Study on the Consumption Mechanism and Lubrication of Mold Powder Based on Non-Sinusoidal Oscillation Mode
Abstract
1. Introduction
2. Mathematical Mold
2.1. Assumption
- (1)
- The taper and arc of the die had little influence on the mold powder consumption, hence, the taper and arc of the die were not considered;
- (2)
- Half of the mold was analyzed based on the symmetry of the fluid flow and heat transfer in the mold;
- (3)
- The heat transfer of the slabs was in a stable state when the casting speed was constant;
- (4)
- The flow of molten steel in the mold was incompressible steady flow.
2.2. Governing Equation
2.3. Mold Model
2.4. Boundary Conditions
3. Discussion and Results
3.1. Mold Powder Consumption and Validation of Model
3.2. Velocity and Pressure of Mold Powder in Mold Powder Channel
3.3. Thickness of Liquid Mold Powder Film and Shear Stress (Liquid Friction)
3.4. Mechanism of Mold Powder Consumption
3.5. Effect of Non-Sinusoidal Oscillation Parameters on Mold Powder Consumption
4. Conclusions
- The accuracy of the model was verified by comparing the measured and calculated mold powder consumption of the plant under the same casting conditions, the error between the calculated and measured values of mold powder consumption was 1.34 to 7.87%.
- The lubrication consumption was within −0.092 to 0.19 kg/s. and exhibited a periodic variation under the influence of mold oscillation, decreasing first and then increasing. The lubrication consumption was negative consumption during the negative strip time. With the increase of the distance below the meniscus, the variation of mold powder consumption decreased and the negative consumption was weakened to disappear.
- The variation of downward flow velocity of liquid mold powder and thickness of liquid mold powder film was opposite to shear stress (liquid friction) acting on shell surface and pressure in mold powder channel. The maximum value of mold powder channel pressure and upward liquid friction was reached near the middle of tn, while the maximum value of mold powder thickness and penetration velocity appeared during tp. With the increase of the distance below the meniscus, the downward flow velocity of liquid mold powder decreased, the pressure in mold powder channel, and the maximum upward shear stress (liquid friction) increased.
- Lubrication consumption was determined by the downward flow velocity of liquid mold powder in mold powder channel and the thickness of liquid mold powder film. When the mold moved downward, the liquid mold powder film thickness and downward flow velocity of liquid mold powder decreased, the minimum mold powder consumption was at the middle of the tn, and vice versa. Lubrication consumption during the tp consumed more than tn, hence, increasing the tn which could increase the average mold powder consumption and was conducive to lubrication.
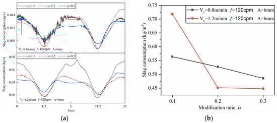
- The mold powder consumption was related to the non-sinusoidal oscillation parameters. The mold powder consumption with different oscillation parameters was within 0.2615 to 0.7179 kg/m2. With the decrease of casting speed () and modification ratio (), and increase of oscillation frequency ()and oscillation amplitude (), the mold powder consumption had the tendency to increase. The Levenberg–Marquardt method combined with universal global optimization method was used to fit the nonlinear regression equation , to evaluate mold powder consumption for low viscosity of mold powder.
Author Contributions
Funding
Institutional Review Board Statement
Informed Consent Statement
Data Availability Statement
Conflicts of Interest
References
- Meng, Y.; Thomas, B.G. Heat-transfer and solidification model of continuous slab casting: CON1D. Metall. Mater. Trans. B 2003, 34, 685–705. [Google Scholar] [CrossRef]
- Meng, Y.; Thomas, B.G. Modeling transient slag-layer phenomena in the shell/mold gap in continuous casting of steel. Metall. Mater. Trans. B 2003, 34, 707–725. [Google Scholar] [CrossRef]
- Ramirez-Lopez, P.E.; Lee, P.D.; Mills, K.C. Explicit Modelling of Slag Infiltration and Shell Formation during Mould Oscillation in Continuous Casting. ISIJ Int. 2010, 50, 425–434. [Google Scholar] [CrossRef]
- Ramirez-Lopez, P.E.; Lee, P.D.; Mills, K.C.; Santillana, B. A New Approach for Modelling Slag Infiltration and Solidification in a Continuous Casting Mould. ISIJ Int. 2010, 50, 1797–1804. [Google Scholar] [CrossRef]
- Ramirez Lopez, P.; Sjöström, U.; Jonsson, T.; Lee, P.; Mills, K.; Petäjäjärvi, M.; Pirinen, J. Industrial Application of a Numerical Model to Simulate Lubrication, Mould Oscillation, Solidification and Defect Formation during Continuous Casting. IOP Conf. Ser. Mater. Sci. Eng. 2012, 33, 012013. [Google Scholar] [CrossRef]
- Ramirez Lopez, P.E.; Mills, K.C.; Lee, P.D.; Santillana, B. A Unified Mechanism for the Formation of Oscillation Marks. Metall. Mater. Trans. B 2012, 43, 109–122. [Google Scholar] [CrossRef]
- Tsutsumi, K.; Ohtake, J.-I.; Hino, M. Inflow Behavior Observation of Molten Mold Powder between Mold and Solidified Shell by Continuous Casting Simulator Using Sn–Pb Alloy and Stearic Acid. ISIJ Int. 2000, 40, 601–608. [Google Scholar] [CrossRef]
- Kajitani, T.; Okazawa, K.; Yamada, W.; Yamamura, H. Cold Model Experiment on Infiltration of Mould Flux in Continuous Casting of Steel: Simple Analysis Neglecting Mould Oscillation. ISIJ Int. 2006, 46, 250–256. [Google Scholar] [CrossRef][Green Version]
- Kajitani, T.; Okazawa, K.; Yamada, W.; Yamamura, H.J.I.I. Cold Model Experiment on Infiltration of Mould Flux in Continuous Casting of Steel: Simulation of Mould Oscillation. ISIJ Int. 2006, 46, 1432–1441. [Google Scholar] [CrossRef][Green Version]
- Shin, H.J.; Kim, S.H.; Thomas, B.G.; Lee, G.G.; Park, J.M.; Sengupta, J. Measurement and Prediction of Lubrication, Powder Consumption, and Oscillation Mark Profiles in Ultra-low Carbon Steel Slabs. ISIJ Int. 2006, 46, 1635–1644. [Google Scholar] [CrossRef]
- Jonayat, A.S.M.; Thomas, B.G. Transient Thermo-fluid Model of Meniscus Behavior and Slag Consumption in Steel Continuous Casting. Metall. Mater. Trans. B 2014, 45, 1842–1864. [Google Scholar] [CrossRef]
- Zhang, X.; Chen, W.; Zhang, L. A coupled model on fluid flow, heat transfer and solidification in continuous casting mold. China Foundry 2017, 14, 416–420. [Google Scholar] [CrossRef]
- Zhang, X.; Ren, Y.; Zhang, L. Influence of Casting Parameters on Hooks and Entrapped Inclusions at the Subsurface of Continuous Casting Slabs. Metall. Mater. Trans. A 2018, 49, 5469–5477. [Google Scholar] [CrossRef]
- Zhang, X.; Dan, Z.; Chen, W.; Zhang, L.; Wang, Q. Mathematical Modeling on Slag Consumption and Lubrication in a Slab Continuous Casting Mold. Metall. Mater. Trans. B 2021, 52, 322–338. [Google Scholar] [CrossRef]
- Yang, J.; Chen, D.; Long, M.; Duan, H. Transient flow and mold flux behavior during ultra-high speed continuous casting of billet. J. Mater. Res. Technol. 2020, 9, 3984–3993. [Google Scholar] [CrossRef]
- Li, G.; Wang, S.; Zheng, G. Flow and Heat Transfer on the Surface of Molten Steel Slag Layer in Continuous Casting Mold. Coatings 2023, 13, 1551. [Google Scholar] [CrossRef]
- Du, F.; Zeng, Y.; Wang, S.; Zheng, G. Analysis of Flow and Fluctuation Characteristics in Coated Slag Using a 2D Model in the Meniscus Region of Mold. Coatings 2023, 13, 1678. [Google Scholar] [CrossRef]
- Yan, X.; Gan, M.; Yuan, H.; Wang, Q.; He, S.; Wang, Q. Study of Non-Newtonian Behavior of CaO-SiO2-Based Mold Slag and Its Effect on Lubrication in Continuous Casting of Steel. Metall. Mater. Trans. B 2019, 50, 1052–1059. [Google Scholar] [CrossRef]
- Yan, X.; Yuan, H.; Zhang, S.; Wang, Q.; Zhang, X.; He, S.; Wang, Q. Effect of Interfacial Reaction between CaO–BaO–Al2O3-Based Mold Fluxes and High-Mn–High-Al Steels on Fundamental Properties and Lubrication of Mold Flux. Steel Res. Int. 2020, 91, 1900581. [Google Scholar] [CrossRef]
- Kong, L.; Xing, F.; Wang, T.; Wang, L.; Qian, K.; Zang, X.; Yang, J. Interfacial Reaction Model of High-Al Steel in Continuous Casting Mold. Metall. Mater. Trans. B 2023, 54, 1546–1554. [Google Scholar] [CrossRef]
- Yang, J.; Wang, L.; Li, Y.; Wang, T.; Kong, L.; Zang, X. Modeling of Flux Reaction and Mixing in Continuous Casting Mold of Medium Mn Steel. Metall. Mater. Trans. B 2022, 53, 1516–1525. [Google Scholar] [CrossRef]
- Yang, J.; Chen, D.; Long, M.; Duan, H. An Approach for Modelling Slag Infiltration and Heat Transfer in Continuous Casting Mold for High Mn–High Al Steel. Metals 2020, 10, 51. [Google Scholar] [CrossRef]
- Ji, J.; Cui, Y.; Zhang, X.; Wang, Q.; He, S.; Wang, Q. Influence of Interfacial Thermal Resistance on Initial Solidification and Heat Transfer in Continuous Casting Mold of Steel. Steel Res. Int. 2021, 92, 2000636. [Google Scholar] [CrossRef]
- Ji, J.; Cui, Y.; Zhang, X.; Wang, Q.; He, S.; Wang, Q. 3D Coupled Model on Dynamic Initial Solidification and Slag Infiltration at the Corner of Slab Continuous Casting Mold. Steel Res. Int. 2021, 92, 2100101. [Google Scholar] [CrossRef]
- Ji, J.; Mao, Y.; Zhang, X.; Chen, W.; Zhang, L.; Wang, Q. Initial Solidification and Heat Transfer at Different Locations of Slab Continuous Casting Mold through 3D Coupled Model. Steel Res. Int. 2021, 92, 2000714. [Google Scholar] [CrossRef]
- Deng, Y.; Zhang, Y.; Wang, Q.; Wang, Q. Study of Mold Oscillation Parameters and Modes on Slag Lubrication in Slab Continuous Casting. JOM 2018, 70, 2909–2916. [Google Scholar] [CrossRef]
- Yan, X.; Jia, B.; Wang, Q.; He, S.; Wang, Q. Mold Nonsinusoidal Oscillation Mode and Its Effect on Slag Infiltration for Lubrication and Initial Shell Growth during Steel Continuous Casting. Metals 2019, 9, 418. [Google Scholar] [CrossRef]
- Yang, H. A 1D Analytical Model for Slag Infiltration during Continuous Casting of Steel under Non-Sinusoidal Mold Oscillation. Metals 2020, 10, 1389. [Google Scholar] [CrossRef]
- Zhou, C.; Ye, Z.; Cao, M.; Zhang, X.; Wang, F. Experiment and Conformation of Non-sinusoidal Oscillation Waveform Function for Continuous Casting Mold. ISIJ Int. 2023, 63, 1863–1868. [Google Scholar] [CrossRef]
- Zhang, S.; Wang, Q.; He, S.; Wang, Q. Study of the Mechanism of Liquid Slag Infiltration for Lubrication in Slab Continuous Casting. Metall. Mater. Trans. B 2018, 49, 2038–2049. [Google Scholar] [CrossRef]
- Zhang, X.; Chen, W.; Scheller, P.R.; Ren, Y.; Zhang, L. Mathematical Modeling of Initial Solidification and Slag Infiltration at the Meniscus of Slab Continuous Casting Mold. JOM 2019, 71, 78–87. [Google Scholar] [CrossRef]















| Parameters | Value |
|---|---|
| Cross section of slab, mm | 1300 × 250 |
| Thickness of copper plate, mm | 50 |
| Length of first cold zone, mm | 1000 |
| Length of secondary cooling zone, mm | 1000 |
| Nozzle angle, ° | 15 |
| Inner diameter of SEN, mm | 65 |
| Port of SEN, mm | 45 × 70 |
| Depth of immersion, mm | 165 |
| Oscillation mode | Non-sinusoidal |
| Casting speed, m/min | 0.95 |
| Phase | Parameters | Value |
|---|---|---|
| Steel (data from [31]) | Density, | 7020 |
| Viscosity, | 0.0063 | |
| Thermal conductivity, | ||
| Liquidus temperature, K | 1805 | |
| solidus temperature, K | 1790 | |
| Specific heat, | 750 | |
| Latent heat, | 270,000 | |
| Mold powder (data from [31]) | Density, | 2500 |
| Viscosity, | ||
| Break temperature, K | 1352 | |
| Thermal conductivity, | ||
| Specific heat, J/(kg·K) | 830 | |
| Air | Density, kg/m3 | 1.225 |
| Viscosity, | 1.8 × 10−5 | |
| Thermal conductivity, W/(m·K) | 0.0242 | |
| Interfacial tension between steel and mold powder, N/m | 1.3 | |
| Interfacial tension between mold powder and air, N/m | 0.8 | |
| Copper plate | Density, kg/m3 | 8973 |
| Heat capacity, J/(kg·K) | 390 | |
| Thermal conductivity, W/(m·K) | 387 | |
| Oscillation Frequency, (cpm) | Oscillation Amplitude, (m) | Modification Ratio |
|---|---|---|
| 120 | 4 | 0.1 |
| Error (%) | ||
|---|---|---|
| 0.6081 | 0.6–0.66 | 1.34–7.87 |
| No. | Casting Speed, Vc (m/min) | Oscillation Frequency, f (cpm) | Oscillation Amplitude, A (mm) | Mold Powder Consumption, Qs (kg/m2) | |
|---|---|---|---|---|---|
| 1 | 0.8 | 0.2 | 120 | 6 | 0.5272 |
| 2 | 0.8 | 0.2 | 120 | 5 | 0.4429 |
| 3 | 0.8 | 0.2 | 120 | 4 | 0.4117 |
| 4 | 0.8 | 0.1 | 120 | 6 | 0.5637 |
| 5 | 0.8 | 0.3 | 120 | 6 | 0.4853 |
| 6 | 0.8 | 0.2 | 90 | 6 | 0.4955 |
| 7 | 0.8 | 0.2 | 150 | 6 | 0.6556 |
| 8 | 1.2 | 0.2 | 120 | 4 | 0.3592 |
| 9 | 1.2 | 0.2 | 120 | 5 | 0.4045 |
| 10 | 1.2 | 0.2 | 120 | 6 | 0.4515 |
| 11 | 1.2 | 0.1 | 120 | 6 | 0.7179 |
| 12 | 1.2 | 0.3 | 120 | 6 | 0.4479 |
| 13 | 1.2 | 0.2 | 90 | 6 | 0.365 |
| 14 | 1.2 | 0.2 | 150 | 6 | 0.5731 |
| 15 | 1.4 | 0.2 | 120 | 4 | 0.2641 |
| 16 | 1.4 | 0.2 | 90 | 6 | 0.2615 |
| 17 | 1.4 | 0.3 | 120 | 6 | 0.3176 |
| Root Mean Square Error, (RMSE) | Sum of Squares due to Error, (SSE) | Square of the Correlation Coefficient, (R2) | F-Statistic |
|---|---|---|---|
| 0.04720 | 0.03787 | 0.8529 | 87.007325 |
Disclaimer/Publisher’s Note: The statements, opinions and data contained in all publications are solely those of the individual author(s) and contributor(s) and not of MDPI and/or the editor(s). MDPI and/or the editor(s) disclaim responsibility for any injury to people or property resulting from any ideas, methods, instructions or products referred to in the content. |
© 2024 by the authors. Licensee MDPI, Basel, Switzerland. This article is an open access article distributed under the terms and conditions of the Creative Commons Attribution (CC BY) license (https://creativecommons.org/licenses/by/4.0/).
Share and Cite
Cao, M.; Liu, Y.; Zhang, X. Study on the Consumption Mechanism and Lubrication of Mold Powder Based on Non-Sinusoidal Oscillation Mode. Metals 2024, 14, 72. https://doi.org/10.3390/met14010072
Cao M, Liu Y, Zhang X. Study on the Consumption Mechanism and Lubrication of Mold Powder Based on Non-Sinusoidal Oscillation Mode. Metals. 2024; 14(1):72. https://doi.org/10.3390/met14010072
Chicago/Turabian StyleCao, Minghui, Yuanhe Liu, and Xingzhong Zhang. 2024. "Study on the Consumption Mechanism and Lubrication of Mold Powder Based on Non-Sinusoidal Oscillation Mode" Metals 14, no. 1: 72. https://doi.org/10.3390/met14010072
APA StyleCao, M., Liu, Y., & Zhang, X. (2024). Study on the Consumption Mechanism and Lubrication of Mold Powder Based on Non-Sinusoidal Oscillation Mode. Metals, 14(1), 72. https://doi.org/10.3390/met14010072
