The Inclusion Characteristics and Mechanical Properties of M2 High-Speed Steel Treated with a Vacuum Carbon Deoxidation Process
Abstract
1. Introduction
2. Materials and Methods
3. Results
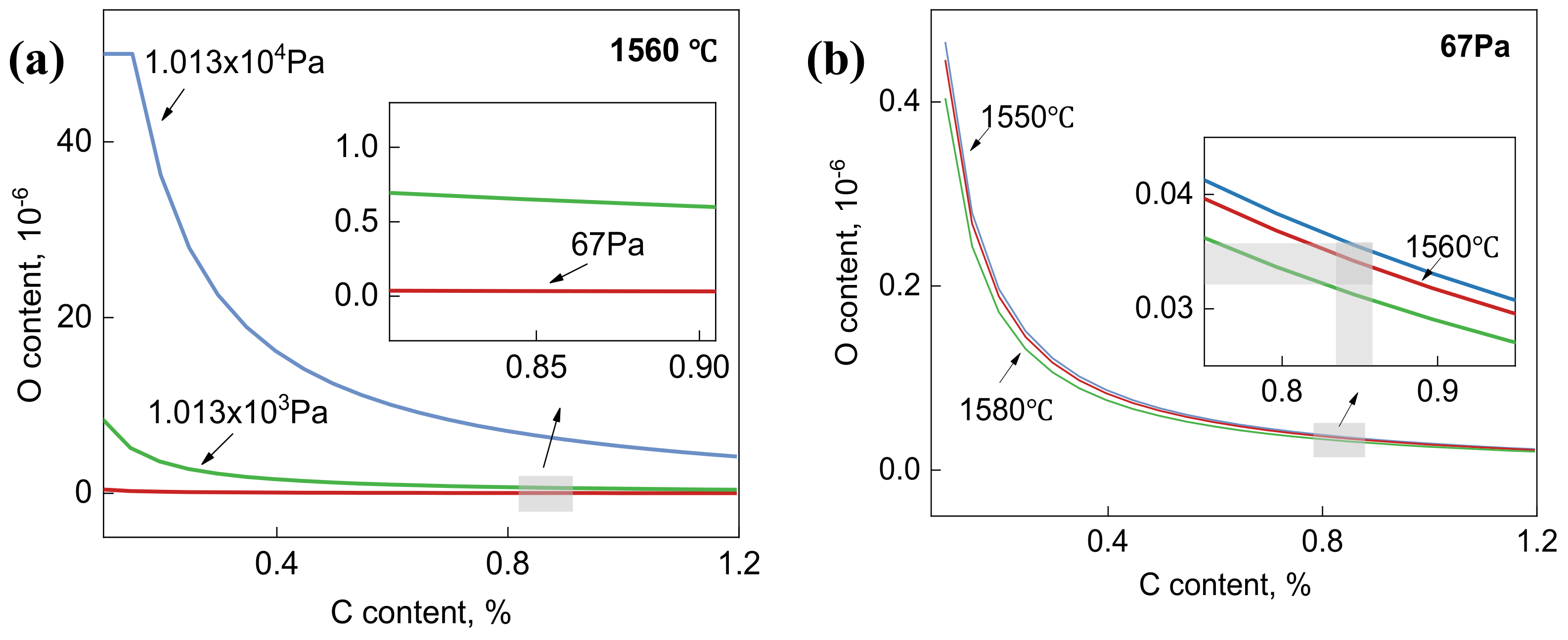
3.1. Oxygen Content Control
3.2. Inclusion Evolution
3.3. As-Cast Microstructure
3.4. Mechanical Properties
4. Discussion
4.1. C-O Reaction Process
4.2. Rare-Earth Alloying
5. Conclusions
- (a)
- After the vacuum smelting process, the total oxygen content reduces from 30 ppm to 3 ppm at holding times exceeding 25 min, which is in agreement with the trend of the O content change according to thermodynamic calculation. The characteristics of inclusions are significantly improved through the VCD treatment, making it feasible to strictly control the oxygen content of M2 high-speed steel through the C-O reaction.
- (b)
- The hardness and the high-temperature strength exhibit a slight decrease in the low-oxygen M2 high-speed steel, which is due to the consumption of C and the volatilization of W, Mo, and V occurring during the VCD process, but they can be improved by adjusting the alloy elements.
- (c)
- The oxygen content of steel significantly affects the role of rare-earth alloying. After VCD treatment, adding Ce results in finer and fewer inclusions compared to directly adding Ce without VCD treatment.
Author Contributions
Funding
Data Availability Statement
Acknowledgments
Conflicts of Interest
References
- Chaus, A.S.; Kryshtal, A.P. New insights into the microstructure of M2 high speed steel. Mater. Charact. 2023, 205, 113313. [Google Scholar] [CrossRef]
- Boccalini, M., Jr.; Corrêa, A.V.O.; Goldenstein, H. Rare earth metal induced modification of γ-M2C, γ-M6C, and γ-MC eutectics in as cast M2 high speed steel. Mater. Sci. Technol. 1999, 15, 621–626. [Google Scholar] [CrossRef]
- Zhou, X.; Yin, X.; Fang, F.; Jiang, J.; Zhu, W. Influence of rare earths on eutectic carbides in AISI M2 high speed steel. J. Rare Earths 2012, 30, 1075–1078. [Google Scholar] [CrossRef]
- Damon, J.; Schüßler, P.; Mühl, F.; Dietrich, S.; Schulze, V. Short-time induction heat treatment of high speed steel AISI M2: Laboratory proof of concept and applicationrelated component tests. Mater. Des. 2023, 230, 111991. [Google Scholar] [CrossRef]
- Liu, W.; Wang, J.; Sun, M.; Xu, B.; Yao, J.; Fan, Q.; Li, D. Cerium Refinement of Grains and Primary Carbides during Solidification of Cr4Mo4V Bearing Steel. J. Rare Earths 2024, 42, 783–792. [Google Scholar] [CrossRef]
- Wei, S.; Jinhua, Z.; Liujie, X.; Rui, L. Effects of carbon on microstructures and properties of high vanadium high-speed steel. Mater. Des. 2006, 27, 58–63. [Google Scholar] [CrossRef]
- Hu, H.; Zhu, L.; Duan, Y.; Wu, X.; Gu, B. In-situ study of microcrack initiation and propagation of M2 high speed steel. Chin. J. Mater. Res. 2022, 36, 365–372. [Google Scholar]
- Hamidzadeh, M.A.; Meratian, M.; Saatchi, A. Effect of cerium and lanthanum on the microstructure and mechanical properties of AISI D2 tool steel. Mater. Sci. Eng. A 2013, 571, 193–198. [Google Scholar] [CrossRef]
- Qu, M.; Wang, Z.; Li, H.; Zhiqing, L.; Shuhua, S.; Wantang, F. Effects of mischmetal addition on phase transformation and as-cast microstructure characteristics of M2 high-speed steel. J. Rare Earths 2013, 31, 628–633. [Google Scholar] [CrossRef]
- Zhou, X.; Fang, F.; Tu, Y. Carbide refinement in M42 high speed steel by rare earth metals and spheroidizing treatment. J. Southeast Univ. Engl. Ed. 2014, 30, 445–448. [Google Scholar] [CrossRef]
- Hufenbach, J.; Helth, A.; Lee, M.H.; Wendrock, H.; Giebeler, L.; Choe, C.Y.; Kim, K.H.; Kühn, U.; Kim, T.S.; Eckert, J. Effect of cerium addition on microstructure and mechanical properties of high-strength Fe85Cr4Mo8V2C1 cast steel. Mater. Sci. Eng. A 2016, 674, 366–374. [Google Scholar] [CrossRef]
- Zelič, K.; Burja, J.; McGuiness, P.J.; Godec, M. Effect of rare earth Elements on the morphology of eutectic carbides in AISI D2 Tool Steels: Experimental and Modelling Approaches. Sci. Rep. 2018, 8, 9233. [Google Scholar] [CrossRef] [PubMed]
- Yin, F.; Wang, L.; Xiao, Z.; Feng, J.; Zhao, L. Effect of titanium and rare earth microalloying on microsegregation, eutectic carbides of M2 high speed steel during ESR process. J. Rare Earths 2020, 38, 1030–1038. [Google Scholar] [CrossRef]
- Chen, J. Effect of Mould Rotation on Solidification Structure and Inclusions of M2 High Speed Steel during Electroslag Remelting. Master’s Thesis, Anhui University of Technology, Anhui, China, 2019. [Google Scholar]
- Li, Y. A Process for Smelting Tungsten-Containing High-Speed Steel. Chinese Patent CN109762958B, 23 July 2021. [Google Scholar]
- Guo, S.; Cao, J.; Wang, L.; Yang, Q. Study on the process for improving metallurgical quality D2. Sci. Technol. Eng. 2010, 10, 1959–1961. [Google Scholar] [CrossRef]
- Wang, H. Investigation of Inclusion Control and Evolution during Electroslag Remelting Process for H13 Steel. Ph.D. Thesis, University of Science and Technology Beijing, Beijing, China, 2018. [Google Scholar]
- Niu, B. Study on Effect of Magnesium on Cleanliness, Microstructure and Properties of H13 Hot Work Die Steel. Master’s Thesis, Northeastern University, Liaoning, China, 2016. [Google Scholar]
- Zhu, X. A High Quality TG42 Saw Blade High-Speed Steel. Chinese Patent CN104250709B, 8 June 2016. [Google Scholar]
- Li, Y. A Medium Frequency Furnace-LF Furnace-VD Process for Smelting High Speed Steel. Chinese Patent CN114411046A, 29 April 2022. [Google Scholar]
- Li, Y.; Chen, C.; Lv, J.; Yang, H.; Ma, S.; Sun, M.; Jiang, Z. The Effect of Magnesium treatment on the inclusions, microstructure, and mechanical properties of M7 High-Speed steel. J. Mater. Eng. Perform. 2024, 33, 5000–5017. [Google Scholar] [CrossRef]
- Shi, G.; Zhou, S.; Ding, P. Investigation of nonmetallic inclusions in high speed steels. Mater. Charact. 1997, 38, 19–23. [Google Scholar] [CrossRef]
- Deng, C.; Chen, Y.; Gong, T.; Xu, C.; Chen, X.; Fu, P.; Li, D. Effect of adding high purity rare earth on primary carbide in M50 steel. J. Mater. Res. 2023, 37, 915–923. [Google Scholar] [CrossRef]
- Li, T.; Wang, F.; Zhang, G. Comparison between strength and toughness of two different H13 steels. Hot Work. Technol. 2014, 43, 92–95. [Google Scholar] [CrossRef]
- Wang, M.; Bao, Y.P.; Zhao, L.H.; Yang, Q.; Lin, L. Difference analysis in steel cleanness between two RH treatment modes for SPHC grade. ISIJ Int. 2015, 55, 1652–1660. [Google Scholar] [CrossRef]
- Li, X.Z.; Feng, H.; Li, H.B.; Yang, S.X.; Zhang, S.C.; Zhu, H.C.; Pak, J.J.; Jiang, Z.H. Deoxidation of Nickel-Based Superalloy Using Carbon under High Vacuum Degree. Met. Mater. Trans. B 2024, 1–15. [Google Scholar] [CrossRef]
- Zhongliang, W.; Yanping, B.; Chao, G.; Yu, L.; Yongsheng, H. Control of Ds inclusions in GCr15 bearing steel based on non-aluminum deoxidation process. Spec. Steel 2022, 43, 8–12. [Google Scholar] [CrossRef]
- Li, H.B.; Lu, P.C.; Feng, H.; Zhang, P.F.; Zhang, S.C.; Jiang, Z.H. Influence Mechanism of Crucible Materials on Cleanliness and Inclusion Characteristics of High-Nitrogen Stainless Bearing Steel During Vacuum Carbon Deoxidation. Met. Mater. Trans. B 2023, 54, 1099–1112. [Google Scholar] [CrossRef]
- Zhang, P.; Li, G.; Zhang, J.; Huo, X.; Liu, Y. Effects of Refining Slag Basicity and Vacuum Treatment on the Cleanliness of Bearing Steel. Vacuum 2024, 222, 112984. [Google Scholar] [CrossRef]
- Fu, J.; Chen, E.; Xie, J.; Ding, Y. Special Smelting; Metallurgical Industry Press: Beijing, China, 1982; pp. 40–43. [Google Scholar]
- Li, L.; Lin, T.; Liang, Q.; He, X.; Chen, Z.; Chen, K. Thermodynamics and kinetics of deoxidation and denitrification in vacuum induction melting of C-HRA-3 nickelbased heat resisting alloy. Foundry Technol. 2022, 43, 559–566. [Google Scholar] [CrossRef]
- Huang, W.; Fu, J. Secondary Refining and Oxide Metallurgy of Steel Smelting; Heji Book Publishing House: Taipei, Taiwan, 2012; pp. 20–21. [Google Scholar]
- Feng, H.; Li, H.B.; Liu, Z.Z.; Jiang, Z.H.; Lu, P.C.; He, T. Cleanliness Control of High Nitrogen Stainless Bearing Steel by Vacuum Carbon Deoxidation in a PVIM Furnace. Met. Mater. Trans. B 2021, 52, 3777–3787. [Google Scholar] [CrossRef]











| VCD | C | Si | Mn | Cr | Mo | Cu | Al | V | W | Ca | N | O | Fe |
|---|---|---|---|---|---|---|---|---|---|---|---|---|---|
| No | 0.849 | 0.302 | 0.287 | 4.080 | 4.740 | 0.211 | 0.011 | 1.920 | 5.650 | 0.0019 | 0.0070 | 0.0030 | Bal. |
| Yes | 0.750 | 0.309 | 0.046 | 4.140 | 4.380 | 0.084 | 0.010 | 1.754 | 5.440 | 0.0002 | 0.0008 | 0.0003 | Bal. |
Disclaimer/Publisher’s Note: The statements, opinions and data contained in all publications are solely those of the individual author(s) and contributor(s) and not of MDPI and/or the editor(s). MDPI and/or the editor(s) disclaim responsibility for any injury to people or property resulting from any ideas, methods, instructions or products referred to in the content. |
© 2024 by the authors. Licensee MDPI, Basel, Switzerland. This article is an open access article distributed under the terms and conditions of the Creative Commons Attribution (CC BY) license (https://creativecommons.org/licenses/by/4.0/).
Share and Cite
Dai, Y.; Man, T.; Wang, Z.; Liu, Y.; Bao, Y.; Wei, X. The Inclusion Characteristics and Mechanical Properties of M2 High-Speed Steel Treated with a Vacuum Carbon Deoxidation Process. Metals 2024, 14, 1146. https://doi.org/10.3390/met14101146
Dai Y, Man T, Wang Z, Liu Y, Bao Y, Wei X. The Inclusion Characteristics and Mechanical Properties of M2 High-Speed Steel Treated with a Vacuum Carbon Deoxidation Process. Metals. 2024; 14(10):1146. https://doi.org/10.3390/met14101146
Chicago/Turabian StyleDai, Yuheng, Tinghui Man, Zhongliang Wang, Yu Liu, Yanping Bao, and Xicheng Wei. 2024. "The Inclusion Characteristics and Mechanical Properties of M2 High-Speed Steel Treated with a Vacuum Carbon Deoxidation Process" Metals 14, no. 10: 1146. https://doi.org/10.3390/met14101146
APA StyleDai, Y., Man, T., Wang, Z., Liu, Y., Bao, Y., & Wei, X. (2024). The Inclusion Characteristics and Mechanical Properties of M2 High-Speed Steel Treated with a Vacuum Carbon Deoxidation Process. Metals, 14(10), 1146. https://doi.org/10.3390/met14101146

