, (c) Schwarz Diamond, (d) Schoen-I-WP (IWP), (e) Fischer—Koch S (FKS), and (f) Schoen-F-RD (FRD). Reproduced from Ref. [151] under terms of the CC-BY license.
2.3.3. Design Based on Gradient Structure
The concept of gradient structure in lattice structure design is inspired by the structures with variable density and porosity in nature. By combining multiple units with different topological structures, it exhibits mechanical properties different from those of traditional uniform lattice structure [3]. When designing a gradient lattice structure, the desired gradient characteristics can be achieved by adjusting parameters such as unit size, length and diameter of struts, thereby giving the material different levels of function and characteristics. Voronoi Mosaic is another method to realize gradient lattice structure. It distributes multiple points in a specific Euclidean space through spatial partitioning to form a lightweight anisotropic lattice structure with gradient characteristics [151].
Yue et al. [152] designed and studied a series of bidirectional gradient lattice structures to regulate the performance by adjusting the side length of a lattice unit on the XY plane. Their findings indicated that during an oblique impact scenario, the symmetrical gradient topology exhibits 42.26% and 47.63% greater specific energy absorption than the uniform lattice structure and the unidirectional gradient lattice structure, respectively. This suggests that the bidirectional gradient topology possesses enhanced resistance to impacts when subjected to oblique loads. Han and Lu [153] introduced a dimensional gradient approach for crafting non-uniform lattice structures, leveraging AM techniques. This innovative method focuses on tailoring the sizes of unit cell structures across a region to achieve a uniform elastic modulus distribution, effectively supplanting the traditional “relative density model” used in topology optimization. The goal is to align the mechanical performance of lattice structures more closely with the outcomes of idealized topology optimization. To achieve this, the design ensures comprehensive coverage of the design domain by unit cells, with each size discretized across multiple gradients. This approach results in a non-uniform lattice structure that is meticulously designed according to the size gradient method. Zhao et al. [154] investigated the effect of gradient direction on mechanical performance and energy absorption in functionally gradient (FG) lattice structures. FG structures were manufactured from perpendicular to parallel to the loading direction (θ = 0−90°). The results showed that the load-bearing capacity during compression increases with the increase in θ. By changing θ, adjustable mechanical properties and energy absorption can be achieved. The FG structure with θ = 0° has the highest elastoplastic properties, while the FG structure with θ = 90° absorbs the most energy before densification. Figure 8 shows the design route of a TC4 gradient lattice structure [40].
Figure 8.
Gradient lattice structure design. Reproduced with permission from Ref. [40]. Copyright 2021 Elsevier.
3. Mechanical Properties of Lattice Structures
The lattice structure not only provides excellent specific stiffness and strength in lightweight design, but also shows excellent performance in terms of energy absorption, fatigue resistance, and fracture resistance. As the mechanical properties are the key factors for the success of the applications of lattice structures, this section will focus on the mechanical properties of lattice structures, including their elastic modulus, strength, fatigue resistance and fracture resistance under cyclic loads. These properties are affected by a number of factors, including the design of the cell, the size of the pores, the type of material used, and the manufacturing technology employed for lattice structures. For example, the stiffness and strength of the lattice structure can be significantly tailored by adjusting the unit geometry, connection mode and porosity of the unit cells [113]. By changing the porosity, the energy absorption capacity and impact resistance of the structure can be adjusted [5]. In addition, the choice of materials and manufacturing methods also have a decisive impact on the final performance of metal lattice structures.
3.1. The Effect of Different Unit Cells
Owing to their unique cell design, lattice structures exhibit deformation behavior different from solid metal materials. Lattice structures composed of distinct cell configurations, despite having identical relative densities, can display varied mechanical responses [40]. As outlined in Section 2.2, shell-based lattice structures can be broadly categorized into two deformation modes: bending-dominated lattice and tension-dominated lattice. Bending-dominated lattice structures undergo elastic deformation before reaching the elastic limit and may subsequently undergo plastic deformation, buckling, or fracture. They usually have low yield strength but high energy absorption capacity. On the other hand, tension-dominated lattice structures show yielding response after softening and have relatively high elastic modulus and yield strength.
In strut-based lattice structures, the deformation behavior usually involves buckling and bending of the structs. In practical applications, these two deformation modes are often coupled to each other. Li et al. [155] fabricated TC4 alloy lattice structures with different unit cells (i.e., cube, G7 and rhombohedral dodecahedron) by the PBF-EB method, and showed that by designing specific buckling and bending structures, the angles between the applied load and the struts (as a bending member) can be precisely designed to be 36°, 30° and 23°. Through compression tests, it was observed that as the angle decreases, the plateau region of the stress–strain plot of the lattice structure becomes smoother, which indicates that the lattice structure exhibits good energy absorption capacity during compression.
In general, the basic unit cell parameters of a lattice structure include the strut thickness, strut length and unit cell size or a combination thereof. By adjusting these unit cell parameters, a variety of mechanical responses can be generated. Maskery et al. [5] designed a lattice structure in such a way that the strut diameter gradually decreases from the bottom to the top of the lattice structure. Such a design enables the gradient change in density from the bottom to the top while keeping the overall average density unchanged. The energy absorption per unit volume of the lattice structure with the gradient change in the strut diameter is about 114% higher than that of the uniform lattice structure. Britt et al. [156] studied the influence of strut thickness on the microstructure and mechanical properties of 316L stainless steel, and fabricated lattice structures with square cross sections. Their work showed that the grain size and morphology of the material are also altered along the direction of the strut thickness. Compared with the thicker struts, the lattice structure with 0.5 mm struts shows more significant grain elongation in the strut direction and larger subgrain solid solution cell diameters. Therefore, the lattice structure with 0.5 mm struts exhibits lower hardness compared to the counterparts with thicker struts. As shown in Figure 9, Zhong et al. [157] explored the effects of two design strategies on the performance of lattice structures by replacing traditional solid struts with hollow and hierarchical struts. These designs effectively reduced the cross-section moment of inertia (l/d) of the struts while keeping the relative density of the lattice structure unchanged, as shown in Figure 9c,d. This design change increases the deformation ability of the lattice structure through tension and shear, which improves its strength and resistance to inelastic buckling. The compressive stress–strain curve shows that the design strategy of changing from solid struts to hollow struts increases the yield strength from 34.0 ± 0.8 MPa to 40.1 ± 0.4 MPa, while the design strategy changing from solid struts to hierarchical struts enhances the yield strength from 5.2 ± 0.1 MPa to 8.5 ± 0.1 MPa. Hafeez et al. [158] used PBF-L technology to prepare β-type Ti-35Nb-2Ta-3Zr scaffolds with different pore sizes and found that the pore diameter of the scaffold is a key factor affecting its superelastic performance and strain recovery ability. Specifically, load-to-unload tests under 3% strain showed that an increase in pore size is associated with higher pure elastic strain. It shows that the superelastic behavior and recovery properties of the scaffold after deformation can be effectively manipulated by adjusting the pore size.
Figure 9.
The effect of replacing solid struts by hollow or layered struts. (a,b) Schematic diagram; (c,d) l/d; (e,f) predicted deformation under tensile + shear (η tensile + shear, %); and (g,h) representative compressive stress–strain plots for each design strategy (experiment). Reproduced from Ref. [157] under terms of the CC-BY license.
Furthermore, different lattice structures have a crucial impact on performance. As shown in Figure 10, Liu et al. [159] used PBF-L technology to fabricate Ti-24Nb-4Zr-8Sn (Ti2448) lattice structures with different cell structures (cube, topology optimization and rhombohedral dodecahedron). Their results showed that the topology optimized cell structure not only exhibits a low elastic modulus (about 2.3 GPa), but also has a high compressive strength (about 58 MPa). Analysis via finite element modeling indicated that the rhombohedral dodecahedral lattice structure experiences elevated local stress at its nodes. This phenomenon is likely due to the uneven distribution of stress and the presence of localized stress concentrations, which stem from the geometric features of the unit cell. Consequently, the variations in energy absorption capabilities among these lattice structures are predominantly a result of their internal stress distribution patterns and the extent of local stress concentration. CP-Ti lattice structures, specifically those with topological optimization and a rhombohedral dodecahedral configuration, were produced using PBF-L technology, and the fatigue characteristics of the two lattice structures were investigated [85]. It was found that the topologically optimized structure shows much lower maximum stress compared with the rhombohedral lattice structure, and the maximum stress is located on the horizontal planes, which is also the starting position of the fatigue crack.
Figure 10.
Stress–strain curves for different Ti2448 lattice structures at different strain levels: (a) 1–6% strain; (b) 1% strain; and (c) 2% strain. (d) Stress distribution at 1% strain. Reproduced with permission from Ref. [159]. Copyright 2018 Elsevier.
3.2. The Effect of Relative Density
The relative density of a lattice structure, which is the ratio of the density of a lattice structure to the density of the base material in fully dense solid, has a significant effect on its mechanical properties and dominant behavior. Changes in relative density can alter the dominant properties of a structure; high relative density tends to produce predominant tension-dominated structures, while low relative density is associated with bending-dominated structures [160]. In general, tension-dominated structures exhibit higher initial stiffness and yield strength while maintaining similar relative densities. Although tension-dominated structures are mechanically superior, they are also more susceptible to sudden shear failure. On the contrary, bending-dominated lattice structures are more efficient in dissipating deformation energy due to their flexibility.
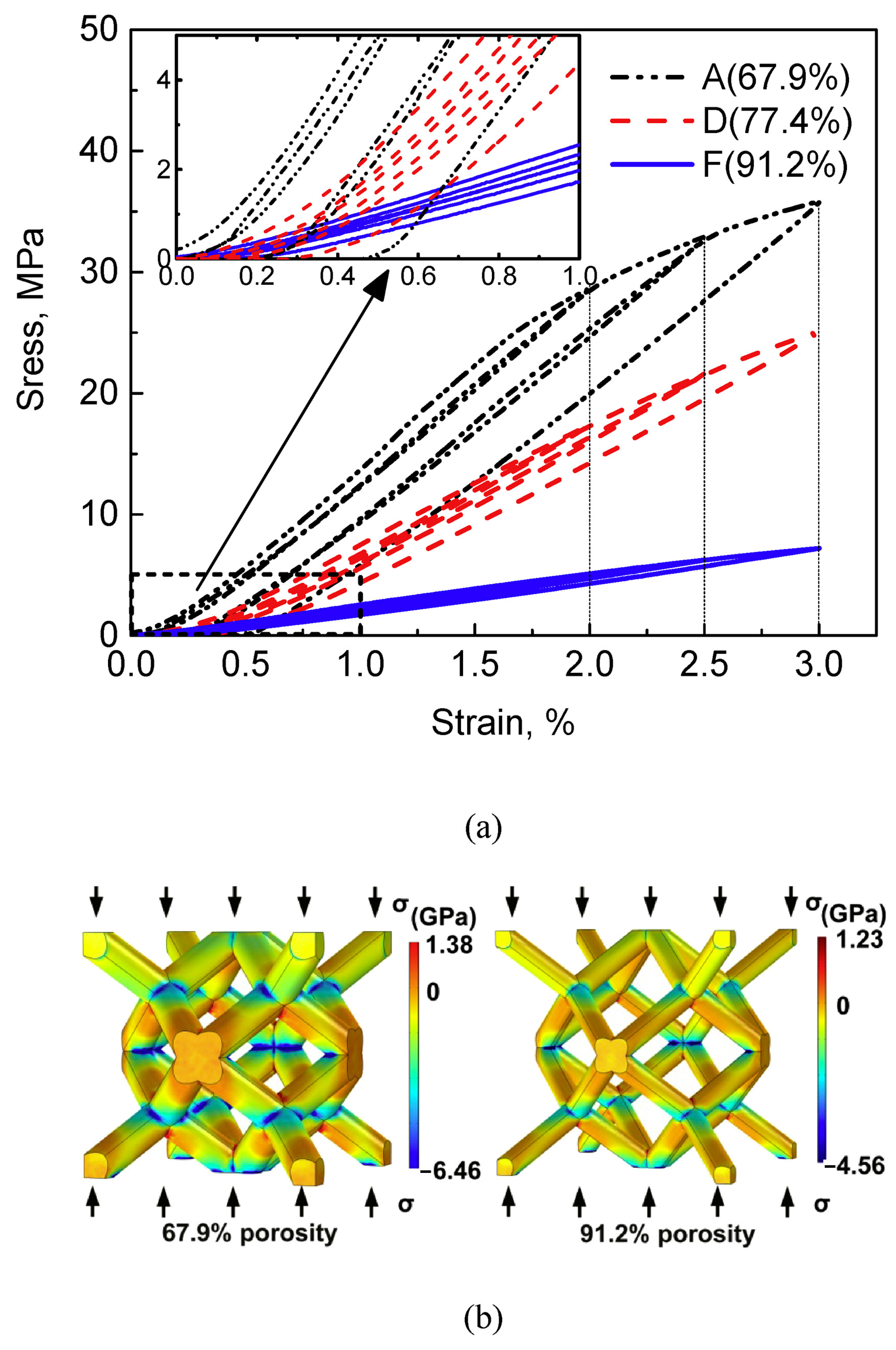
Porosity is a key factor affecting the performance of metal lattice structures, which is directly related to their elasticity, strength, stiffness and fatigue life. As shown in Figure 11, lattice structures of different porosity levels demonstrate excellent superelastic properties under cyclic uniaxial compression loading, and the superelastic properties are enhanced as the porosity of the lattice structures is increased. For example, the sample with 91.2% porosity recovers almost completely at an elastic strain of 3%, while the sample with 67.9% porosity recovers only to 0.5% [161]. Figure 12 compares the Gibson–Ashby model for various bending-dominated and tension-dominated metal lattice structures produced by AM technology [157]. The model is able to predict the overall trend (red line) for both classes of lattice structures, but the deviations of the effective elastic modulus and effective yield strength are often as high as 200%, especially when the relative density of the lattice structures exceeds 0.2. The reason for this deviation is that only the deformation caused by tension or bending is considered in the Gibson–Ashby model because it was developed from the Euler–Bernoulli beam theory. The beam slenderness ratio of no less than 20 is the prerequisite condition for simplifying the beam deformation mechanism. In short, regardless of the model adopted, the modulus and strength properties of the lattice structures are always positively correlated with the relative density.
Figure 11.
Mechanical properties of lattice structure with different porosity levels. (a) Superelastic properties of Ti2448 lattice structures of different porosity levels, and (b) stress distribution under 3% compressive strain in rhombohedral dodecahedron structures of different porosity levels. Reproduced with permission from Ref. [161]. Copyright 2016 Elsevier.
Figure 12.
Applicability of the Gibson–Ashby model (red curve) to lattice structures manufactured by AM. (a,d) Bending-dominated TC4 lattice structures. (b,e) Tension-dominated TC4 lattice structures. (c,f) Other lattice structures subjected to bending. The blue curves are the corresponding prediction of the new theoretical model. * Represents the properties of the lattice structure. Reproduced from Ref. [157] under terms of the CC-BY license.
3.3. The Effect of Material Systems
Even with the same lattice structure design, material properties can also significantly influence the performance of a lattice structure [162]. Ahmadi et al. [163] revealed the fatigue resistance hierarchy among different metal lattice structures: Co-Cr alloy > CP-Ti > pure Ta > TC4. Their findings emphasized that material compositions and manufacturing imperfections hold greater sway over the standardized S-N curves of AM-produced metamaterials, particularly in the high-cycle fatigue (HCF) domain, compared with topological design aspects like cell type and porosity. However, in the low-cycle fatigue (LCF) regions, the impacts of these factors differ. Attar et al. [164] utilized PBF-L technology to fabricate porous components from CP-Ti and Ti-TiB composites, which exhibit distinct microstructures and mechanical properties. The CP-Ti samples are featured with a martensitic (α’) microstructure, while the Ti-TiB composites contain acicular TiB particles dispersed within an α-Ti matrix. As the porosity is increased, these porous samples exhibit worse mechanical properties. However, the porous Ti-TiB samples demonstrate notably higher yield strength and elastic modulus (234–767 MPa and 25–84 GPa, respectively) than the porous CP-Ti samples (113–350 MPa and 13–68 GPa, respectively). This enhancement is primarily attributed to the strengthening effect of the reinforcing TiB particles in the Ti-TiB composites. Peloquin et al. [165] investigated the strength of lattice structures made of five different materials and pointed out that the mechanical properties of these lattice materials are not linearly related to the strength of the substrate. While porous samples made from BioMed Amber (BMA), BioMed Clear (BMC), and Tough 2000 (TGH) are stronger than those made from Elastic 50A (ELA) and Flexible 80A (FLX), the strength of the substrate differs by one order of magnitude, whereas the strength of the porous samples varies by two orders of magnitude. This demonstrates that both material properties and lattice geometry are crucial in determining the mechanical behavior of 3D-printed lattice structures. As shown in Figure 13, researchers observed that the Ti2448 sample has a lower elastic modulus compared with the TC4 sample at the same fatigue strength level [161]. Specifically, at a fatigue strength of 4 MPa, the elastic modulus of Ti2448 is approximately 1.44 GPa, whereas that of TC4 is approximately 3 GPa. Moreover, Ti2448 samples demonstrate superior superelastic properties compared to TC4 samples with identical structure and porosity. Furthermore, the β-type Ti2448 lattice structure with 70% porosity was fabricated using PBF-EB technology [166]. At lower beam scanning speeds, the struts are stronger and contain fewer defects due to the increased input energy, resulting in an increased strength of at least twice that of the TC4 porous part with the same porosity. This enhancement is credited to the high-temperature preheating effect in the PBF-EB process, which promotes the precipitation of the α phase at the β grain boundaries, thereby enhancing the overall performance of the material.
Figure 13.
Comparison of lattice structure properties of different alloys. (a) S-N and (b) normalized S-N of Ti2448 and TC4 lattice structures with different porosity, and (c) the relationship between elastic modulus and fatigue strength of porous Ti2448 and TC4 samples. Reproduced with permission from Ref. [161]. Copyright 2016, Elsevier.
3.4. The Effect of Loading Directions
Since lattice structure is composed of columnar supports with periodic or random topology, its mechanical response is largely affected by the loading direction [37]. In practical applications, the direction of the applied load may vary greatly, making the orientation of a structure a key factor affecting its macroscopic mechanical properties. By changing the loading direction, the stress field inside the beam can be significantly changed, thus affecting their stiffness, strength and energy absorption capacity [37]. This includes two aspects; one is the cell direction used to construct a lattice structure, and the other is the different loading methods.
In general, a uniform lattice structure consists of cells of identical shape and size in space, which are evenly distributed throughout the lattice structure [151]. In order to explore loading direction dependence on the mechanical performance of uniform lattice structures, Cutolo et al. [167] studied the effect of three loading directions relative to the cell direction on the mechanical performance of a TC4 diamond lattice structure. The results confirmed that the lattice structure demonstrates enhanced mechanical performance (except for energy absorption) when the loading direction is changed from [001]. In particular, the stiffness of the [011] oriented sample is increased by 60% compared to that of the [001] oriented sample. Cutolo et al. [168] studied the fatigue properties of a TC4 diamond-based lattice structure manufactured by PBF-L technology and found that its fatigue resistance is significantly affected by the loading direction. As shown in Figure 14, among all tested orientations, the lattice structures with the [011] orientation exhibit the highest fatigue resistance. Weissmann et al. [169] further studied the effect of cell orientation on mechanical performance and found that the lattice structures with different orientations show similar oblique shear band distribution under compression. As the cell orientation angle increases, the compressive strength and elastic modulus of the material decrease. At 0° orientation, when the lattice structures are perpendicular to the loading direction, the struts are evenly stressed, showing high modulus and strength. As the orientation angle increases, the struts are stressed unevenly, resulting in positional deterioration and larger displacement, which reduces the modulus and strength of the lattice structure. In short, for a uniform lattice structure, altering the loading direction or the cell orientation is equivalent to changing the angle between the force and the struts, thereby changing its deformation mode and performance.
Figure 14.
Loading directions dependent on the mechanical properties of lattice structures. Reproduced with permission from Ref. [168]. Copyright 2022 Elsevier.
Different loading methods also affect the deformation and mechanical performance of the lattice structure, including compression, tension, local compression, torsion, three-point bending, and their combination. As shown in Figure 15, in the compression tests, the 2D lattice structures usually undergo a process from local yielding to overall yielding and finally compaction. In the tensile tests, the 3D lattice structure is stretched, and the middle part becomes narrower. Three-point bending mainly causes deformation in the middle part of the structure. Local compression is concentrated in the compression area. In the torsion tests, the entire lattice structure is distorted as a whole. Shear testing compresses the structure and changes the angle of the struts. Local torsion results in significant local deformation. Under combined loads such as shear-compression and compression-torsion, the lattice structures exhibit more complex deformation behavior. These findings provide a theoretical basis for designing lattice structures that can optimize energy absorption performance for specific loading conditions [9].
Figure 15.
Mechanical response of lattice structures to diverse loading scenarios: (a) compression, (b) tension, (c) three-point bending, (d) localized compression, (e) torsional stress, (f) shear forces, (g) localized torsion, (h) a combination of shear and compression, and (i) combined compression and torsion. Reproduced with permission from Ref. [9]. Copyright 2022 Elsevier.
3.5. The Effect of AM Methods
The preparation process by AM is a key factor affecting the mechanical performance of a metal lattice structure. Different AM technologies, such as PBF-EB and PBF-L, would lead to significant differences in the microstructure and performance of the final products due to the differences in processing parameters [170]. Liu et al. [15] demonstrated this by using PBF-EB and PBF-L techniques to prepare the β-type biomedical Ti2448 alloy lattice structure. The high-temperature environment (approximately 500 °C) and relatively slow cooling rate in the PBF-EB process favor the formation of α + β microstructure, which in turn enhances the elastic modulus to approximately 1.34 ± 0.04 GPa. On the contrary, the lower building plate temperature (around 200 °C) and rapid cooling rate during the PBF-L process are beneficial to the formation of very fine β-phase dendrites, thereby reducing the elastic modulus to about 0.95 ± 0.05 GPa. Liu et al. [171] further investigated the mechanical performance of Ti2448 alloy lattice structures manufactured by PBF-L using different processing parameters. Their results showed that under high incident energy density, the evaporation of tin is a primary cause of pore formation. The optimal process conditions can result in a yield strength of 51 MPa, a density of less than 1 g/cm3 and a relative density of solid struts as high as 99.3%. Analysis indicated that the early failure of the struts is primarily due to the weakness caused by pores, uneven strut thickness, and the presence of unmelted powder in the struts. These findings underscored the importance of processing optimization in AM to achieve desired mechanical properties and structural integrity in the lattice structures. Other microstructural features, such as grain size and morphology, preferred crystallographic orientation, residual stresses and deformation mechanisms, can also exert a significant impact on the mechanical properties of a lattice structure. The size and shape of the grains within the lattice structure can greatly impact its yield strength and ductility. Fine grains often lead to higher strength according to the Hall–Petch effect, while coarse grains may offer better ductility [172]. In the AM process, the internal residual stress caused by the uneven cooling and solidification process would affect the mechanical properties of the lattice structure and the sensitivity to cracking or deformation. It was reported that residual stress has a great influence on the elastic modulus of AM-produced I-WP 316L stainless steel. The samples with residual stress show a modulus of about 52 GPa, while the samples without residual stress have a modulus of about 70 GPa [173]. Various deformation mechanisms of the lattice structure under loading, such as dislocation motion, twinning or martensitic phase transformation, can increase the load carrying capacity and energy absorption of the lattice structure [174]. The texture of the lattice structure or the preferred growth direction of crystals can influence deformation and failure mechanisms. Certain orientations may be more resistant to deformation, thereby affecting the overall mechanical behavior of the structure. It was found that more uniform and fine microstructure and isotropy in the TC4 lattice structure results in higher compressive mechanical properties [175].
In the AM field, even though the same AM technology and process parameters are used, the lattice structures with different materials and structural designs would exhibit different surface roughness, which directly affects their fatigue resistance. Ahmadi et al. [163] showed that the strut-based metal lattice structures with smooth surfaces have better fatigue resistance than the similar structures with rough surfaces. The TPMS lattice structure helps to reduce stress concentration owing to its curved shape, thus enhancing fatigue resistance [176]. However, Yanez et al. [177] discovered that the onset of cracking within TPMS lattice structures correlates with stress concentrations at surface imperfections. This suggests that increased surface roughness could potentially facilitate the formation of cracks.
Table 3 compares the fatigue strength of various lattice structures made from different materials and using different AM techniques, in terms of the basic units, porosity, and manufacturing methods. The use of AM technology has a significant influence on the microstructure and mechanical properties of lattice structures. For example, Heinl et al. [178] and Hrabe et al. [179], respectively, used PBF-L and PBF-EB to fabricate the TC4 alloy diamond lattice structures. Their results showed that at 60% porosity, the sample manufactured by PBF-L technology demonstrates a yield strength of 112.7 ± 0.6 MPa, while the yield strength of the sample manufactured by PBF-EB technology is 99.7 ± 2.9 MPa. The lattice structure manufactured by PBF-L exhibits higher yield strength, mainly because the α’ phase plays a dominant role in its microstructure, which is formed during rapid cooling from the β zone to the α zone, enhancing the overall performance of the alloy. Compared with PBF-L and PBF-EB, other AM techniques such as BJ and DIW generally have lower accuracy in manufacturing metal lattice structures [40]. In the study by Li et al. [180], the Fe lattice structure with adamantine cell and 80% porosity fabricated by these technologies has a strength of only 40 MPa and an elastic modulus of 1.6–1.8 GPa, both of which are relatively low. This may be attributed to the fact that lattice structures manufactured by BJ and DIW technologies have low porosity, which affects their mechanical properties. In addition, the evaporation of the binder during the sintering process may also cause the undesirable structural morphology to achieve ideal mechanical properties.
Table 3.
Fatigue characteristics for assorted lattice configurations fabricated by AM techniques. Data were compiled from compression-compression fatigue analyses. S, H, A represent post-processing methods: sand-blasting, hot isostatic pressing, and annealing, respectively. Reprinted with permission from Ref. [40]. Copyright 2021 Elsevier.
4. Energy Absorption Performance of Lattice Structures
The stress–strain plot of a lattice structure defines several parameters that are used to determine its mechanical performance under compression. Generally, the normal stress of a lattice structure is defined as the ratio of the instantaneous force to the effective area, and the normal strain is the ratio of the actual displacement to its original height. Based on the stress–strain curve, the plateau stress (σpl) can be expressed as the average stress between the yield strain (εy) and the densification strain (εd), as expressed by the following:
The strain at which the structure begins to densify is considered the densification strain or it defines the limit of using the lattice structures in energy absorption applications. When a lattice structure is subjected to compression, its porosity decreases with the increase in strain, and once the densification strain is reached, the stress increases significantly. Gibson and Ashby [185] defined the theoretical densification strain (εd) as the limit at which all porosity of the structure disappears (1 − ρ*/ρmat, where ρ* is the original density of the lattice material, and ρmat is the density of the parent material). However, the actual densification strain is smaller than this theoretical value, which can be defined as the plateau end strain or onset of densification (εcd). Li et al. [186] proposed an energy efficiency-based method to determine the plateau end strain. The energy efficiency parameter (η) for a uniaxial compression of a lattice structure is expressed by the following:
where σ is stress and ε is strain. The representative strain of densification, i.e., the plateau end strain, can be defined by Equation (5), which provides the highest energy absorption efficiency or when the energy efficiency (η) reaches its maximum value on the efficiency–strain curve.
The energy absorption capacity of a lattice structure is stated as the energy absorption per unit volume (Wv) as presented in Equation (6), i.e., the area under a stress–strain plot up to strain ε, which is calculated as follows:
A better comparison could be made when the specific energy absorption (SEA) capacities are compared, which is the energy absorption capacity per unit mass and is expressed as follows:
Table 4, Table 5 and Table 6 present a comprehensive analysis of structures based on struts, shells, and hollow struts. These tables summarize the findings from various research teams that applied multiple theoretical approaches to investigate the mechanical behavior and energy absorption characteristics of different lattice configurations such as SC-BCC, SC-FCC, Octet, and BCC-6H. The results indicated that the mechanical response and energy absorption capacity of lattice structures are influenced by factors such as unit cell geometry, loading direction, relative density, and material type. The strut-based structures show tunable anisotropy and energy absorption through nodal connections and load direction. The shell-based structures benefit from gradient designs and bending deformations for enhanced energy absorption. The hollow-strut-based lattice structures exhibit complex deformation mechanisms that can be optimized for requirements of specific energy absorption.
Table 4.
Summary of strut-based lattice structures. Reprinted with permission from Ref. [9]. Copyright 2022 Elsevier.
Table 5.
Shell-based Lattice structures. Reprinted with permission from Ref. [9]. Copyright 2022 Elsevier.
Table 6.
Hollow strut-based lattice structures. Reprinted with permission from Ref. [9]. Copyright 2022 Elsevier.
Different structural design methods are also important for the energy absorption of lattice structures. Zhao et al. [198] used TC4 material to fabricate TPMS and computer-aided design (CAD) BCC lattice structures with different volume fractions (10–30%) using PBF-L technology. Compression tests showed that the lattice structure generated by TPMS method has advantages in local geometric characteristics. Compared with the CAD BCC lattice, the TPMS-based lattice structure demonstrates increased elastic modulus, yield strength and compressive strength by 18.9–42.2%, 19.2–29.5% and 2–36.6%, respectively. The study also observed that the TPMS-based samples exhibit excellent energy absorption, especially at a volume fraction of 30%, the energy absorbed at up to 50% strain is approximately three times that of the CAD BCC samples of the same volume fraction. As shown in Figure 16, Bai et al. [199] selected the BCC structure as the basic model and adjusted the cell size while keeping the strut diameter unchanged, and successfully manufactured a size gradient (SG) lattice structure with variable density and topological configuration. Compared with the uniform BCC structure, the SG BCC structure exhibits about 15.6% higher elastic modulus and strength than the uniform structure and has better resistance and support ability under small deformation. In addition, the energy absorption curve of the SG BCC structure is higher than that of other structures. When the lattice structure is densified, the cumulative energy absorption value reaches 0.462 J/cm3, which is higher than those of uniform lattice structure (0.394 J/cm3) and RG BCC structure (0.388 J/cm3).
Figure 16.
Performance of gradient lattice structure. (a) Lattice structures with different gradients and (b) their corresponding stress–strain curves under compression. The numbers 1–7 marked in the figure represent the collapsed layers of the corresponding lattice structures. (c,d) are partially enlarged images. Reprinted with permission from Ref. [199]. Copyright 2020 Elsevier.
The gradient lattice structure shows very sensitive mechanical responses to the loading direction. As shown in Figure 17, Bai et al. [200] found in their study of the gradient BCC lattice structure that when the gradient direction is consistent with the loading direction, the structure exhibits better mechanical performance and energy absorption efficiency. Specifically, compared with the structure whose gradient direction is not parallel to the loading direction, the elastic modulus of the structure is increased by 17.53%, and the energy absorption capacity is significantly increased by 59.43%. In addition, since the deformation mode of the gradient structure is different from the shear band failure of the uniform lattice structure, the gradient lattice structure exhibits the characteristics of layer-by-layer collapse when it fails, which indicates that the rational design of the gradient direction can effectively optimize the response and load-bearing capacity of the lattice structure under the action of external forces. Wang et al. [201] studied the modified BCC structure and observed that when loading along the vertical direction of the structure, the stress–strain curve would oscillate significantly due to layer-by-layer collapse, which is not conducive to energy absorption. When loading horizontally, the entire structure collapses and the curve is smoother, which is conducive to energy absorption. Zhao et al. [154] designed and fabricated TC4 material with a functionally gradient (FG) lattice structure with different gradient directions. They found that the mechanical properties of lattice structures can be effectively tailored by adjusting the gradient direction. In particular, when the gradient direction (θ = 0°) is parallel to the loading direction, the FG lattice structure exhibits the best elastoplastic properties. Compared with the FG lattice structure with a gradient direction (θ = 90°) perpendicular to the loading direction, the elastic modulus, yield strength and compressive strength of the FGS-0 (θ = 0°) sample increase by 16.9%, 39.8% and 70.1%, respectively. This excellent performance is attributed to the consistent average volume fraction of each layer in the structure, and the stress and plastic strain are more evenly distributed in the structure, allowing the FG lattice structure to exhibit more effective energy absorption and load-carrying capacity when subjected to compressive loads. The gradient direction and loading direction also affect the deformation of the TPMS structure. When the density gradient is perpendicular to the loading direction, the compression response is similar to that of a uniform structure because the density is consistent along the loading direction, resulting in a uniform distribution of deformation. However, when the density gradient is parallel to the loading direction, the deformation of the structure starts from the top layer and gradually collapses downward layer by layer [200].
Figure 17.
Deformation of lattice structure in different gradient directions: (a) gradient lattice structure in two directions; (b) experimental and simulated deformation process. Reproduced from Ref. [200] under terms of the CC-BY license.
Over the past few decades, there has been a significant focus on investigating the mechanical characteristics of 3D lattice structures with strut configurations. Figure 18 is an Ashby diagram comparing the specific energy absorption (SEA) of the FG lattice structures. One can find that the PA 11 FG lattice structure has superior energy absorption capacity compared to most FG lattices made from polymer or plastic materials with similar relative densities. For instance, the PA 11 FG lattice has a higher SEA than the SC-BCC-FCC made of nylon, the BCC–OT made of VeroWhite, bio-inspired lattices made of Thermoplastic Polyurethane (TPU), and the RD-OT lattices made of Tough 2000 resin. Additionally, the PA 11 FG lattices also outperform some cell size-graded (hierarchical) SC–OT lattices made from PA 2200. Metal lattices appear to be more suitable for energy absorption, with the ability to recover from higher compression strains [202], whereas ceramic hollow-wall lattices show more suitable structural properties for applications with higher fracture resistance [88].
Figure 18.
Comparison of specific energy absorption of various lattice structures (the PA 11 FG lattice structures from this study are shown in red). Reproduced from Ref. [203] under terms of the CC-BY license.
In addition, it was reported that when the strut diameter or thickness is graded within a lattice structure, the cumulative energy absorption exhibits a power-like relationship with strain. Maskery et al. [5] determined the exponent values of this power relationship to be 2 and 3 for the energy absorption capacity, respectively, for the AlSi10Mg and PA 2200 BCC lattice specimens. Although the lattices with graded strut diameter or thickness initially absorb significantly less energy during compression, the energy absorption gradually increases due to the layer-by-layer collapse, ultimately achieving a higher total energy absorption capacity compared to uniform lattices.
Tancogne-Dejean and Mohr [27] explored the mechanical properties of SC, BCC, and FCC lattice structures by combining theoretical, experimental, and simulation approaches, and derived formulas for predicting E and the strength of the structures. Their findings revealed that the initial yield anisotropy in isotropic strut-based lattices is less significant than that observed in octagonal truss lattices. Mueller et al. [187] utilized ABAQUS for nonlinear finite element simulations to assess the quasi-static and dynamic compressive responses of four lattice cell configurations, revealing that energy absorption is influenced by cell geometry, the direction of loading, and the rate of loading. Leary et al. [61] analyzed the compressive properties of BCC and FCC-Z lattices made from AM Inconel 625, highlighting their ductility and suitability for energy absorption, with the FCC-Z lattices exhibiting optimal specific strength and stiffness at a 2 mm cell size. In addition, AM technology has enabled surface-based flake lattices to become a new type of mechanical metamaterial with excellent weight-to-strength performance and multifunctionality. Liu et al. [204] fabricated TC4 lattice samples using PBF-L technology, which shows excellent energy absorption capabilities. The results showed that increasing the shell offset is an effective strategy to enhance the mechanical properties and energy absorption rate of the flake lattice by more than 200%.
5. Conclusions and Future Perspectives
5.1. Summary
This article discusses various topological shapes like strut-based, surface-based, and shell-based lattices, and their mechanical behavior is influenced by deformation mechanisms to achieve high specific strength and energy absorption. The article explores design methods, including basic unit cell design, TPMS mathematical algorithms, and gradient structures that can fine-tune mechanical properties by adjusting geometric parameters. It also examines factors that affect the performance of lattice structures, such as unit cell type, relative density, material system, loading direction, and manufacturing process, highlighting the trade-offs between tension-dominated and bending-dominated lattice structures. The article identifies that parameter optimization and material selection are key to enhancing the performance of lattice structures in energy absorption applications. However, although significant progress has been made in the design and manufacturing of lattice structures, there are still some challenges in practical applications.
- Printing feasibility and design optimization: In addition to considering how to design excellent performance, the study of lattice structure also needs to consider the feasibility of whether the design structure can be printed completely. The problems of unmelted powder and semi-melted powder that may occur in the printing process need to be solved by optimizing the process parameters. In addition, how to apply advanced technologies such as machine learning to automatically generate printable lattice structure design is an important direction for future research. At present, there have been studies to automatically generate lattice structures with specific properties from machine learning. The printability of structures can be considered in this process, which needs more research.
- Limiting factors of the AM-produced lattice structure: Additive manufacturing technology faces many challenges in the manufacturing of lattice structures. Factors such as metal material type, structural parameters, microstructure, surface roughness, porosity, and high residual thermal stress may limit the performance improvement of lattice structures. In addition, although PBF-L/PBF-EB technology can produce high-resolution microstructures, the size of its parts is limited, and the unmelted powder and semi-melted powder attached to the surface may cause structural deformation. Therefore, future research needs to address these technical limitations in order to achieve wider applications.
- Establishing the relationship between material–structure–process–performance: In order to improve the performance of AM-produced lattice structure, researchers need to deeply explore the formation mechanism of defects in the manufacturing process, optimize the forming quality and reduce defects by adjusting the process parameters such as laser power and scanning speed. Meanwhile, by establishing the mapping relationship between material, structure, process and performance, the accurate matching design of process parameters is realized. In addition, it is necessary to carry out research on the influence of microstructure, macrostructure and internal defects on structural failure, reveal the competition mechanism of these factors, and provide a theoretical basis for the optimization of lattice structures. For extreme application environments, it is necessary to simulate these conditions for experimental research to understand the damage evolution process of lattice structures in extreme environments.
5.2. Future Perspectives
The combination of design and print feasibility: future research can focus on developing new algorithms and tools to consider the printability of lattice structures at the design stage. Combining machine learning and artificial intelligence, lattice structures that meet specific performance requirements and are easy to print can be automatically generated.
- Lightweight design of large-scale structural parts: Lightweight design of large-scale structural parts above meter level is the key to the application of additive manufacturing technology in automobile, construction and other fields. At present, the design method is often limited to small sizes or simple structures, which is difficult to meet the needs of large-scale complex structures. Future research can explore the preparation of large-size complex lattice structures.
- Deep bionic design of multi-scale structures: Biological structures in nature are often finely regulated at both macro and micro scales. This multi-scale design endows materials with excellent properties. At present, the artificial lattice structure is still in the primary stage of bionic design. Future research can more deeply imitate the multi-scale structures in nature, such as bones, shells, etc., and apply them to design.
- Optimization of AM process: By systematically studying the defect formation mechanism in the AM process, the process parameters can be optimized to reduce internal defects and surface roughness, thereby improving the performance and reliability of the lattice structure.
- Expansion of application fields: Combined with material genome and bionic topology optimization technology, lattice structure has great application potential in biomedical, automotive, aerospace and other fields. Through interdisciplinary cooperation, technological progress and application innovation in these fields can be promoted.
- Improvement of the manufacturing accuracy and defect monitoring of large and complex components: As the component size increases, it becomes more difficult to maintain manufacturing accuracy and effective defect monitoring. This is essential to ensure the reliability and safety of the component. Future research can develop more accurate AM equipment and processes, such as the use of multi-axis print heads, improved laser/electron beam control technology, and so on. At the same time, advanced online monitoring systems, such as real-time imaging and sensor technology, can be integrated to monitor defects in the manufacturing process.
- Performance research in extreme environments: For extreme temperatures, pressures and other environments, the fatigue and durability of lattice structures are studied to meet the needs of special applications.
- In-depth study of the influence of the AM process on the formation of lattice structure defects: By studying the generation mechanism of various defects, the additive manufacturing process parameters such as laser power and scanning speed are adjusted to establish the optimal process parameters of lattice structure, inhibit or minimize the generation of defects, and achieve high-quality manufacturing of lattice structures.
Author Contributions
Conceptualization, Y.L. and L.-C.Z.; methodology, Y.L., D.J., R.Z., X.W. and L.W.; software, D.J. and R.Z.; validation, Y.L., L.W. and L.-C.Z.; formal analysis, Y.L., D.J. and L.W.; investigation, Y.L. and L.-C.Z.; resources, Y.L., L.W. and L.-C.Z.; data curation, Y.L., D.J., X.W. and L.-C.Z.; writing—original draft preparation, Y.L., D.J., X.W. and L.-C.Z.; writing—review and editing, Y.L., D.J., R.Z., X.W., L.W. and L.-C.Z.; visualization, Y.L. and R.Z.; supervision, L.-C.Z.; project administration, Y.L. and L.-C.Z.; funding acquisition, Y.L. and L.-C.Z. All authors have read and agreed to the published version of the manuscript.
Funding
This work was supported by the National Natural Science Foundation of China (grant number 52404382), the ECU industrial grant (No. G1006320), and ECU DVC strategic research support fund (grant number 23965).
Data Availability Statement
The raw data supporting the conclusions of this article will be made available by the authors on request.
Conflicts of Interest
The authors declare no conflicts of interest.
References
- Li, J.; Huang, Z.; Liu, G.; An, Q.; Chen, M. Topology optimization design and research of lightweight biomimetic three-dimensional lattice structures based on laser powder bed fusion. Curr. Opin. Solid State Mater. Sci. 2022, 74, 220–232. [Google Scholar] [CrossRef]
- Zheng, Q.; Chen, H.S.; Zhou, J.; Wang, W.X.; Zheng, L.W.; Xi, S.X. Lightweight design of lattice structure of boron steel prepared by selective laser melting. J. Mater. Res. Technol. 2024, 30, 7523–7532. [Google Scholar] [CrossRef]
- Seharing, A.; Azman, A.H.; Abdullah, S. A review on integration of lightweight gradient lattice structures in additive manufacturing parts. Adv. Mech. Eng. 2020, 12, 168781402091695. [Google Scholar] [CrossRef]
- Ashby, M.F. The properties of foams and lattices. Philos. Trans. R. Soc. A 2005, 364, 15–30. [Google Scholar] [CrossRef] [PubMed]
- Maskery, I.; Hussey, A.; Panesar, A.; Aremu, A.; Tuck, C.J.; Ashcroft, I.A.; Hague, R.J.M. An investigation into reinforced and functionally graded lattice structures. J. Cell. Plast. 2017, 53, 151–165. [Google Scholar] [CrossRef]
- Kiani, M.; Gandikota, I.; Rais-Rohani, M.; Motoyama, K. Design of lightweight magnesium car body structure under crash and vibration constraints. J. Magnes. Alloys 2014, 2, 99–108. [Google Scholar] [CrossRef]
- Wu, W.; Xia, R.; Qian, G.; Liu, Z.; Razavi, N.; Berto, F.; Gao, H. Mechanostructures: Rational mechanical design, fabrication, performance evaluation, and industrial application of advanced structures. Prog. Mater. Sci. 2023, 131, 101021. [Google Scholar] [CrossRef]
- Li, Y.; He, Y.; Zhao, R.; Niu, L.; Qu, J.; Zhang, L.-C. High–Strength Porous TiNbZrTaFe Alloys Fabricated by Sintering of Nanocomposite Powder Precursor with Space Holder Technique. Metals 2024, 14, 824. [Google Scholar] [CrossRef]
- Yin, H.; Zhang, W.; Zhu, L.; Meng, F.; Liu, J.; Wen, G. Review on lattice structures for energy absorption properties. Compos. Struct. 2023, 304, 116397. [Google Scholar] [CrossRef]
- Nagesha, B.K.; Dhinakaran, V.; Varsha Shree, M.; Manoj Kumar, K.P.; Chalawadi, D.; Sathish, T. Review on characterization and impacts of the lattice structure in additive manufacturing. Mater. Today: Proc. 2020, 21, 916–919. [Google Scholar] [CrossRef]
- Liu, J.; Chen, T.; Zhang, Y.; Wen, G.; Qing, Q.; Wang, H.; Sedaghati, R.; Xie, Y.M. On sound insulation of pyramidal lattice sandwich structure. Compos. Struct. 2019, 208, 385–394. [Google Scholar] [CrossRef]
- Wang, C.; Li, Y.; Zhao, W.; Zou, S.; Zhou, G.; Wang, Y. Structure design and multi-objective optimization of a novel crash box based on biomimetic structure. Int. J. Mech. Sci. 2018, 138–139, 489–501. [Google Scholar] [CrossRef]
- Yin, S.; Chen, H.; Wu, Y.; Li, Y.; Xu, J. Introducing composite lattice core sandwich structure as an alternative proposal for engine hood. Compos. Struct. 2018, 201, 131–140. [Google Scholar] [CrossRef]
- Feng, J.; Liu, B.; Lin, Z.; Fu, J. Isotropic octet-truss lattice structure design and anisotropy control strategies for implant application. Mater. Des. 2021, 203, 109595. [Google Scholar] [CrossRef]
- Liu, Y.J.; Li, S.J.; Wang, H.L.; Hou, W.T.; Hao, Y.L.; Yang, R.; Sercombe, T.B.; Zhang, L.C. Microstructure, defects and mechanical behavior of beta-type titanium porous structures manufactured by electron beam melting and selective laser melting. Acta Mater. 2016, 113, 56–67. [Google Scholar] [CrossRef]
- Lakes, R. Foam Structures with a Negative Poisson’s Ratio. Science 1987, 235, 1038–1040. [Google Scholar] [CrossRef] [PubMed]
- Chen, J.; Gao, Q.; Sanson, A.; Jiang, X.; Huang, Q.; Carnera, A.; Rodriguez, C.G.; Olivi, L.; Wang, L.; Hu, L.; et al. Tunable thermal expansion in framework materials through redox intercalation. Nat. Commun. 2017, 8, 14441. [Google Scholar] [CrossRef]
- Boatti, E.; Vasios, N.; Bertoldi, K. Origami Metamaterials for Tunable Thermal Expansion. Adv. Mater. 2017, 29, 1700360. [Google Scholar] [CrossRef]
- Wang, X.; Xu, S.; Zhou, S.; Xu, W.; Leary, M.; Choong, P.; Qian, M.; Brandt, M.; Xie, Y.M. Topological design and additive manufacturing of porous metals for bone scaffolds and orthopaedic implants: A review. Biomaterials 2016, 83, 127–141. [Google Scholar] [CrossRef]
- Großmann, A.; Gosmann, J.; Mittelstedt, C. Lightweight lattice structures in selective laser melting: Design, fabrication and mechanical properties. Mater. Sci. Eng. A 2019, 766, 138356. [Google Scholar] [CrossRef]
- Habib, F.N.; Iovenitti, P.; Masood, S.H.; Nikzad, M. Fabrication of polymeric lattice structures for optimum energy absorption using Multi Jet Fusion technology. Mater. Des. 2018, 155, 86–98. [Google Scholar] [CrossRef]
- Xu, S.; Beynon, J.H.; Ruan, D.; Lu, G. Experimental study of the out-of-plane dynamic compression of hexagonal honeycombs. Compos. Struct. 2012, 94, 2326–2336. [Google Scholar] [CrossRef]
- Yamashita, M.; Gotoh, M. Impact behavior of honeycomb structures with various cell specifications—Numerical simulation and experiment. Int. J. Impact Eng. 2005, 32, 618–630. [Google Scholar] [CrossRef]
- Wei, L.; Zhao, X.; Yu, Q.; Zhu, G. A novel star auxetic honeycomb with enhanced in-plane crushing strength. Thin-Walled Struct. 2020, 149, 106623. [Google Scholar] [CrossRef]
- Wang, H.; Lu, Z.; Yang, Z.; Li, X. A novel re-entrant auxetic honeycomb with enhanced in-plane impact resistance. Compos. Struct. 2019, 208, 758–770. [Google Scholar] [CrossRef]
- Khan, N.; Riccio, A. A systematic review of design for additive manufacturing of aerospace lattice structures: Current trends and future directions. Prog. Aerosp. Sci. 2024, 149, 101021. [Google Scholar] [CrossRef]
- Tancogne-Dejean, T.; Mohr, D. Elastically-isotropic truss lattice materials of reduced plastic anisotropy. Int. J. Solids Struct. 2018, 138, 24–39. [Google Scholar] [CrossRef]
- Maskery, I.; Aboulkhair, N.T.; Aremu, A.O.; Tuck, C.J.; Ashcroft, I.A.; Wildman, R.D.; Hague, R.J.M. A mechanical property evaluation of graded density Al-Si10-Mg lattice structures manufactured by selective laser melting. Mater. Sci. Eng. A 2016, 670, 264–274. [Google Scholar] [CrossRef]
- Tancogne-Dejean, T.; Spierings, A.B.; Mohr, D. Additively-manufactured metallic micro-lattice materials for high specific energy absorption under static and dynamic loading. Acta Mater. 2016, 116, 14–28. [Google Scholar] [CrossRef]
- Wang, P.; Yang, F.; Ru, D.; Zheng, B.; Fan, H. Additive-manufactured hierarchical multi-circular lattice structures for energy absorption application. Mater. Des. 2021, 210, 110116. [Google Scholar] [CrossRef]
- Liu, X.; Wada, T.; Suzuki, A.; Takata, N.; Kobashi, M.; Kato, M. Understanding and suppressing shear band formation in strut-based lattice structures manufactured by laser powder bed fusion. Mater. Des. 2021, 199, 109416. [Google Scholar] [CrossRef]
- Cui, Y.-W.; Wang, L.; Zhang, L.-C. Towards load-bearing biomedical titanium-based alloys: From essential requirements to future developments. Prog. Mater. Sci. 2024, 144, 101277. [Google Scholar] [CrossRef]
- Savio, G.; Meneghello, R.; Concheri, G. Design of variable thickness triply periodic surfaces for additive manufacturing. Prog. Addit. Manuf. 2019, 4, 281–290. [Google Scholar] [CrossRef]
- Hu, J.; Tan, A.T.L.; Chen, H.; Hu, X. Superior compressive properties of 3D printed plate lattice mechanical metamaterials. Int. J. Mech. Sci. 2022, 231, 107586. [Google Scholar] [CrossRef]
- Yang, L.; Yan, C.; Cao, W.; Liu, Z.; Song, B.; Wen, S.; Zhang, C.; Shi, Y.; Yang, S. Compression–compression fatigue behaviour of gyroid-type triply periodic minimal surface porous structures fabricated by selective laser melting. Acta Mater. 2019, 181, 49–66. [Google Scholar] [CrossRef]
- Afshar, M.; Pourkamali Anaraki, A.; Montazerian, H. Compressive characteristics of radially graded porosity scaffolds architectured with minimal surfaces. Mater. Sci. Eng. C 2018, 92, 254–267. [Google Scholar] [CrossRef]
- Liu, R.; Chen, W.; Zhao, J. A Review on Factors Affecting the Mechanical Properties of Additively-Manufactured Lattice Structures. J. Mater. Eng. Perform. 2024, 33, 4685–4711. [Google Scholar] [CrossRef]
- Fleck, N.A.; Deshpande, V.S.; Ashby, M.F. Micro-architectured materials: Past, present and future. Proc. R. Soc. A 2010, 466, 2495–2516. [Google Scholar] [CrossRef]
- Deshpande, V.S.; Ashby, M.F.; Fleck, N.A. Foam topology: Bending versus stretching dominated architectures. Acta Mater. 2001, 49, 1035–1040. [Google Scholar] [CrossRef]
- Chen, L.-Y.; Liang, S.-X.; Liu, Y.; Zhang, L.-C. Additive manufacturing of metallic lattice structures: Unconstrained design, accurate fabrication, fascinated performances, and challenges. Mater. Sci. Eng. R: Rep. 2021, 146, 100648. [Google Scholar] [CrossRef]
- Zhang, L.C.; Klemm, D.; Eckert, J.; Hao, Y.L.; Sercombe, T.B. Manufacture by selective laser melting and mechanical behavior of a biomedical Ti–24Nb–4Zr–8Sn alloy. Scr. Mater. 2011, 65, 21–24. [Google Scholar] [CrossRef]
- Zhang, L.C.; Liu, Y.; Li, S.; Hao, Y. Additive Manufacturing of Titanium Alloys by Electron Beam Melting: A Review. Adv. Eng. Mater. 2018, 20, 1700842. [Google Scholar] [CrossRef]
- Zhang, L.-C.; Wang, J. Stabilizing 3D-printed metal alloys. Science 2024, 383, 586–587. [Google Scholar] [CrossRef] [PubMed]
- Ma, H.Y.; Wang, J.C.; Qin, P.; Liu, Y.J.; Chen, L.Y.; Wang, L.Q.; Zhang, L.C. Advances in additively manufactured titanium alloys by powder bed fusion and directed energy deposition: Microstructure, defects, and mechanical behavior. J. Mater. Sci. Technol. 2024, 183, 32–62. [Google Scholar] [CrossRef]
- Broughton, J.; Joshi, Y.K. Comparison of single-phase convection in additive manufactured versus traditional metal foams. J. Heat Transf. 2020, 142, 082201. [Google Scholar] [CrossRef]
- Benedetti, M.; du Plessis, A.; Ritchie, R.O.; Dallago, M.; Razavi, N.; Berto, F. Architected cellular materials: A review on their mechanical properties towards fatigue-tolerant design and fabrication. Mater. Sci. Eng. R Rep. 2021, 144, 100606. [Google Scholar] [CrossRef]
- Tyagi, S.A.; Manjaiah, M. Additive manufacturing of titanium-based lattice structures for medical applications—A review. Bioprinting 2023, 30, e00267. [Google Scholar] [CrossRef]
- Helou, M.; Kara, S. Design, analysis and manufacturing of lattice structures: An overview. Int. J. Comput. Integr. Manuf. 2018, 31, 243–261. [Google Scholar] [CrossRef]
- du Plessis, A.; Yadroitsava, I.; Yadroitsev, I.; le Roux, S.G.; Blaine, D.C. Numerical comparison of lattice unit cell designs for medical implants by additive manufacturing. Virtual Phys. Prototyp. 2018, 13, 266–281. [Google Scholar] [CrossRef]
- Wu, R.; Roberts, P.C.E.; Lyu, S.; Zheng, F.; Soutis, C.; Diver, C.; Zhou, D.; Li, L.; Deng, Z. Lightweight Self-Forming Super-Elastic Mechanical Metamaterials with Adaptive Stiffness. Adv. Funct. Mater. 2021, 31, 2008252. [Google Scholar] [CrossRef]
- Zargarian, A.; Esfahanian, M.; Kadkhodapour, J.; Ziaei-Rad, S.; Zamani, D. On the fatigue behavior of additive manufactured lattice structures. Theor. Appl. Fract. Mech. 2019, 100, 225–232. [Google Scholar] [CrossRef]
- Zhang, L.; Song, B.; Yang, L.; Shi, Y. Tailored mechanical response and mass transport characteristic of selective laser melted porous metallic biomaterials for bone scaffolds. Acta Biomater. 2020, 112, 298–315. [Google Scholar] [CrossRef] [PubMed]
- Xue, X.; Lin, C.; Wu, F.; Li, Z.; Liao, J. Lattice structures with negative Poisson’s ratio: A review. Mater. Today Commun. 2023, 34, 105132. [Google Scholar] [CrossRef]
- Leary, M. 3.1—Design of Titanium Implants for Additive Manufacturing; Woodhead Publishing: Sawston, UK, 2018; pp. 203–224. [Google Scholar]
- Xue, Y.; Wang, X.; Wang, W.; Zhong, X.; Han, F. Compressive property of Al-based auxetic lattice structures fabricated by 3-D printing combined with investment casting. Mater. Sci. Eng. A 2018, 722, 255–262. [Google Scholar] [CrossRef]
- Warmuth, F.; Osmanlic, F.; Adler, L.; Lodes, M.A.; Körner, C. Fabrication and characterisation of a fully auxetic 3D lattice structure via selective electron beam melting. Smart Mater. Struct. 2017, 26, 025013. [Google Scholar] [CrossRef]
- Yuan, S.; Shen, F.; Bai, J.; Chua, C.K.; Wei, J.; Zhou, K. 3D soft auxetic lattice structures fabricated by selective laser sintering: TPU powder evaluation and process optimization. Mater. Des. 2017, 120, 317–327. [Google Scholar] [CrossRef]
- Schwerdtfeger, J.; Heinl, P.; Singer, R.F.; Körner, C. Auxetic cellular structures through selective electron-beam melting. Phys. Status Solidi B 2010, 247, 269–272. [Google Scholar] [CrossRef]
- Eldesouky, I.; Harrysson, O.; West, H.; Elhofy, H. Electron beam melted scaffolds for orthopedic applications. Addit. Manuf. 2017, 17, 169–175. [Google Scholar] [CrossRef]
- Bai, L.; Zhang, J.; Chen, X.; Yi, C.; Chen, R.; Zhang, Z. Configuration optimization design of Ti6Al4V lattice structure formed by SLM. Materials 2018, 11, 1856. [Google Scholar] [CrossRef]
- Leary, M.; Mazur, M.; Williams, H.; Yang, E.; Alghamdi, A.; Lozanovski, B.; Zhang, X.; Shidid, D.; Farahbod-Sternahl, L.; Witt, G.; et al. Inconel 625 lattice structures manufactured by selective laser melting (SLM): Mechanical properties, deformation and failure modes. Mater. Des. 2018, 157, 179–199. [Google Scholar] [CrossRef]
- Onal, E.; Frith, J.E.; Jurg, M.; Wu, X.; Molotnikov, A. Mechanical properties and in vitro behavior of additively manufactured and functionally graded Ti6Al4V porous scaffolds. Metals 2018, 8, 200. [Google Scholar] [CrossRef]
- Feng, Q.; Tang, Q.; Liu, Z.; Liu, Y.; Setchi, R. An investigation of the mechanical properties of metallic lattice structures fabricated using selective laser melting. Proc. IMechE Part B J. Eng. Manuf. 2018, 232, 1719–1730. [Google Scholar] [CrossRef]
- Smith, M.; Guan, Z.; Cantwell, W.J. Finite element modelling of the compressive response of lattice structures manufactured using the selective laser melting technique. Int. J. Mech. Sci. 2013, 67, 28–41. [Google Scholar] [CrossRef]
- Zhou, X.; Liu, C.J. Three-dimensional Printing for Catalytic Applications: Current Status and Perspectives. Adv. Funct. Mater. 2017, 27, 1701134. [Google Scholar] [CrossRef]
- Elsayed, H.; Novak, N.; Vesenjak, M.; Zanini, F.; Carmignato, S.; Biasetto, L. The effect of strut size on microstructure and compressive strength of porous Ti6Al4V lattices printed via Direct Ink Writing. Mater. Sci. Eng. A 2020, 787, 139484. [Google Scholar] [CrossRef]
- Tang, Y.; Zhou, Y.; Hoff, T.; Garon, M.; Zhao, Y.F. Elastic modulus of 316 stainless steel lattice structure fabricated via binder jetting process. Mater. Technol. 2016, 32, 648–656. [Google Scholar] [CrossRef]
- Tanlak, N.; De Lange, D.F.; Van Paepegem, W. Numerical prediction of the printable density range of lattice structures for additive manufacturing. Mater. Des. 2017, 133, 549–558. [Google Scholar] [CrossRef]
- Sallica-Leva, E.; Jardini, A.L.; Fogagnolo, J.B. Microstructure and mechanical behavior of porous Ti–6Al–4V parts obtained by selective laser melting. J. Mech. Behav. Biomed. Mater. 2013, 26, 98–108. [Google Scholar] [CrossRef]
- Neff, C.; Hopkinson, N.; Crane, N.B. Experimental and analytical investigation of mechanical behavior of laser-sintered diamond-lattice structures. Addit. Manuf. 2018, 22, 807–816. [Google Scholar] [CrossRef]
- Van Hooreweder, B.; Kruth, J.-P. Advanced fatigue analysis of metal lattice structures produced by Selective Laser Melting. CIRP. Ann. 2017, 66, 221–224. [Google Scholar] [CrossRef]
- Jetté, B.; Brailovski, V.; Dumas, M.; Simoneau, C.; Terriault, P. Femoral stem incorporating a diamond cubic lattice structure: Design, manufacture and testing. J. Mech. Behav. Biomed. Mater. 2018, 77, 58–72. [Google Scholar] [CrossRef] [PubMed]
- Liu, F.; Zhang, D.Z.; Zhang, P.; Zhao, M.; Jafar, S. Mechanical properties of optimized diamond lattice structure for bone scaffolds fabricated via selective laser melting. Materials 2018, 11, 374. [Google Scholar] [CrossRef] [PubMed]
- Xiao, Z.; Yang, Y.; Xiao, R.; Bai, Y.; Song, C.; Wang, D. Evaluation of topology-optimized lattice structures manufactured via selective laser melting. Mater. Des. 2018, 143, 27–37. [Google Scholar] [CrossRef]
- Leary, M.; Mazur, M.; Elambasseril, J.; McMillan, M.; Chirent, T.; Sun, Y.; Qian, M.; Easton, M.; Brandt, M. Selective laser melting (SLM) of AlSi12Mg lattice structures. Mater. Des. 2016, 98, 344–357. [Google Scholar] [CrossRef]
- Li, Y.; Ding, Y.; Munir, K.; Lin, J.; Brandt, M.; Atrens, A.; Xiao, Y.; Kanwar, J.R.; Wen, C. Novel β-Ti35Zr28Nb alloy scaffolds manufactured using selective laser melting for bone implant applications. Acta Biomater. 2019, 87, 273–284. [Google Scholar] [CrossRef]
- Aremu, A.O.; Maskery, I.; Tuck, C.; Ashcroft, I.A.; Wildman, R.D.; Hague, R.I.M. A comparative finite element study of cubic unit cells for selective laser melting. In Proceedings of the 25th Annual International Solid Freeform Fabrication Symposium; An Additive Manufacturing Conference, SFF 2014, Austin, TX, USA, 4–6 August 2014; pp. 1238–1249. [Google Scholar]
- Zhang, X.Z.; Leary, M.; Tang, H.P.; Song, T.; Qian, M. Selective electron beam manufactured Ti-6Al-4V lattice structures for orthopedic implant applications: Current status and outstanding challenges. Curr. Opin. Solid State Mater. Sci. 2018, 22, 75–99. [Google Scholar] [CrossRef]
- Choy, S.Y.; Sun, C.-N.; Leong, K.F.; Wei, J. Compressive properties of Ti-6Al-4V lattice structures fabricated by selective laser melting: Design, orientation and density. Addit. Manuf. 2017, 16, 213–224. [Google Scholar] [CrossRef]
- Mousanezhad, D.; Ghosh, R.; Ajdari, A.; Hamouda, A.M.S.; Nayeb-Hashemi, H.; Vaziri, A. Impact resistance and energy absorption of regular and functionally graded hexagonal honeycombs with cell wall material strain hardening. Int. J. Mech. Sci. 2014, 89, 413–422. [Google Scholar] [CrossRef]
- Ju, J.; Summers, J.D. Compliant hexagonal periodic lattice structures having both high shear strength and high shear strain. Mater. Des. 2011, 32, 512–524. [Google Scholar] [CrossRef]
- Ajdari, A.; Nayeb-Hashemi, H.; Vaziri, A. Dynamic crushing and energy absorption of regular, irregular and functionally graded cellular structures. Int. J. Solids Struct. 2011, 48, 506–516. [Google Scholar] [CrossRef]
- Deshpande, V.S.; Fleck, N.A.; Ashby, M.F. Effective properties of the octet-truss lattice material. J. Mech. Phys. Solids 2001, 49, 1747–1769. [Google Scholar] [CrossRef]
- Wong, K.K.; Leong, K.C. Saturated pool boiling enhancement using porous lattice structures produced by Selective Laser Melting. Int. J. Heat Mass Transf. 2018, 121, 46–63. [Google Scholar] [CrossRef]
- Liu, Y.J.; Ren, D.C.; Li, S.J.; Wang, H.; Zhang, L.C.; Sercombe, T.B. Enhanced fatigue characteristics of a topology-optimized porous titanium structure produced by selective laser melting. Addit. Manuf. 2020, 32, 101060. [Google Scholar] [CrossRef]
- Babaee, S.; Jahromi, B.H.; Ajdari, A.; Nayeb-Hashemi, H.; Vaziri, A. Mechanical properties of open-cell rhombic dodecahedron cellular structures. Acta Mater. 2012, 60, 2873–2885. [Google Scholar] [CrossRef]
- Xiao, L.; Song, W.; Wang, C.; Liu, H.; Tang, H.; Wang, J. Mechanical behavior of open-cell rhombic dodecahedron Ti–6Al–4V lattice structure. Mater. Sci. Eng. A 2015, 640, 375–384. [Google Scholar] [CrossRef]
- Cao, X.; Duan, S.; Liang, J.; Wen, W.; Fang, D. Mechanical properties of an improved 3D-printed rhombic dodecahedron stainless steel lattice structure of variable cross section. Int. J. Mech. Sci. 2018, 145, 53–63. [Google Scholar] [CrossRef]
- Wang, Y.; Arabnejad, S.; Tanzer, M.; Pasini, D. Hip implant design with three-dimensional porous architecture of optimized graded density. J. Mech. Des. 2018, 140, 111406. [Google Scholar] [CrossRef]
- Nammi, S.K.; Myler, P.; Edwards, G. Finite element analysis of closed-cell aluminium foam under quasi-static loading. Mater. Des. 2010, 31, 712–722. [Google Scholar] [CrossRef]
- Zhu, H.X.; Knott, J.F.; Mills, N.J. Analysis of the elastic properties of open-cell foams with tetrakaidecahedral cells. J. Mech. Phys. Solids 1997, 45, 319–343. [Google Scholar] [CrossRef]
- Fourie, J.G.; Du Plessis, J.P. Pressure drop modelling in cellular metallic foams. Chem. Eng. Sci. 2002, 57, 2781–2789. [Google Scholar] [CrossRef]
- Sing, S.L.; Yeong, W.Y.; Wiria, F.E.; Tay, B.Y. Characterization of Titanium Lattice Structures Fabricated by Selective Laser Melting Using an Adapted Compressive Test Method. Exp. Mech. 2016, 56, 735–748. [Google Scholar] [CrossRef]
- Zargarian, A.; Esfahanian, M.; Kadkhodapour, J.; Ziaei-Rad, S. Numerical simulation of the fatigue behavior of additive manufactured titanium porous lattice structures. Mater. Sci. Eng. C 2016, 60, 339–347. [Google Scholar] [CrossRef] [PubMed]
- Al-Saedi, D.S.J.; Masood, S.H.; Faizan-Ur-Rab, M.; Alomarah, A.; Ponnusamy, P. Mechanical properties and energy absorption capability of functionally graded F2BCC lattice fabricated by SLM. Mater. Des. 2018, 144, 32–44. [Google Scholar] [CrossRef]
- Ullah, I.; Brandt, M.; Feih, S. Failure and energy absorption characteristics of advanced 3D truss core structures. Mater. Des. 2016, 92, 937–948. [Google Scholar] [CrossRef]
- Dar, U.A.; Mian, H.H.; Abid, M.; Topa, A.; Sheikh, M.Z.; Bilal, M. Experimental and numerical investigation of compressive behavior of lattice structures manufactured through projection micro stereolithography. Mater. Today Commun. 2020, 25, 101563. [Google Scholar] [CrossRef]
- Dong, Z.; Zhang, X.; Shi, W.; Zhou, H.; Lei, H.; Liang, J. Study of Size Effect on Microstructure and Mechanical Properties of AlSi10Mg Samples Made by Selective Laser Melting. Materials 2018, 11, 2463. [Google Scholar] [CrossRef] [PubMed]
- Tancogne-Dejean, T.; Mohr, D. Stiffness and specific energy absorption of additively-manufactured metallic BCC metamaterials composed of tapered beams. Int. J. Mech. Sci. 2018, 141, 101–116. [Google Scholar] [CrossRef]
- Al-Ketan, O.; Abu Al-Rub, R.K. Multifunctional Mechanical Metamaterials Based on Triply Periodic Minimal Surface Lattices. Adv. Eng. Mater. 2019, 21, 1900524. [Google Scholar] [CrossRef]
- AlMahri, S.; Santiago, R.; Lee, D.-W.; Ramos, H.; Alabdouli, H.; Alteneiji, M.; Guan, Z.; Cantwell, W.; Alves, M. Evaluation of the dynamic response of triply periodic minimal surfaces subjected to high strain-rate compression. Addit. Manuf. 2021, 46, 102220. [Google Scholar] [CrossRef]
- Ahmad, A.; Campana, F.; Bici, M.; Belluomo, L. Bird’s Eye View on Lattice Structures: Design Issues and Applications for Best Practices in Mechanical Design. Metals 2023, 13, 1666. [Google Scholar] [CrossRef]
- Han, L.; Che, S. An Overview of Materials with Triply Periodic Minimal Surfaces and Related Geometry: From Biological Structures to Self-Assembled Systems. Adv. Mater. 2018, 30, 1705708. [Google Scholar] [CrossRef] [PubMed]
- Sychov, M.M.; Lebedev, L.A.; Dyachenko, S.V.; Nefedova, L.A. Mechanical properties of energy-absorbing structures with triply periodic minimal surface topology. Acta Astronaut. 2018, 150, 81–84. [Google Scholar] [CrossRef]
- Karcher, H. The triply periodic minimal surfaces of Alan Schoen and their constant mean curvature companions. Manuscripta. Math. 1989, 64, 291–357. [Google Scholar] [CrossRef]
- Sos, M.; Meyer, G.; Durst, K.; Mittelstedt, C.; Bruder, E. Microstructure and mechanical properties of additively manufactured AlSi10Mg lattice structures from single contour exposure. Mater. Des. 2023, 227, 111796. [Google Scholar] [CrossRef]
- Ataee, A.; Li, Y.; Brandt, M.; Wen, C. Ultrahigh-strength titanium gyroid scaffolds manufactured by selective laser melting (SLM) for bone implant applications. Acta Mater. 2018, 158, 354–368. [Google Scholar] [CrossRef]
- Kelly, C.N.; Francovich, J.; Julmi, S.; Safranski, D.; Guldberg, R.E.; Maier, H.J.; Gall, K. Fatigue behavior of As-built selective laser melted titanium scaffolds with sheet-based gyroid microarchitecture for bone tissue engineering. Acta Biomater. 2019, 94, 610–626. [Google Scholar] [CrossRef]
- Ataee, A.; Li, Y.; Fraser, D.; Song, G.; Wen, C. Anisotropic Ti-6Al-4V gyroid scaffolds manufactured by electron beam melting (EBM) for bone implant applications. Mater. Des. 2018, 137, 345–354. [Google Scholar] [CrossRef]
- Speirs, M.; Van Hooreweder, B.; Van Humbeeck, J.; Kruth, J.P. Fatigue behaviour of NiTi shape memory alloy scaffolds produced by SLM, a unit cell design comparison. J. Mech. Behav. Biomed. Mater. 2017, 70, 53–59. [Google Scholar] [CrossRef]
- Yan, C.; Hao, L.; Hussein, A.; Raymont, D. Evaluations of cellular lattice structures manufactured using selective laser melting. Int. J. Mach. Tools Manuf. 2012, 62, 32–38. [Google Scholar] [CrossRef]
- Khanna, P.; Sood, S.; Mishra, P.; Bharadwaj, V.; Aggarwal, A.; Singh, S.J. Analysis of compression and energy absorption behaviour of SLM printed AlSi10Mg triply periodic minimal surface lattice structures. Structures 2024, 64, 106580. [Google Scholar] [CrossRef]
- Yan, C.; Hao, L.; Hussein, A.; Young, P. Ti–6Al–4V triply periodic minimal surface structures for bone implants fabricated via selective laser melting. J. Mech. Behav. Biomed. Mater. 2015, 51, 61–73. [Google Scholar] [CrossRef] [PubMed]
- Kadkhodapour, J.; Montazerian, H.; Darabi, A.C.; Anaraki, A.P.; Ahmadi, S.M.; Zadpoor, A.A.; Schmauder, S. Failure mechanisms of additively manufactured porous biomaterials: Effects of porosity and type of unit cell. J. Mech. Behav. Biomed. Mater. 2015, 50, 180–191. [Google Scholar] [CrossRef] [PubMed]
- Soro, N.; Attar, H.; Wu, X.; Dargusch, M.S. Investigation of the structure and mechanical properties of additively manufactured Ti-6Al-4V biomedical scaffolds designed with a Schwartz primitive unit-cell. Mater. Sci. Eng. A 2019, 745, 195–202. [Google Scholar] [CrossRef]
- Carluccio, D.; Xu, C.; Venezuela, J.; Cao, Y.; Kent, D.; Bermingham, M.; Demir, A.G.; Previtali, B.; Ye, Q.; Dargusch, M. Additively manufactured iron-manganese for biodegradable porous load-bearing bone scaffold applications. Acta Biomater. 2020, 103, 346–360. [Google Scholar] [CrossRef] [PubMed]
- Berger, J.B.; Wadley, H.N.G.; McMeeking, R.M. Mechanical metamaterials at the theoretical limit of isotropic elastic stiffness. Nature 2017, 543, 533–537. [Google Scholar] [CrossRef]
- Han, S.C.; Lee, J.W.; Kang, K. A New Type of Low Density Material: Shellular. Adv. Mater. 2015, 27, 5506–5511. [Google Scholar] [CrossRef]
- Tancogne-Dejean, T.; Diamantopoulou, M.; Gorji, M.B.; Bonatti, C.; Mohr, D. 3D Plate-Lattices: An Emerging Class of Low-Density Metamaterial Exhibiting Optimal Isotropic Stiffness. Adv. Mater. 2018, 30, 1803334. [Google Scholar] [CrossRef]
- Bonatti, C.; Mohr, D. Smooth-shell metamaterials of cubic symmetry: Anisotropic elasticity, yield strength and specific energy absorption. Acta Mater. 2019, 164, 301–321. [Google Scholar] [CrossRef]
- Fan, X.; Tang, Q.; Feng, Q.; Ma, S.; Song, J.; Jin, M.; Guo, F.; Jin, P. Design, mechanical properties and energy absorption capability of graded-thickness triply periodic minimal surface structures fabricated by selective laser melting. Int. J. Mech. Sci. 2021, 204, 106586. [Google Scholar] [CrossRef]
- Wang, Z.; Luan, C.; Liao, G.; Liu, J.; Yao, X.; Fu, J. Progress in Auxetic Mechanical Metamaterials: Structures, Characteristics, Manufacturing Methods, and Applications. Adv. Eng. Mater. 2020, 22, 2000312. [Google Scholar] [CrossRef]
- Jiao, C.; Yan, G. Design and elastic mechanical response of a novel 3D-printed hexa-chiral helical structure with negative Poisson’s ratio. Mater. Des. 2021, 212, 110219. [Google Scholar] [CrossRef]
- Alderson, A.; Alderson, K.L.; Chirima, G.; Ravirala, N.; Zied, K.M. The in-plane linear elastic constants and out-of-plane bending of 3-coordinated ligament and cylinder-ligament honeycombs. Compos. Sci. Technol. 2010, 70, 1034–1041. [Google Scholar] [CrossRef]
- Zhong, R.; Zheng, B.; Fu, M. A Novel Strategy for Constructing 3D Dislocated Chiral Metamaterial with Negative Poisson’s Ratio. Adv. Eng. Mater. 2021, 23, 2000991. [Google Scholar] [CrossRef]
- Zhu, Y.; Wang, Z.-P.; Poh, L.H. Auxetic hexachiral structures with wavy ligaments for large elasto-plastic deformation. Smart Mater. Struct. 2018, 27, 055001. [Google Scholar] [CrossRef]
- Noronha, J.; Dash, J.; Rogers, J.; Leary, M.; Brandt, M.; Qian, M. Titanium Multi-Topology Metamaterials with Exceptional Strength. Adv. Mater. 2024, 36, 2308715. [Google Scholar] [CrossRef]
- Grima, J.N.; Evans, K.E. Auxetic behavior from rotating squares. J. Mater. Sci. Lett. 2000, 19, 1563–1565. [Google Scholar] [CrossRef]
- Grima, J.N.; Evans, K.E. Auxetic behavior from rotating triangles. J. Mater. Sci. 2006, 41, 3193–3196. [Google Scholar] [CrossRef]
- Attard, D.; Grima, J.N. Auxetic behaviour from rotating rhombi. Phys. Status Solidi B 2008, 245, 2395–2404. [Google Scholar] [CrossRef]
- Gatt, A.; Formosa, C.; Cassar, K.; Camilleri, K.P.; De Raffaele, C.; Mizzi, A.; Azzopardi, C.; Mizzi, S.; Falzon, O.; Cristina, S.; et al. Thermographic Patterns of the Upper and Lower Limbs: Baseline Data. Int. J. Vasc. Med. 2015, 2015, 831369. [Google Scholar] [CrossRef]
- Gao, Y.; Wei, X.; Han, X.; Zhou, Z.; Xiong, J. Novel 3D auxetic lattice structures developed based on the rotating rigid mechanism. Int. J. Solids Struct. 2021, 233, 111232. [Google Scholar] [CrossRef]
- Abedi, M.M.; Jafari Nedoushan, R.; Sheikhzadeh, M.; Yu, W.-R. The crashworthiness performance of thin-walled ultralight braided lattice composite columns: Experimental and finite element study. Compos. Part B: Eng. 2020, 202, 108413. [Google Scholar] [CrossRef]
- Schaedler, T.A.; Jacobsen, A.J.; Torrents, A.; Sorensen, A.E.; Lian, J.; Greer, J.R.; Valdevit, L.; Carter, W.B. Ultralight Metallic Microlattices. Science 2011, 334, 962–965. [Google Scholar] [CrossRef] [PubMed]
- Bonatti, C.; Mohr, D. Large deformation response of additively-manufactured FCC metamaterials: From octet truss lattices towards continuous shell mesostructures. Int. J. Plast. 2017, 92, 122–147. [Google Scholar] [CrossRef]
- Noronha, J.; Qian, M.; Leary, M.; Kyriakou, E.; Brandt, M. Hollow-walled lattice materials by additive manufacturing: Design, manufacture, properties, applications and challenges. Curr. Opin. Solid State Mater. Sci. 2021, 25, 100940. [Google Scholar] [CrossRef]
- Noronha, J.; Leary, M.; Qian, M.; Kyriakou, E.; Brandt, M. Geometrical parameters and mechanical properties of Ti6Al4V hollow-walled lattices. Mater. Sci. Eng. A 2022, 840, 142667. [Google Scholar] [CrossRef]
- Noronha, J.; Rogers, J.; Leary, M.; Kyriakou, E.; Inverarity, S.; Das, R.; Brandt, M.; Qian, M. Ti-6Al-4V hollow-strut lattices by laser powder bed fusion. Addit. Manuf. 2023, 72, 103637. [Google Scholar] [CrossRef]
- Chen, W.; Watts, S.; Jackson, J.A.; Smith, W.L.; Tortorelli, D.A.; Spadaccini, C.M. Stiff isotropic lattices beyond the Maxwell criterion. Sci. Adv. 2019, 5, eaaw1937. [Google Scholar] [CrossRef]
- Ahmadi, S.M.; Yavari, S.A.; Wauthle, R.; Pouran, B.; Schrooten, J.; Weinans, H.; Zadpoor, A.A. Additively manufactured open-cell porous biomaterials made from six different space-filling unit cells: The mechanical and morphological properties. Materials 2015, 8, 1871–1896. [Google Scholar] [CrossRef]
- Raghavendra, S.; Molinari, A.; Fontanari, V.; Dallago, M.; Luchin, V.; Zappini, G.; Benedetti, M. Tension-compression asymmetric mechanical behaviour of lattice cellular structures produced by selective laser melting. Proc. IMechE Part C J. Mech. Eng. Sci. 2020, 234, 3241–3256. [Google Scholar] [CrossRef]
- Qiu, C.; Yue, S.; Adkins, N.J.E.; Ward, M.; Hassanin, H.; Lee, P.D.; Withers, P.J.; Attallah, M.M. Influence of processing conditions on strut structure and compressive properties of cellular lattice structures fabricated by selective laser melting. Mater. Sci. Eng. A 2015, 628, 188–197. [Google Scholar] [CrossRef]
- Gibson, L.J.; Ashby, M.F. The mechanics of three-dimensional cellular materials. Proc. R. Soc. Lond. Ser. A 1982, 382, 43–59. [Google Scholar] [CrossRef]
- Gibson, L.J.; Ashby, M.F.; Schajer, G.S.; Robertson, C.I. Mechanics of two-dimensional cellular materials. Proc. R. Soc. Lond. Ser. A 1982, 382, 25–42. [Google Scholar] [CrossRef]
- van Grunsven, W.; Hernandez-Nava, E.; Reilly, G.C.; Goodall, R. Fabrication and Mechanical Characterisation of Titanium Lattices with Graded Porosity. Metals 2014, 4, 401–409. [Google Scholar] [CrossRef]
- Choy, S.Y.; Sun, C.-N.; Leong, K.F.; Wei, J. Compressive properties of functionally graded lattice structures manufactured by selective laser melting. Mater. Des. 2017, 131, 112–120. [Google Scholar] [CrossRef]
- Xiao, L.; Song, W. Additively-manufactured functionally graded Ti-6Al-4V lattice structures with high strength under static and dynamic loading: Experiments. Int. J. Impact Eng. 2018, 111, 255–272. [Google Scholar] [CrossRef]
- Khosroshahi, S.F.; Tsampas, S.A.; Galvanetto, U. Feasibility study on the use of a hierarchical lattice architecture for helmet liners. Mater. Today Commun. 2018, 14, 312–323. [Google Scholar] [CrossRef]
- Yang, L.; Yan, C.; Han, C.; Chen, P.; Yang, S.; Shi, Y. Mechanical response of a triply periodic minimal surface cellular structures manufactured by selective laser melting. Int. J. Mech. Sci. 2018, 148, 149–157. [Google Scholar] [CrossRef]
- Maskery, I.; Sturm, L.; Aremu, A.O.; Panesar, A.; Williams, C.B.; Tuck, C.J.; Wildman, R.D.; Ashcroft, I.A.; Hague, R.J.M. Insights into the mechanical properties of several triply periodic minimal surface lattice structures made by polymer additive manufacturing. Polymer 2018, 152, 62–71. [Google Scholar] [CrossRef]
- Pan, C.; Han, Y.; Lu, J. Design and Optimization of Lattice Structures: A Review. Appl. Sci. 2020, 10, 6374. [Google Scholar] [CrossRef]
- Yue, L.; Liu, H.; Cheng, Z.; Kan, Q.; Kang, G. Dynamic crushing behavior of a novel bi-directional gradient lattice structure under axial and oblique impact loadings. Thin-Walled Struct. 2024, 198, 111697. [Google Scholar] [CrossRef]
- Han, Y.; Lu, W.F. A Novel Design Method for Nonuniform Lattice Structures Based on Topology Optimization. J. Mech. Des. 2018, 140, 091403. [Google Scholar] [CrossRef]
- Zhao, M.; Liu, F.; Zhou, H.; Zhang, T.; Zhang, D.Z.; Fu, G. Effect of the direction of the gradient on the mechanical properties and energy absorption of additive manufactured Ti-6Al-4 V functionally graded lattice structures. J. Alloys Compd. 2023, 968, 171874. [Google Scholar] [CrossRef]
- Li, S.J.; Xu, Q.S.; Wang, Z.; Hou, W.T.; Hao, Y.L.; Yang, R.; Murr, L.E. Influence of cell shape on mechanical properties of Ti–6Al–4V meshes fabricated by electron beam melting method. Acta Biomater. 2014, 10, 4537–4547. [Google Scholar] [CrossRef] [PubMed]
- Britt, C.; Montgomery, C.J.; Brand, M.J.; Liu, Z.-K.; Carpenter, J.S.; Beese, A.M. Effect of processing parameters and strut dimensions on the microstructures and hardness of stainless steel 316L lattice-emulating structures made by powder bed fusion. Addit. Manuf. 2021, 40, 101943. [Google Scholar] [CrossRef]
- Zhong, H.; Das, R.; Gu, J.; Qian, M. Low-density, high-strength metal mechanical metamaterials beyond the Gibson-Ashby model. Mater. Today 2023, 68, 96–107. [Google Scholar] [CrossRef]
- Hafeez, N.; Liu, J.; Wang, L.; Wei, D.; Tang, Y.; Lu, W.; Zhang, L.-C. Superelastic response of low-modulus porous beta-type Ti-35Nb-2Ta-3Zr alloy fabricated by laser powder bed fusion. Addit. Manuf. 2020, 34, 101264. [Google Scholar] [CrossRef]
- Liu, Y.J.; Li, S.J.; Zhang, L.C.; Hao, Y.L.; Sercombe, T.B. Early plastic deformation behaviour and energy absorption in porous β-type biomedical titanium produced by selective laser melting. Scr. Mater. 2018, 153, 99–103. [Google Scholar] [CrossRef]
- Płatek, P.; Sienkiewicz, J.; Janiszewski, J.; Jiang, F. Investigations on Mechanical Properties of Lattice Structures with Different Values of Relative Density Made from 316L by Selective Laser Melting (SLM). Materials 2020, 13, 2204. [Google Scholar] [CrossRef]
- Liu, Y.J.; Wang, H.L.; Li, S.J.; Wang, S.G.; Wang, W.J.; Hou, W.T.; Hao, Y.L.; Yang, R.; Zhang, L.C. Compressive and fatigue behavior of beta-type titanium porous structures fabricated by electron beam melting. Acta Mater. 2017, 126, 58–66. [Google Scholar] [CrossRef]
- Chen, L.-Y.; Qin, P.; Zhang, L.; Zhang, L.-C. An overview of additively manufactured metal matrix composites: Preparation, performance, and challenge. Int. J. Extrem. Manuf. 2024, 6, 052006. [Google Scholar] [CrossRef]
- Ahmadi, S.M.; Hedayati, R.; Li, Y.; Lietaert, K.; Tümer, N.; Fatemi, A.; Rans, C.D.; Pouran, B.; Weinans, H.; Zadpoor, A.A. Fatigue performance of additively manufactured meta-biomaterials: The effects of topology and material type. Acta Biomater. 2018, 65, 292–304. [Google Scholar] [CrossRef] [PubMed]
- Attar, H.; Löber, L.; Funk, A.; Calin, M.; Zhang, L.C.; Prashanth, K.G.; Scudino, S.; Zhang, Y.S.; Eckert, J. Mechanical behavior of porous commercially pure Ti and Ti–TiB composite materials manufactured by selective laser melting. Mater. Sci. Eng. A 2015, 625, 350–356. [Google Scholar] [CrossRef]
- Peloquin, J.; Han, Y.; Gall, K. Printability and mechanical behavior as a function of base material, structure, and a wide range of porosities for polymer lattice structures fabricated by vat-based 3D printing. Addit. Manuf. 2023, 78, 103892. [Google Scholar] [CrossRef]
- Liu, Y.; Li, S.; Hou, W.; Wang, S.; Hao, Y.; Yang, R.; Sercombe, T.B.; Zhang, L.-C. Electron Beam Melted Beta-type Ti–24Nb–4Zr–8Sn Porous Structures With High Strength-to-Modulus Ratio. J. Mater. Sci. Technol. 2016, 32, 505–508. [Google Scholar] [CrossRef]
- Cutolo, A.; Engelen, B.; Desmet, W.; Van Hooreweder, B. Mechanical properties of diamond lattice Ti–6Al–4V structures produced by laser powder bed fusion: On the effect of the load direction. J. Mech. Behav. Biomed. Mater. 2020, 104, 103656. [Google Scholar] [CrossRef]
- Cutolo, A.; Van Hooreweder, B. Fatigue behaviour of diamond based Ti-6Al-4V lattice structures produced by laser powder bed fusion: On the effect of load direction. Mater. Today Commun. 2022, 33, 104661. [Google Scholar] [CrossRef]
- Weißmann, V.; Bader, R.; Hansmann, H.; Laufer, N. Influence of the structural orientation on the mechanical properties of selective laser melted Ti6Al4V open-porous scaffolds. Mater. Des. 2016, 95, 188–197. [Google Scholar] [CrossRef]
- Wang, J.; Zhu, R.; Liu, Y.; Zhang, L. Understanding melt pool characteristics in laser powder bed fusion: An overview of single- and multi-track melt pools for process optimization. Adv. Powder Mater. 2023, 2, 100137. [Google Scholar] [CrossRef]
- Liu, Y.J.; Li, X.P.; Zhang, L.C.; Sercombe, T.B. Processing and properties of topologically optimised biomedical Ti–24Nb–4Zr–8Sn scaffolds manufactured by selective laser melting. Mater. Sci. Eng. A 2015, 642, 268–278. [Google Scholar] [CrossRef]
- Chen, X.; Liao, W.; Wei, H.; Zhu, Z.; Yang, T.; Zhang, C.; Liu, T. Formation mechanisms and control strategies of metallurgical defects and microstructures during laser powder bed fusion of AlSi10Mg lattice structures. J. Mater. Res. Technol. 2024, 28, 139–153. [Google Scholar] [CrossRef]
- Huang, X.; Tang, H.; Wang, L. Effect of residual stress on mechanical properties of Triply periodic minimal surface lattice structures in Additive manufacturing. Comput. Mater. Sci. 2024, 245, 113318. [Google Scholar] [CrossRef]
- Wang, G.; Chen, X.; Qiu, C. On the macro- and micro-deformation mechanisms of selectively laser melted damage tolerant metallic lattice structures. J. Alloys Compd. 2021, 852, 156985. [Google Scholar] [CrossRef]
- Karami, K.; Blok, A.; Weber, L.; Ahmadi, S.M.; Petrov, R.; Nikolic, K.; Borisov, E.V.; Leeflang, S.; Ayas, C.; Zadpoor, A.A.; et al. Continuous and pulsed selective laser melting of Ti6Al4V lattice structures: Effect of post-processing on microstructural anisotropy and fatigue behaviour. Addit. Manuf. 2020, 36, 101433. [Google Scholar] [CrossRef]
- Afshar, M.; Anaraki, A.P.; Montazerian, H.; Kadkhodapour, J. Additive manufacturing and mechanical characterization of graded porosity scaffolds designed based on triply periodic minimal surface architectures. J. Mech. Behav. Biomed. Mater. 2016, 62, 481–494. [Google Scholar] [CrossRef]
- Yánez, A.; Fiorucci, M.P.; Cuadrado, A.; Martel, O.; Monopoli, D. Surface roughness effects on the fatigue behaviour of gyroid cellular structures obtained by additive manufacturing. Int. J. Fatigue 2020, 138, 105702. [Google Scholar] [CrossRef]
- Heinl, P.; Körner, C.; Singer, R.F. Selective Electron Beam Melting of Cellular Titanium: Mechanical Properties. Adv. Eng. Mater. 2008, 10, 882–888. [Google Scholar] [CrossRef]
- Hrabe, N.W.; Heinl, P.; Flinn, B.; Körner, C.; Bordia, R.K. Compression-compression fatigue of selective electron beam melted cellular titanium (Ti-6Al-4V). J. Biomed. Mater. Res. Part B 2011, 99B, 313–320. [Google Scholar] [CrossRef]
- Li, Y.; Jahr, H.; Lietaert, K.; Pavanram, P.; Yilmaz, A.; Fockaert, L.I.; Leeflang, M.A.; Pouran, B.; Gonzalez-Garcia, Y.; Weinans, H.; et al. Additively manufactured biodegradable porous iron. Acta Biomater. 2018, 77, 380–393. [Google Scholar] [CrossRef] [PubMed]
- Bobbert, F.S.L.; Lietaert, K.; Eftekhari, A.A.; Pouran, B.; Ahmadi, S.M.; Weinans, H.; Zadpoor, A.A. Additively manufactured metallic porous biomaterials based on minimal surfaces: A unique combination of topological, mechanical, and mass transport properties. Acta Biomater. 2017, 53, 572–584. [Google Scholar] [CrossRef]
- Amin Yavari, S.; Ahmadi, S.M.; Wauthle, R.; Pouran, B.; Schrooten, J.; Weinans, H.; Zadpoor, A.A. Relationship between unit cell type and porosity and the fatigue behavior of selective laser melted meta-biomaterials. J. Mech. Behav. Biomed. Mater. 2015, 43, 91–100. [Google Scholar] [CrossRef]
- Ahmadi, S.M.; Kumar, R.; Borisov, E.V.; Petrov, R.; Leeflang, S.; Li, Y.; Tümer, N.; Huizenga, R.; Ayas, C.; Zadpoor, A.A.; et al. From microstructural design to surface engineering: A tailored approach for improving fatigue life of additively manufactured meta-biomaterials. Acta Biomater. 2019, 83, 153–166. [Google Scholar] [CrossRef] [PubMed]
- Amin Yavari, S.; Wauthle, R.; van der Stok, J.; Riemslag, A.C.; Janssen, M.; Mulier, M.; Kruth, J.P.; Schrooten, J.; Weinans, H.; Zadpoor, A.A. Fatigue behavior of porous biomaterials manufactured using selective laser melting. Mater. Sci. Eng. C 2013, 33, 4849–4858. [Google Scholar] [CrossRef]
- Gibson, L.J.; Ashby, M.F. Cellular Solids: Structure and Properties; Cambridge University Press: Cambridge, UK, 1997. [Google Scholar]
- Li, Q.M.; Magkiriadis, I.; Harrigan, J.J. Compressive Strain at the Onset of Densification of Cellular Solids. J. Cell. Plast. 2006, 42, 371–392. [Google Scholar] [CrossRef]
- Mueller, J.; Matlack, K.H.; Shea, K.; Daraio, C. Energy Absorption Properties of Periodic and Stochastic 3D Lattice Materials. Adv. Theory Simul. 2019, 2, 1900081. [Google Scholar] [CrossRef]
- Nečemer, B.; Glodež, S.; Novak, N.; Kramberger, J. Numerical modelling of a chiral auxetic cellular structure under multiaxial loading conditions. Theor. Appl. Fract. Mech. 2020, 107, 102514. [Google Scholar] [CrossRef]
- Bahrami Babamiri, B.; Askari, H.; Hazeli, K. Deformation mechanisms and post-yielding behavior of additively manufactured lattice structures. Mater. Des. 2020, 188, 108443. [Google Scholar] [CrossRef]
- Ling, C.; Cernicchi, A.; Gilchrist, M.D.; Cardiff, P. Mechanical behaviour of additively-manufactured polymeric octet-truss lattice structures under quasi-static and dynamic compressive loading. Mater. Des. 2019, 162, 106–118. [Google Scholar] [CrossRef]
- Jiang, H.; Coomes, A.; Zhang, Z.; Ziegler, H.; Chen, Y. Tailoring 3D printed graded architected polymer foams for enhanced energy absorption. Compos. Part B Eng. 2021, 224, 109183. [Google Scholar] [CrossRef]
- Dastani, K.; Movahhedy, M.R.; Yu, H.; Khodaygan, S.; Zhang, L.; Wang, M.Y. Effect of geometric deviations on the strength of additively manufactured ultralight periodic shell-based lattices. Eng. Fail. Anal. 2023, 150, 107328. [Google Scholar] [CrossRef]
- Wang, Z.; Wang, X.; Gao, T.; Shi, C. Mechanical behavior and deformation mechanism of triply periodic minimal surface sheet under compressive loading. Mech. Adv. Mater. Struct. 2021, 28, 2057–2069. [Google Scholar] [CrossRef]
- Yin, H.; Liu, Z.; Dai, J.; Wen, G.; Zhang, C. Crushing behavior and optimization of sheet-based 3D periodic cellular structures. Compos. Part B Eng. 2020, 182, 107565. [Google Scholar] [CrossRef]
- Tancogne-Dejean, T.; Mohr, D. Elastically-isotropic elementary cubic lattices composed of tailored hollow beams. Extrem. Mech. Lett. 2018, 22, 13–18. [Google Scholar] [CrossRef]
- Liu, X.; Alizadeh, V.; Hansen, C.J. The compressive response of octet lattice structures with carbon fiber composite hollow struts. Compos. Struct. 2020, 239, 111999. [Google Scholar] [CrossRef]
- Kanaujia, P.K.; bin Ramezan, M.A.; Yap, X.Y.; Song, Y.; Du, Z.; Gan, C.L.; Lam, Y.C.; Lai, C.Q. Mechanical response of lightweight hollow truss metal oxide lattices. Materialia 2019, 8, 100439. [Google Scholar] [CrossRef]
- Zhao, M.; Liu, F.; Fu, G.; Zhang, D.Z.; Zhang, T.; Zhou, H. Improved Mechanical Properties and Energy Absorption of BCC Lattice Structures with Triply Periodic Minimal Surfaces Fabricated by SLM. Materials 2018, 11, 2411. [Google Scholar] [CrossRef] [PubMed]
- Bai, L.; Gong, C.; Chen, X.; Sun, Y.; Xin, L.; Pu, H.; Peng, Y.; Luo, J. Mechanical properties and energy absorption capabilities of functionally graded lattice structures: Experiments and simulations. Int. J. Mech. Sci. 2020, 182, 105735. [Google Scholar] [CrossRef]
- Bai, L.; Gong, C.; Chen, X.; Zheng, J.; Xin, L.; Xiong, Y.; Wu, X.; Hu, M.; Li, K.; Sun, Y. Quasi-Static compressive responses and fatigue behaviour of Ti-6Al-4 V graded lattice structures fabricated by laser powder bed fusion. Mater. Des. 2021, 210, 110110. [Google Scholar] [CrossRef]
- Wang, P.; Yang, F.; Lu, G.; Bian, Y.; Zhang, S.; Zheng, B.; Fan, H. Anisotropic compression behaviors of bio-inspired modified body-centered cubic lattices validated by additive manufacturing. Compos. Part B Eng. 2022, 234, 109724. [Google Scholar] [CrossRef]
- Ashby, M.; Evans, A.; Fleck, N.; Gibson, L.; Hutchinson, J.; Wadley, H.; Delale, F. Metal Foams: A Design Guide. Appl. Mech. Rev. 2001, 54, B105–B106. [Google Scholar] [CrossRef]
- Rodrigo, C.; Xu, S.; Durandet, Y.; Tran, P.; Ruan, D. Mechanical response of functionally graded lattices with different density grading strategies. Thin-Walled Struct. 2023, 192, 111132. [Google Scholar] [CrossRef]
- Liu, F.; Zhou, T.; Zhang, T.; Xie, H.; Tang, Y.; Zhang, P. Shell offset enhances mechanical and energy absorption properties of SLM-made lattices with controllable separated voids. Mater. Des. 2022, 217, 110630. [Google Scholar] [CrossRef]
Disclaimer/Publisher’s Note: The statements, opinions and data contained in all publications are solely those of the individual author(s) and contributor(s) and not of MDPI and/or the editor(s). MDPI and/or the editor(s) disclaim responsibility for any injury to people or property resulting from any ideas, methods, instructions or products referred to in the content. |
© 2024 by the authors. Licensee MDPI, Basel, Switzerland. This article is an open access article distributed under the terms and conditions of the Creative Commons Attribution (CC BY) license (https://creativecommons.org/licenses/by/4.0/).






































