Simulation of Fluid Flow in the Top–Bottom Combined Blowing Converter
Abstract
1. Introduction
2. Physical Model
3. Mathematical Model
3.1. Assumption
3.2. VOF Model
3.3. Turbulence Models
3.4. Boundary Conditions and Solution Procedure
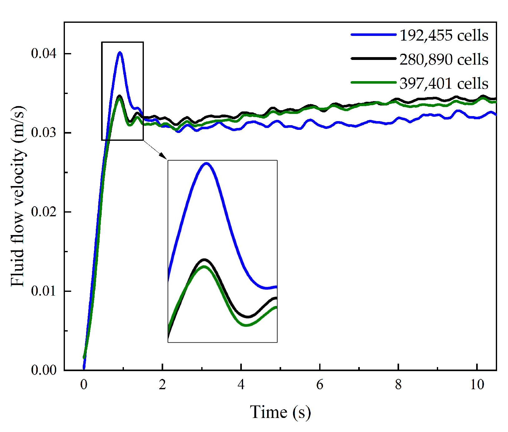
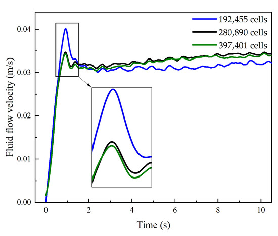
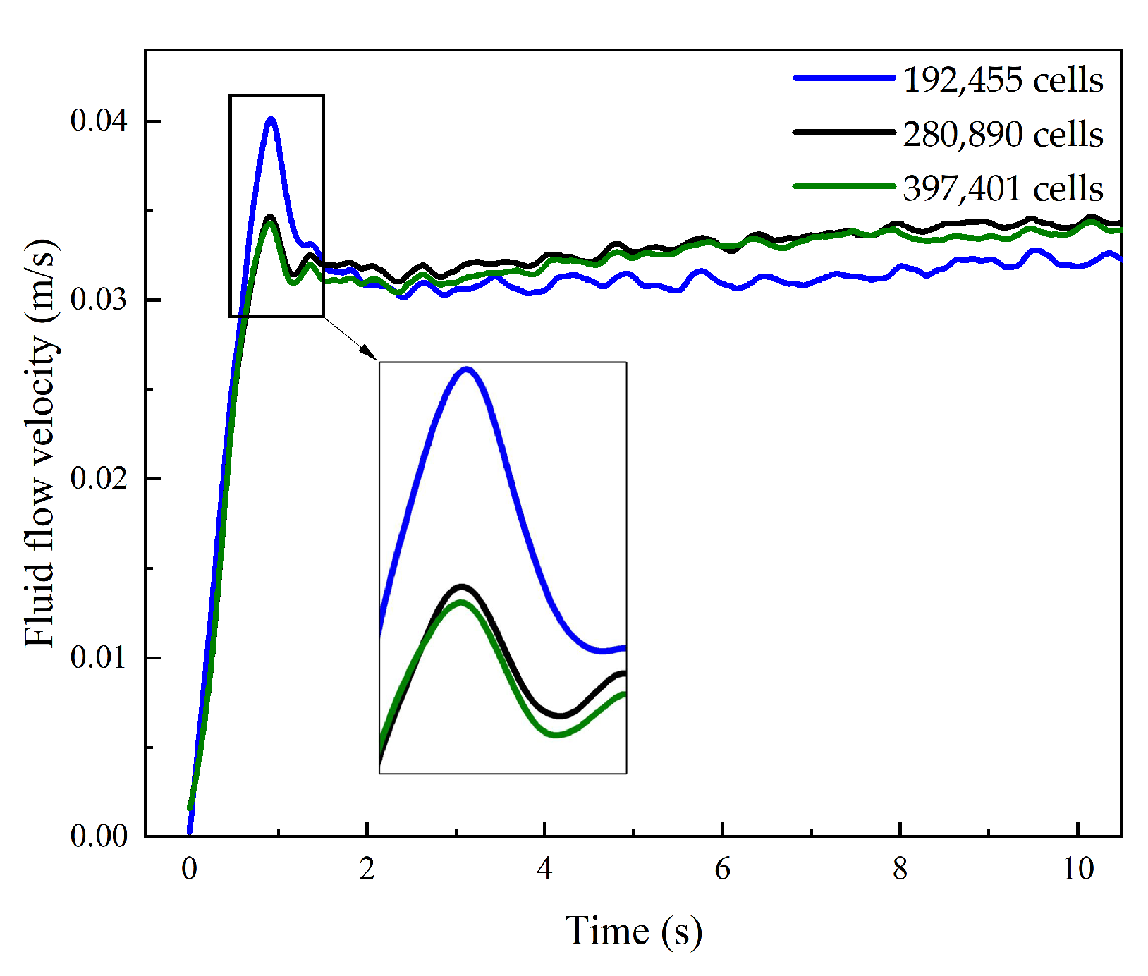
3.5. Mesh Sensitivity
4. Results and Discussion
4.1. The Morphology of the Impact Cavity
4.2. Comparison of Bottom, Top, and Combined Blowing
4.3. Effect of the Oxygen Flow Rate on the Bath Flow
4.4. Effect of Lance Height on the Bath Flow
4.5. The “Inactive Zone” Analysis
5. Conclusions
Author Contributions
Funding
Data Availability Statement
Conflicts of Interest
Nomenclature
| αi | ith volume fraction (-) |
| ρi | density of the ith volume fraction (kg·m−3) |
| p | pressure (MPa) |
| R | gas constant = 8.314 J·mol−1·K−1 |
| T | temperature (K) |
| μ | average viscosity of the volume fraction (kg·m−1·s−1) |
| the instantaneous velocity of the phase (m·s−1) | |
| g | gravity acceleration (m·s−2) |
| volume force (kg·m−2·s−2) | |
| E | energy (J) |
| λeff | effective thermal conductivity (W·m−1·K−1) |
| Sh | the volumetric heat sources (W·m−1) |
References
- Szekely, J.; Asai, S. Turbulent fluid flow phenomena in metals processing operations: Mathematical description of the fluid flow field in a bath caused by an impinging gas jet. Metall. Mater. Trans. B 1974, 5, 463–467. [Google Scholar] [CrossRef]
- Alam, M.; Naser, J.; Brooks, G.; Fontana, A. A computational fluid dynamics model of shrouded supersonic jet impingement on a water surface. ISIJ Int. 2012, 52, 1026–1035. [Google Scholar] [CrossRef]
- Lv, M.; Zhu, R.; Guo, Y.G.; Wang, Y.W. Simulation of flow fluid in the BOF steelmaking process. Metall. Mater. Trans. B 2013, 44, 1560–1571. [Google Scholar] [CrossRef]
- Li, Q.; Li, M.; Kuang, S.B.; Zou, Z. Computational study on the behaviours of supersonic jets and their impingement onto molten liquid free surface in BOF steelmaking. Can. Metall. Q. 2014, 53, 340–351. [Google Scholar] [CrossRef]
- Zhou, X.; Ersson, M.; Zhong, L.; Yu, J.; Jönsson, P. Mathematical and physical simulation of a top blown converter. Steel Res. Int. 2014, 85, 273–281. [Google Scholar] [CrossRef]
- Li, Q.; Li, M.; Kuang, S.; Zou, Z. Numerical simulation of the interaction between supersonic oxygen jets and molten slag-metal bath in steelmaking BOF process. Metall. Mater. Trans. B 2015, 46, 1494–1509. [Google Scholar] [CrossRef]
- Zhou, X.; Ersson, M.; Zhong, L.; Jönsson, P. Numerical simulations of the kinetic energy transfer in the bath of a BOF converter. Metall. Mater. Trans. B 2016, 47, 434–445. [Google Scholar] [CrossRef]
- Liu, G.Q.; Li, J.N.; Xu, D.; Zheng, B. Energy balance between multiple supersonic jets and molten bath in BOF steelmaking. Ironmak. Steelmak. 2022, 49, 726–736. [Google Scholar] [CrossRef]
- Li, M.; Li, Q.; Kuang, S.; Zou, Z. Transferring characteristics of momentum/energy during oxygen jetting into the molten bath in BOFs: A computational exploration. Steel Res. Int. 2016, 87, 288–300. [Google Scholar] [CrossRef]
- Zhou, X.; Liu, Y.; Ni, P.; Peng, S. Toward the Bath Flow Interaction of a 250 t Combined Top and Bottom Blowing Converter Based on a Mathematical Modeling. Steel Res. Int. 2021, 92, 2000334. [Google Scholar] [CrossRef]
- Ajmani, S.K.; Chatterjee, A. Cold model studies of mixing and mass transfer in steelmaking vessels. Ironmak. Steelmak. 2005, 32, 515–527. [Google Scholar] [CrossRef]
- Liu, G.; Liu, K.; Han, P.; Chen, Y. Numerical investigation on behaviors of interlaced jets and their interaction with bath in BOF steelmaking. AIP Adv. 2019, 9, 075202. [Google Scholar] [CrossRef]
- Li, M.; Li, Q.; Kuang, S.; Zou, Z. Determination of cavity dimensions induced by impingement of gas jets onto a liquid bath. Mater. Trans. B 2016, 47, 116–126. [Google Scholar] [CrossRef]
- Amano, S.; Sato, S.; Takahashi, Y.; Kikuchi, N. Effect of top and bottom blowing conditions on spitting in converter. Eng. Rep. 2021, 3, e12406. [Google Scholar] [CrossRef]
- Sun, J.; Zhang, J.; Lin, W.; Cao, L.; Feng, X.; Liu, Q. Effect of impact cavity shape induced by supersonic oxygen jet on the dynamic characteristics of molten bath in converter. Steel Res. Int. 2021, 92, 2100179. [Google Scholar] [CrossRef]
- Sun, J.; Zhang, J.; Lin, W.; Feng, X.; Liu, Q. Effect of bottom blowing mode on fluid flow and mixing behavior in converter. Metals 2022, 12, 117. [Google Scholar] [CrossRef]
- Sun, J.; Zhang, J.; Jiang, R.; Feng, X.; Liu, Q. Effect of Bottom Tuyere Arrangement Based on Impact Cavity Morphology on Kinetic Behavior of Molten Bath in Converter. Steel Res. Int. 2023, 94, 2200532. [Google Scholar] [CrossRef]
- Qi, F.; Zhou, S.; Zhang, L.; Liu, Z.; Cheung, S.C.; Li, B. Numerical Study on Interfacial Structure and Mixing Characteristics in Converter Based on CLSVOF Method. Metals 2023, 13, 880. [Google Scholar] [CrossRef]
- Zhang, J.; Lou, W.; Shao, P.; Zhu, M. Mathematical Simulation of Impact Cavity and Gas-Liquid Two-Phase Flow in Top-Bottom Blown Converter with Eulerian-Multifluid VOF Model. Mater. Trans. B 2022, 53, 3585–3601. [Google Scholar] [CrossRef]
- Ajmani, S.K.; Chatterjee, A. Cold model study of mixing and mass transfer in LD converters at Tata Steel. Ironmak. Steelmak. 1996, 23, 335–345. [Google Scholar]
- Olivares, O.; Elias, A.; Sanchez, R.; Díaz-Cruz, M.; Morales, R.D. Physical and mathematical models of gas-liquid fluid dynamics in LD converters. Steel Res. Int. 2002, 73, 44–51. [Google Scholar] [CrossRef]
- Amini, Y.; Ghazanfari, V.; Heydari, M.; Shadman, M.M.; Khamseh, A.G.; Khani, M.H.; Hassanvand, A. Computational fluid dynamics simulation of two-phase flow patterns in a serpentine microfluidic device. Sci. Rep. 2023, 13, 9483. [Google Scholar] [CrossRef] [PubMed]
- Launder, B.E.; Spalding, D.B. Mathematical Models of Turbulence, 1st ed.; Academic Press: London, UK, 1972; pp. 124–130. [Google Scholar]
- Zore, K.; Sasanapuri, B.; Parkhi, G.; Varghese, A. Ansys mosaic poly-hexcore mesh for high-lift aircraft configuration. In Proceedings of the 21th Annual CFD Symposium, Bangalore, India, 8–9 August 2019; pp. 1–11. [Google Scholar]

























| Parameter | Prototype | Model | |
|---|---|---|---|
| Converter | Converter capacity (t) | 210 | - |
| Similarity ratio | 6 | 1 | |
| Bath diameter (mm) | 5600 | 933 | |
| Bath depth (mm) | 1630 | 271 | |
| Bottom flow rate (m3/h) | 400, 800, 1200 | 1.96, 3.92, 5.88 | |
| Lance | Nozzles | 5 | 5 |
| Inclination angle (°) | 15.5 | 15.5 | |
| Throat diameter (mm) | 45.2 | 7.5 | |
| Exit diameter (mm) | 59.5 | 9.9 | |
| Lance height (m) | 1.6, 2.0, 2.4 | 0.266, 0.333, 0.400 | |
| Flow rate (m3/h) | 44,000, 48,000, 52,000 | 203.38, 221.87, 240.36 |
| Model A | Model B | |
|---|---|---|
| inlet | mass flow inlet | upper: profile data inlet bottom: mass flow inlet |
| outlet | pressure outlet | pressure outlet |
| wall | no slip | no slip |
| time step | 1 × 10−6 | 1 × 10−3 |
| phase | air | air, oil, water |
Disclaimer/Publisher’s Note: The statements, opinions and data contained in all publications are solely those of the individual author(s) and contributor(s) and not of MDPI and/or the editor(s). MDPI and/or the editor(s) disclaim responsibility for any injury to people or property resulting from any ideas, methods, instructions or products referred to in the content. |
© 2024 by the authors. Licensee MDPI, Basel, Switzerland. This article is an open access article distributed under the terms and conditions of the Creative Commons Attribution (CC BY) license (https://creativecommons.org/licenses/by/4.0/).
Share and Cite
Liu, Z.; Cheng, S.; Peng, J. Simulation of Fluid Flow in the Top–Bottom Combined Blowing Converter. Metals 2024, 14, 56. https://doi.org/10.3390/met14010056
Liu Z, Cheng S, Peng J. Simulation of Fluid Flow in the Top–Bottom Combined Blowing Converter. Metals. 2024; 14(1):56. https://doi.org/10.3390/met14010056
Chicago/Turabian StyleLiu, Zhao, Shusen Cheng, and Jipeng Peng. 2024. "Simulation of Fluid Flow in the Top–Bottom Combined Blowing Converter" Metals 14, no. 1: 56. https://doi.org/10.3390/met14010056
APA StyleLiu, Z., Cheng, S., & Peng, J. (2024). Simulation of Fluid Flow in the Top–Bottom Combined Blowing Converter. Metals, 14(1), 56. https://doi.org/10.3390/met14010056
